Структурная биохимия. Учебное пособие

- -
- 100%
- +

Рисунок 32. Таутомерия нуклеотидов
Растворимость
При нейтральном рН наименьшей растворимостью обладает гуанин. Следующим в этом ряду стоит ксантин. Мочевая кислота в форме уратов сравнительно неплохо растворяется при нейтральном рН, но очень плохо растворима в жидкостях с более низкими значениями рН, таких, как моча. Гуанин в моче человека в норме отсутствует, а ксантин и мочевая кислота являются ее обычными компонентами. Последние два пурина часто входят в состав камней мочевого тракта.
Поглощение света
За счет системы сопряженных двойных связей все азотистые основания поглощают в ультрафиолетовой части спектра. Спектр поглощения – график распределения оптической плотности в зависимости от длины волны. Для каждого азотистого основания свой спектр поглощения, по нему можно различить растворы различных азотистых оснований или соединений в состав которых входит азотистое основание (нуклеотиды), но максимум поглощения у всех совпадает при длине волны 260 нм. Это позволяет легко и быстро определять концентрацию как азотистых оснований, так нуклеотидов и нуклеиновых кислот. Спектр поглощения также зависит от рН раствора (Рисунок 33).

Рисунок 33. Спектры поглощения различных азотистых оснований
Функции азотистых оснований
Азотистые основания практически не встречаются в свободном состоянии. Исключение составляют некоторые алкалоиды и мочевая кислота.
Азотистые основания выполняют следующие функции:
Входят в состав нуклеотидов;
Часть алкалоидов – азотистые основания, например, кофеин в кофе или теофелин в чае;
Промежуточные продукты обмена азотистых оснований и нуклеотидов;
Мочевая кислота – причина мочекаменной болезни;
В виде мочевой кислоты выводится азот у некоторых организмов.
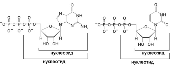
Нуклеотиды и нуклеозиды
Молекулы нуклеозидов построены из пуринового или пиримидинового основания, к которому (β-связью присоединен углевод (обычно D-рибоза или 2-дезоксирибоза) в N9 или N1‒положении соответственно. Таким образом, адениновый рибонуклеозид (аденозин) состоит из аденина и D-рибозы, присоединенной в положении N9; гуанозин – из гуанина и D-рибозы в положении N9; цитидин – из цитозина и рибозы в положении N1; уридин – из урацила и рибозы в положении N1. Таким образом в пуриновых нуклеозидах (нуклеотидах) азотистое основание и сахар связаны 1—9 β гликозидной связью, а в пиримидинах – 1—1 β гликозидной связью.
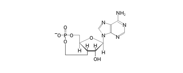
В состав 2́-дезоксирибонуклеозидов входят пуриновые или пиримидиновые основания и 2́-дезоксирибоза, присоединенная по тем же атомам N1 и N9. Присоединение рибозы или 2́-дезоксирибозы к кольцевой структуре основания происходит за счет относительно кислотолабильной N-гликозидной связи (Рисунок 34).
Нуклеотиды – это производные нуклеозидов, фосфорилированные по одной или более гидроксильным группам остатка рибозы (или дезоксирибозы). Так, аденозинмонофосфат (AMФ или аденилат) построен из аденина, рибозы и фосфата. 2́-дезоксиаденозинмонофосфат (дAMФ или дезоксиаденилат) представляет собой молекулу, состоящую из аденина, 2́-дезоксирибозы и фосфата. Обычно к урацилу присоединена рибоза, к тимину – 2́-дезоксирибоза. Поэтому тимидиловая кислота (ТМФ) состоит из тимина, 2́-дезоксирибозы и фосфата. Кроме вышеперечисленных форм нуклеотидов обнаружены и нуклеотиды необычной структуры. Так, в молекуле тРНК выявлен нуклеотид, в котором рибоза присоединяется к урацилу в пятом положении, т. е. не азот-углеродной связью, а углерод-углеродной. Продукт этого необычного присоединения назван псевдоуридином (ψ). Молекулы тРНК содержат и другую необычную нуклеотидную структуру – тимин, соединенный с рибозомонофосфатом. Этот нуклеотид образуется уже после синтеза молекулы тРНК путем метилирования остатка УMФ S-аденозилметионином. Псевдоуридиловая кислота (ψМФ) тоже образуется в результате перегруппировки УMФ после синтеза тРНК.

