Конспект лекций по учебной дисциплине «Экономика»

- -
- 100%
- +

Введение
Экономика – это формы и методы хозяйственной деятельности человека, в результате которой создается материальные и духовные ценности для удовлетворения потребностей, как для самих индивидов их создающих, так и для всего сообщества.
С помощью экономической теории, в результате рационального мышления, познания законов и закономерностей экономического развития, в любом обществе решается триединая проблема: что производить, как производить, для кого и сколько производить. Однако любое общество располагает ограниченным количеством экономических ресурсов, и поскольку потребности людей постоянно возрастают асинхронно с ростом их численности, встает проблема рационального использования этих ресурсов. Именно по этому, предметом экономики в первую очередь стала экономические отношения между людьми, складывающиеся в процессе производства, распределения, обмена и потребления.
С научной точки зрения экономика рассматривается как экономическая теория (ЭТ), которая изучает сферу действия экономических закономерностей в процессе производства и распределения жизненных благ в условиях ограниченных ресурсов. Это означает, что объектом изучения ЭТ является решающая область жизнедеятельности людей, без которой невозможна ни одна другая форма реализации личностных и общественных интересов.
Таким образом, экономика изучает движение экономической жизни – тенденции в развитии цен, производства, безработицы. Основной целью экономики является повышение жизненного уровня, к которым относятся: экономический рост, полная занятость, экономическая эффективность (максимальная отдача при минимуме издержек), стабильный уровень цен, экономическая свобода, справедливое распределение доходов, экономическая обеспеченность, торговый баланс, и т.д.
1. ОСНОВЫ ЭКОНОМИЧЕСКОЙ ТЕОРИИ
Понятие и задачи экономической теории. Экономическая теория создана и развивается экономистами различных школ и направлений, поэтому ее определения различны. Самым общим может быть такое: экономическая теория – это наука об основах хозяйственной жизни общества. В свою очередь, хозяйственная жизнь – это деятельность людей, связанная с обеспечением материальных условий их жизни.
Хозяйственная жизнь (хозяйственная деятельность, экономическая деятельность) базируется на том, что для получения нужных благ общество использует экономические ресурсы, которые в большинстве случаев ограниченны, и поэтому их надо использовать как можно более эффективно. Как писал лауреат Нобелевской премии по экономике Пол Самуэльсон, в экономике существуют три ключевые задачи:
1. Какие блага производить и в каких количествах?
2. Как производить блага, т.е. из каких ресурсов и с помощью какой технологии будут их производить?
3. Для кого производить блага?
Позитивная и нормативная экономическая теория. Большей частью экономическая теория объясняет, как функционирует экономика, как общество решает ключевые экономические задачи. Она описывает, анализирует, но не дает рекомендаций. Подобный подход называют позитивным, а аналитическую часть экономической теории – позитивной экономической теорией. Так, позитивная экономика объясняет, почему в России объем производства товаров и услуг за 1990-1998 гг. сократился более чем на 45%.
В отличие от позитивной нормативная экономическая теория дает рекомендации, рецепты действий. Естественно, что это та часть экономической теории, которая вызывает наибольшие споры среди экономистов. Так, российские экономисты предлагают весьма различные способы активизации экономического роста в России и решения ключевых экономических задач.
Экономическая политика и ее цели. На нормативной экономике основана экономическая политика, т.е. принятие экономических решений. Чаще всего под этим термином подразумевают экономическую политику страны, точнее ее правительства. В экономической политике выделяют отдельные направления, называя их также политикой, например денежно-кредитная, налоговобюджетная, валютная, промышленная политика и т.д.
В ходе реализации экономической политики страна преследует различные цели. Для развитой рыночной экономики это прежде всего экономический рост, полная занятость, низкая инфляция, положительный платежный баланс, повышение экономической эффективности, рост благосостояния населения, поддержание высокой степени экономической свободы для всех хозяйствующих субъектов, сохранение и улучшение окружающей природной среды и другие цели. В переходной экономике к ним добавляются создание частного сектора и рыночной инфраструктуры, либерализация хозяйственной жизни и др.
Но проблема заключается в том, что многие цели экономической политики противоречат друг другу. Так, активная борьба с инфляцией обычно означает падение экономического роста и усиление безработицы. Поэтому в зависимости от ситуации приоритетность целей в экономической политике может меняться. Обычно это зависит от того, какие из них превращаются (могут превратиться) в «наболевшие».
Микро- и макроэкономика. Экономическая теория анализирует хозяйственную жизнь на двух уровнях: микроэкономическом и макроэкономическом.
Когда рассматриваются конкретные фирмы и домохозяйства, отдельные товары и ресурсы, отрасли и рынки, то это микроэкономический анализ, или микроэкономика (от греч. mikros – малый). Когда же речь заходит об экономике в целом либо о составляющих основных подразделениях, сферах и проблемах, то это макроэкомический анализ, или макроэкономика (от греч. makros – большой). Так, анализ выпуска конкретной продукции и ее продаж отдельными фирмами и даже всей отраслью на конкретном товарном рынке – это микроэкономика. Анализ общего выпуска вех видов продукции и ее реализации в стране и в мире – это макроэкономика.
С одной стороны, макроэкономика образует ту хозяйственную среду, в которой работают отдельные фирмы (предприятия), существуют индивидуальные потребители, функционируют отдельные отрасли, рынки и другие микроэкономические единицы. С другой стороны, микроэкономические единицы, вместе взятые, образуют макроэкономику. Для этого их в экономической теории агрегируют, т.е. объединяют в укрупненные экономические единицы, так называемые агрегаты, например в сектор фирм (предприятий) и сектор домохозяйств, государственный и частный сектора, потребление и накопление.
Более того, граница между микро- и макроэкономикой размыта. Так, в экономической теории некоторые вопросы рассматриваются одновременно на микро- и макроуровне, например положение дел в конкретных отраслях и на отдельных товарных рынках, где анализ ситуации важен как для конкретных предприятий этих отраслей, так и для экономики страны в целом. Поэтому некоторые экономисты предлагают использовать термин «мезоэкономика» для анализа этой пограничной сферы, в которую, по их мнению, попадают отрасли и рынки.
Экономические законы и принципы. Анализируя хозяйственную жизнь, экономисты выявляют ее закономерности и обобщают их. Проверенные и успешно применяемые для прогнозирования хозяйственной жизни закономерности называются экономическими законами (или принципами, как их часто называют на Западе). Как писал один из главных создателей экономике Альфред Маршалл в своем знаменитом учебнике «Принципы экономической науки» (1890), закон – «это обобщение, гласящее, что от членов какой-либо социальной группы при определенных условиях можно ожидать определенного образа действий».
При этом он одновременно подчеркивал, что экономические законы (принципы), как и все законы общественных наук, намного менее четки и строги, чем законы более точных естественных наук. Они являются скорее тенденциями, чем жесткими правилами.
Гипотезы, теоремы, теории, концепции и модели. В процессе выявления и обобщения закономерностей экономисты выдвигают гипотезы, т.е. научные предположения. Если гипотеза может быть математически доказана, то ее называют теоремой.
На основе уже выявленных и обобщенных, проверенных и успешно используемых закономерностей хозяйственной жизни (законов, принципов) экономисты создают теории – наборы положений, объясняющих те или иные явления хозяйственной жизни. Иногда их называют теоретическими концепциями, хотя концепции скорее занимают как бы среднее положение между гипотезой (недоказанной идеей) и теорией (доказанной и проверенной идеей).
Если экономисты конструируют на основе теорий или концепций различные схемы их реализации, то эти схемы называют моделями. При этом не следует забывать, что как схемы беднее жизни, так и экономические модели беднее хозяйственной жизни, хотя и призваны ее отражать. Обычно они не могут использовать все богатство жизни и поэтому используют допущения.
Направления и школы в экономической теории. Если у заметной части экономистов на протяжении долгого периода времени есть немало теорий, которые отличают этих экономистов от остальных, то их (точнее, взгляды этих экономистов) называют направлением, иногда подразделяя последнее на отдельные школы. Часто эти направления также называют теориями (неоклассической, неолиберальной, неокейнсианской, институциональной, марксистской), т.е. термин «теория» применяется здесь в узком значении в отличие от предыдущего, широкого значения.