Рисунок 34. Структура пуриновых и пиримидиновых нуклеозидов и нуклеотидов
Номенклатура, физико-химические свойства и функции нуклеозидов и нуклеотидов
Положение фосфатной группы в молекуле нуклеотида указывается цифрой. Например, аденозин с фосфатной группой, присоединенной к 3-му углероду рибозы, должен быть обозначен как 3́-монофосфат. Штрих после цифры ставят для того, чтобы отличить номер углерода в пуриновом или пиримидиновом основании от положения этого атома в остатке дезоксирибозы. При нумерации атомов углерода основания штрих не ставится. Нуклеотид 2́-дезоксиаденозин с фосфатным остатком при углероде-5 молекулы сахара обозначается как 2́-дезоксиаденозин-5́-монофосфат. Нуклеозиды, содержащие аденин, гуанин, цитозин, тимин и урацил, принято обозначать буквами A, Г, Ц, Т и У соответственно. Наличие буквы d (или д) перед сокращением обозначает, что углеводным компонентом нуклеозида является 2́-дезоксирибоза. Гуанозин, содержащий 2́-дезоксирибозу, может быть обозначен дГ (дезоксигуанозин), а соответствующий ему монофосфат с фосфатной группой, присоединенной к третьему атому углерода дезоксирибозы, – дГ-3́-МФ. Как правило, в тех случаях, когда фосфат присоединен к углероду-5 рибозы или дезоксирибозы, символ 5́ опускается. Так, гуанозин 5́-монофосфат принято обозначать ГМФ, а 5́-монофосфат 2́-дезоксигуанозина сокращают как дГМФ. Если к углеводному остатку нуклеозида присоединены 2 или 3 остатка фосфорной кислоты используются аббревиатуры ДФ (дифосфат) и ТФ (трифосфат). Таким образом, аденозин + трифосфат с тремя фосфатными группами в 5́-положении углевода будет обозначаться АТФ. Поскольку в молекулах нуклеотидов фосфаты находятся в виде ангидридов фосфорной кислоты, т. е. в состоянии с низкой энтропией, их называют макроэргами (обладающими большим запасом потенциальной энергии). При гидролизе 1 моля АТФ до AДФ высвобождается 7,3 кКал потенциальной энергии.

Рисунок 35. Структура цАМФ
Физико-химические свойства нуклеотидов
Так как в состав нуклеотидов входят азотистые основания, то такие свойства как таутомерия и способность поглощать в ультрафиолетовой части спектра также характерны и для нуклеотидов, причем спектры поглощения азотистых оснований и содержащих эти основания нуклеотидов сходны. Наличие сахара и остатков фосфорной кислоты делает их более гидрофильными чем азотистые основания. Все нуклеотиды являются кислотами, так как содержат остатки фосфорной кислоты.
Функции природных нуклеотидов
Нуклеотиды являются мономерами нуклеиновых кислот (РНК, ДНК). В состав ДНК входят дезоксирибонуклеотидфосфаты – производные аденина, тимина, гуанина и цитозина. Также некоторые молекулы гуанина и цитозина в составе ДНК метилированы, то есть содержат метильную группу. Как основные мономеры в состав РНК входят рибонуклеотидфосфаты – производные аденина, урацила, гуанина и цитозина. Также в состав РНК входят нуклеотиды, содержащие различные минорные азотистые основания, например ксантин, гипоксантин, дигидроуридин и др.
Нуклеотиды являются мономерами коферментов (НАД, НАДФ, ФАД, ко-энзим А, метионин-аденозин). В составе коферементов они участвуют в ферментативных реакциях. Более подробно эта функция будет рассмотрена ниже.
Энергетическая (АТФ). АТФ выполняет функцию основного внутриклеточного переносчика свободной энергии. Концентрация наиболее распространенного свободного нуклеотида в клетках млекопитающих – АТФ – составляет около 1 ммоль/л.
Сигнальная (цГМФ, цАМФ) (Рисунок 35). Циклический AMФ (3́-, 5́-аденозинмонофосфат, цАМФ) – медиатор различных внеклеточных сигналов в клетках животных – образуется из АТФ в результате реакции, катализируемой аденилатциклазой. Активность аденилатциклазы регулируется комплексом взаимодействий, многие из которых инициируются через рецепторы гормонов. Внутриклеточная концентрация цАМФ (около 1 мкмоль/л) на 3 порядка ниже концентрации ATФ. Циклический цГМФ (3́-, 5́-гуанозинмонофосфат, цГМФ) служит внутриклеточным проводником внеклеточных сигналов. В некоторых случаях цГМФ выступает в роли антагониста цАМФ. цГМФ образуется из ГТФ под действием гуанилатциклазы – фермента, имеющего много общего с аденилатциклазой. Гуанилатциклаза, как и аденилатциклаза, регулируется различными эффекторами, в том числе и гормонами. Как и цАМФ, цГМФ гидролизуется фосфодиэстеразой до соответствующего 5́-монофосфата.
Регуляторная (ГТФ). Активность группы белков (G-белков), выполняющих в основном регуляторную функцию, зависит от того: какой нуклеотид они связывают. В неактивной форме эти белки связывают ГДФ, при активации белка происходит замена ГДФ на ГТФ. При выполнении своей функции белок гидролизует ГТФ до ГДФ и фосфата, выделившаяся, энергия затрачивается на функционирование белка.
Активация при метаболизме липидов и моносахаридов (УТФ, СТФ). Производные урациловых нуклеотидов участвуют в качестве активирующих агентов в реакциях метаболизма гексоз и полимеризации углеводов, в частности при биосинтезе крахмала и олигосахаридных фрагментов гликопротеинов и протеогликанов. Субстратами в этих реакциях являются уридин-дифосфатсахара. Например, уридиндифосфатглюкоза служит предшественником гликогена. Также превращение глюкозы в галактозу, глюкуроновую кислоту или другие производные моносахаридов происходит в виде коньюгата с УДФ. СТР необходим для биосинтеза некоторых фосфоглицеридов в тканях животных. Реакции с участием церамида и ЦДФ-холина приводят к образованию сфингомиелина и других замещенных сфингозинов.
Участие в дезактивации различных спиртов и фенолов (УДФ-глюкуроновая кислота). Уридиндифосфатглюкуроновая кислота – выполняет функцию «активного» глюкуронида в реакциях конъюгирования, например, при образовании глюкуронида билирубина.
Нуклеотиды в составе коферментов
Коферменты – это низкомолекулярные соединения связанные с ферментами (см раздел «Ферменты») непосредственно участвующие в в биохимической реакции, другими словами это еще один субстрат, не выходящий в окружающую среду.
Коферменты подразделяют на две группы:
переносчики протонов и электронов, эти коферменты участвуют в окислительно-восстановительных реакциях;
переносчики всех остальных групп кроме протонов и электронов, эти коферменты участвуют в трансферазных реакциях.
Более подробно механизмы упомянутых реакций можно рассмотреть в главе «Ферменты».
Некоторые коферменты содержат в своем составе нуклеотиды. Они также делятся на эти же две группы.
Коферменты переносчики протонов и электронов
Эти коферменты участвуют в окислительно-восстановительных реакциях, где аденозин выполняет только структурную функцию, в реакцию вступают нуклеотиды, содержащие другие типы оснований, выделяют два типа таких коферментов: никотиновые и флавиновые. Они отличаются не только по активной группировке, но и по типу реакций, которые они осуществляют.
Никотиновые коферменты

Рисунок 36. Никотиновые коферменты. А-структура NAD, Б-структура NADP, В-механизм активности никотиновой кислоты, Г-механизм работы никотиновых коферментов
Никотинамидадениндинуклеотид (NAD+) – главный акцептор электронов при окислении топливных молекул. Реакционноспособная часть NAD+ – его никотинамидное кольцо. При окислении субстрата никотинамидное кольцо NAD+ присоединяет ион водорода и два электрона, которые являются эквивалентами гидрид-иона. Восстановленная форма этого переносчика – NADH. В ходе этого дегидрирования один атом водорода субстрата прямо переносится на NAD+, тогда как второй переходит в растворитель. Оба электрона, теряемые субстратом, переносятся на никотинамидное кольцо. Роль донора электронов в большинстве процессов восстановительного биосинтеза (пластического обмена); выполняет восстановленная форма никотин амидадениндинуклеотидфосфата (NADPH). NADPH отличается от NAD наличием фосфата, связанного эфирной связью с 2́-гидроксильной группой аденозина. Окисленная форма NADPH обозначается как NADP+. NADPH переносит электроны таким же образом, как NADH. Однако, NADPH используется почти исключительно в процессах восстановительного биосинтеза, тогда как NADH используется преимущественно для генерирования АТР. Дополнительная фосфатная группа NADPH – это участок, ответственный за осуществление целевого предназначения молекулы, состоящего в распознавании ферментами.
Флавиновые коферменты
Первый флавиновый кофермент (флавинмононуклеотид FMN) был выделен А. Сент-Дьёрдьи из сердечной мышцы в 1932 г., Р. Г. Варбург и В. Христиан тогда же получили из дрожжей первый флавопротеид, содержащий FMN в качестве кофермента. Второй важнейший флавиновый кофермент – флавинадениндинуклеотид (FAD) выделен ими же как кофактор оксидазы D-аминокислот в 1938 году. За счет окислительно-восстановительного превращения флавинового кольца флавиновые коферменты осуществляют окислительно-восстановительные реакции в составе многих важнейших ферментных систем: оксидаз (в частности, оксидаз D- и L-аминокислот, моноаминооксидазы, регулирующей уровень катехоламинов в крови) и дегидрогеназ (часто с участием никотинамидадениндинуклеотида и убихинонов).

Рисунок 37. Флавиновые коферменты. А-структура FAD, Б-механизм активности никотиновой кислоты, В-механизм работы флавиновых коферментов
Второй основной переносчик электронов при окислении топливных молекул – флавинадениндинуклеотид. Сокращения, используемые для обозначения окисленной и восстановленной форм этого переносчика – соответственно FAD и FADH2. Реакционноспособная часть FAD – это его изоаллоксазиновое кольцо. FAD, подобно NAD+, присоединяет два электрона. Однако FAD в отличие от NAD+
Конец ознакомительного фрагмента.
Текст предоставлен ООО «Литрес».
Прочитайте эту книгу целиком, купив полную легальную версию на Литрес.
Безопасно оплатить книгу можно банковской картой Visa, MasterCard, Maestro, со счета мобильного телефона, с платежного терминала, в салоне МТС или Связной, через PayPal, WebMoney, Яндекс.Деньги, QIWI Кошелек, бонусными картами или другим удобным Вам способом.