Добавим, что в современной экономической науке большинство экономистов пользуется как бы «смесью» указанных направлений, используя прежде всего те их теории, которые актуальны и хорошо срабатывают в настоящее время. В рыночной экономике, особенно в развитой, господствует так называемая общепринятая теория, которая хотя и является «смесью», но прежде всего на базе неоклассической теории. Поэтому к ней часто применяют термин неоклассический синтез. В России более заметное место занимает марксистское направление, прежде всего потому, что его по-прежнему придерживается значительная часть российских экономистов, а также из-за абсолютной монополии марксизма в экономической теории в России на протяжении большей части ХХ в.
Наконец, в самом широком значении термин «теория» применяется ко всей совокупности гипотез, теорем, теорий, концепций и моделей, направлений. В этом значении он подразумевает всю экономическую теорию как науку.
Допущения. В экономической теории трудно обойтись без допущений. Экономическая теория, как всякая теория, не может отразить все богатство жизни и поэтому построена на допущениях, которые упрощают представление о реальной хозяйственной жизни. Но в то же время эти допущения позволяют лучше понять суть многих теоретических положений и хозяйственной жизни в целом. Так, экономисты обычно допускают, что потребители в пределах своих доходов (так называемых потребительских бюджетов) стремятся максимизировать свое удовлетворение. Действительно, такое поведение типично для большинства потребителей.
Одним из наиболее распространенных является допущение «при прочих равных условиях» (лат. – ceteris paribus). Оно подразумевает, что при изменении рассматриваемых переменных остальные переменные остаются неизменными. Так, если рассматривается воздействие снижения цен на объем продаж товара, то подразумевается, что качество товара, запросы покупателя и все прочее остается неизменным.
Допущения часто позволяют лучше очертить границы явления. Так, в экономике распространены допущения «в краткосрочном периоде» и «в долгосрочном периоде» (или «в краткосрочной перспективе» и в «долгосрочной перспективе»), которые дают возможность по-разному взглянуть на экономическое явление и даже принять решение в зависимости от того, какой период времени рассматривается. Например, в краткосрочном периоде фирма может терпеть убытки и тем не менее не закрываться, так как причины ее убытков могут носить временный, краткосрочный характер. В долгосрочном периоде наличие убытков ведет к закрытию, банкротству фирмы.
Методы. В экономической теории широко используются методы научной абстракции, анализа и синтеза, системный подход, методы моделирования (прежде всего графический, математический и компьютерного моделирования).
Метод научной абстракции (абстрагирование) состоит в отвлечении в процессе познания от внешних явлений, несущественных деталей и выделении сущности предмета или явления. В результате этих допущений возможно выработать, например, научные понятия, выражающие наиболее общие свойства и связи явлений действительности – категории. Так, абстрагируясь от бесчисленных различий во внешних свойствах производимых в мире миллионов различных товаров, мы объединяем их в одну экономическую категорию – товар, фиксируя то главное, что объединяет различные товары, – это продукция, предназначенная для продажи.
Метод анализа и синтеза предполагает изучение явления как по частям (анализ), так и в целом (синтез). Например, изучая главные свойства денег (деньги как мера стоимости, как средство обращения, платежа, сбережения), мы можем на этой основе попробовать сложить их вместе, обобщить (синтезировать) и сделать вывод, что деньги – особый товар, служащий всеобщим эквивалентом. Сочетая анализ и синтез, мы обеспечиваем системный (комплексный) подход к сложным (многоэлементным) явлениям хозяйственной жизни.
Моделирование, т. е. построение моделей, отражает главные экономические показатели (данные, переменные) исследуемых объектов и связи между ними (их взаимосвязи). Если в модели есть только самое общее описание показателей и их взаимосвязей, то это текстовая модель. Если этим показателям и связям задаются количественные значения, то на базе текстовой модели можно построить графическую, математическую и компьютерную модели, отражающие, как меняются показатели (данные, переменные).
Графический метод (метод графического моделирования) основан на построении моделей с помощью различных рисунков – графиков, диаграмм, схем. Взаимозависимость экономических показателей особенно хорошо демонстрируют графики – изображения зависимости между двумя и более переменными.
Зависимость может быть линейной (т.е. постоянной), тогда график представляет собой прямую линию, расположенную под углом между двумя осями – вертикальной (ее обычно обозначают буквой У) и горизонтальной (Х).
Если линия графика идет слева направо по нисходящей, то между двумя переменными существует обратная связь (так, по мере снижения цен на товар обычно растет объем его продажи – рис. 1,а). Если линия графика идет по восходящей, то связь прямая (так, по мере роста издержек производства товара обычно растут цены на него – рис. 1,6). Зависимость может быть нелинейной (т.е. изменяющейся), тогда график приобретает форму кривой линии (так, по мере уменьшения инфляции безработица имеет тенденцию к увеличению – кривая Филлипса, рис. 1.1,в).

Рис. 1.1 Основные виды графиков: а – график обратной линейной зависимости; б – график прямой линейной зависимости; в – график нелинейной зависимости
В рамках графического подхода широко применяются диаграммы – рисунки, показывающие соотношение между показателями. Они могут быть круговыми, столбиковыми и др. (рис. 2).

Рис. 1.2 Примеры диаграмм: а – круговая; б – столбиковая
Схемы наглядно, графически демонстрируют показатели моделей и их взаимосвязи. Примером могут быть схемы хозяйственного кругооборота (см. рис. 4.1 и 4.2).
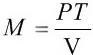
Метод математического моделирования основывается на описании экономического явления формализованным языком с помощью математических инструментов: функций, уравнений, неравенств и т.д. При этом экономикоматематические модели позволяют не просто формализовать экономическое явление, но и выявить его особенности. Например, в соответствии с так называемой формулой Фишера потребность экономики в деньгах выражается уравнением: Mv = РТ, где М – объем денежной массы; v – скорость обращения денег; Р – общий уровень цен на товары; Т – объем текущих сделок куплипродажи товаров и услуг в стране. Отсюда следует, что

т. е. объем денежной массы зависит не только от общего уровня цен в стране и объема совершаемых в ней сделок, но и от скорости обращения денег. Если далее преобразовать формулу Фишера:

то можно сделать вывод, что уровень цен в стране зависит от объема денежной массы и скорости обращения денег, а также объема текущих сделок купли-продажи товаров и услуг.
Метод компьютерного моделирования основывается на экономикоматематических моделях и используется прежде всего в те: случаях, когда моделируемое экономическое явление описываете) сложной системой уравнений.
1.1. Экономические системы и их сущность
В экономической науке сложились два подхода к изучению современного общества: формационный и цивилизационный. Суть формационного подхода состоит в том, что в качестве глубинной причины развития человеческого общества рассматривается изменение его производственной основы и соответствующей ей формы собственности на экономические ресурсы, которые и определяют весь комплекс экономических, политических, правовых и других форм человеческого общения на различных этапах развития общества. Следует отметить, что формационному подходу присущ ряд недостатков. Это, в частности, относится к утверждению об обязательности прохождения в своем развитии всех стран и народов через пять формаций: первобытно-общинную, рабовладельческую, феодальную, капиталистическую и коммунистическую, а также чрезмерному акценту на антагонистический характер отношений между собственниками и несобственниками средств производства.
Отличие цивилизационного подхода состоит в том, что главенствующая роль в нем отводится социокультурному или религиозному фактору. Причем само понятие «цивилизация» употребляется в разных смыслах. В более широком, глобальном, всемирном смысле цивилизация рассматривается как определенная эпоха в историческом развитии общества. Так, выделяют доиндустриальную, индустриальную и постиндустриальную цивилизацию или традиционную (патриархальную), авторитарную и либеральную демократическую (рыночную) цивилизацию. В более узком смысле понятие «цивилизация» рассматривается как явление локальное, территориально ограниченное, например западнохристианская, православно-христианская, исламская, индуистская, китайская, японская, африканская, латиноамериканская.
В данном учебнике используются исходные положения формационного подхода и современный мир рассматривается как состоящий из экономических систем различных типов.
Экономическая система – это совокупность всех экономических процессов, совершающихся в обществе на основе сложившихся в нем отношений собственности и хозяйственного механизма. Поняв суть системы, можно понять и многие закономерности хозяйственной жизни.
1.1.1. Типы и модели экономических систем
Элемент экономической системы. В любой экономической системе первичную роль играет производство вкупе с распределением, обменом, потреблением.
Во всех экономических системах для производства требуются экономические ресурсы, а результаты хозяйственной деятельности распределяются, обмениваются и потребляются.
В то же время в экономических системах есть также элементы, которые отличают их друг от друга; ими являются социально-экономические отношения, базирующиеся на сложившихся в каждой экономической системе формах собственности на экономические ресурсы и результаты хозяйственной деятельности; организационно-правовые формы хозяйственной деятельности; хозяйственный механизм, т.е. способ регулирования экономической деятельности на макро- и микроэкономическом уровнях.
В последние полтора-два столетия в мире действовали различные типы экономических систем: две рыночные системы, в которых доминирует рыночное хозяйство, – рыночная экономика свободной конкуренции (чистый капитализм) и современная рыночная экономика (современный капитализм), а также две нерыночные системы – традиционная и административно-командная. Кроме того, переход бывших социалистических стран – России, других стран – членов СНГ, стран Центральной и Восточной Европы, а также социалистического Китая и Вьетнама – к рыночным отношениям привел к формированию экономической системы переходного типа.
В рамках той или иной экономической системы существуют многообразные модели экономического развития отдельных стран и регионов. Рассмотрим характерные черты основных типов экономических систем.
1.1.2. Рыночная экономика свободной конкуренции (чистый капитализм)
Хотя эта система сложилась в XVIII в. и прекратила свое существование в конце XIX – первых десятилетиях ХХ в. (в разных странах по-разному), значительная часть ее элементов вошла в современную рыночную систему.
Отличительными чертами этой экономической системы являлись частная собственность на экономические ресурсы; рыночный механизм регулирования макроэкономической деятельности, основанный на свободной конкуренции; наличие множества самостоятельно действующих покупателей и продавцов каждого товара.
Одной из главных предпосылок чистого капитализма выступает личная свобода всех участников экономической деятельности, т.е. не только капиталиста-предпринимателя, но и наемного работника. Решающим условием экономического прогресса стала свобода предпринимательской деятельности тех, кто имел капитал, и свобода наемного работника продавать свою рабочую силу.
Каков механизм решения ключевых экономических задач в рассматриваемой экономической системе? Они решаются опосредованно, прежде всего через цены, складывающиеся на рынке под воздействием спроса и предложения. Ориентируясь на конъюнктуру рынка, определяемую прежде всего уровнем и динамикой цен, товаропроизводители самостоятельно решают проблему распределения всех ресурсов, производя те товары, которые пользуются спросом на рынке. Таким образом, рынок, прежде всего через цены, координирует деятельность миллионов людей.
Предприниматели стремятся получить все больший доход (прибыль), предельно экономно использовать природные, трудовые ресурсы, капитал, знания и максимально широко реализовать такой ресурс, как свои творческие и организационные (так называемые предпринимательские) способности в избранной ими сфере деятельности. Это служит мощным стимулом развития и совершенствования производства, раскрывает созидательные возможности частной собственности.
1.1.3. Современная рыночная экономика (современный капитализм)
По сравнению со всеми предшествовавшими рыночная система оказалось наиболее гибкой: она способна перестраиваться, приспосабливаться к изменяющимся внутренним и внешним условиям. В ходе длительной эволюции, преимущественно в ХХ в., рыночная экономика свободной конкуренции превратилась в современную рыночную экономику. Ее основными чертами являются:
1) многообразие форм собственности, среди которых по-прежнему ведущее место занимает частная собственность в различных ее видах (от трудовой индивидуальной до крупной, корпоративной);
2) развертывание научно-технической революции, ускорившей создание мощной производственной и социальной инфраструктуры;
3) более активное воздействие государства на развитие национальной экономики и социальной сферы.
В развитой рыночной экономике существенные изменения претерпевает хозяйственный механизм. Плановые методы хозяйствования получают дальнейшее развитие в рамках отдельных фирм в виде маркетинговой системы управления. В то же время на макроуровне развитие плановых методов связано с государственным регулированием экономики, вплоть до осуществления общенациональных программ и планов.
Планомерность выступает как средство активного приспособления к требованиям рынка. В результате и ключевые задачи экономического развития получают новое решение. Так, вопрос об объеме и структуре производимой продукции решается на основе маркетинговых исследований в рамках фирм, а также прогноза развития потребностей. Прогноз рынка позволяет заблаговременно сокращать выпуск устаревающих товаров и переходить к качественно новым моделям и видам продукции. Маркетинговая система управления производством дает возможность еще до начала производства приводить индивидуальные затраты компаний, выпускающих основную массу товаров данного вида, в соответствие сложившимся на рынке ценам.





