Динамическая временная физика. Физика 21 века. Том 1. Собрание сочинений в 3 томах. Физика реального мира, а не придуманного и приспособленного мира иллюзий под себя

- -
- 100%
- +

Рис.4. Формула 1. Викториальная постоянная.

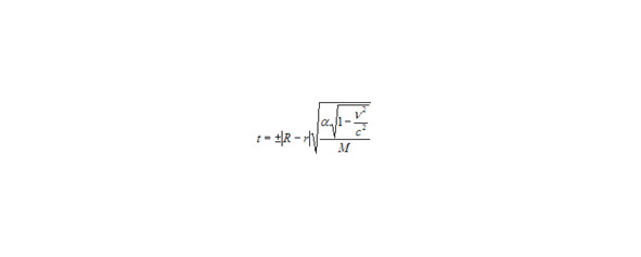
Рис. 5. Формула 2. Временное соотношение.
По этой же формуле можно рассчитать возраст Вселенной, и, наоборот, по заданному времени Вселенной узнать, какая масса протона была в то время.
Обозначение величин к формулам (1) и (2):
ml – масса планкеона, равная 1,539*10—5 грамм по формуле:
mp – масса протона. Планкеон – это протон, со временем уменьшающийся в массе,
Tm – возраст Вселенной – время, в течение которого планкеон – протон меняет свою массу,
Tgr, – 1 сек – время раздела метрик пространства, времени и материи. Это не случайная граница времени, у неё есть еще свойства и эффекты,
g – гравитационная постоянная, равная 6, 6719677*10—8 см3/ г*сек2,
c – скорость света, h – постоянная Планка,
R – радиус тела, расстояние до точки измерения времени,
r – Гравитационный радиус тела. Когда R – радиус тела станет меньше г. р, то время станет отрицательным,
a – Викториальная постоянная, равная 1, 4711*109 грамм*сек/см2,
v – Скорость, M – Масса тела.
В результате этих двух формул выявляется «временный дефект масс 1-го и 2-го рода». Если вещество, например магма, начинает подниматься с глубины на поверхность, то протон начинает уменьшаться в массе. Изменение массы одного протона, когда он поднимается на поверхность с глубины 1670 км и возрасте этого слоя в 3,750 миллиардов лет от возникновения Земли, равно 7,2*10—27
Конец ознакомительного фрагмента.
Текст предоставлен ООО «Литрес».
Прочитайте эту книгу целиком, купив полную легальную версию на Литрес.
Безопасно оплатить книгу можно банковской картой Visa, MasterCard, Maestro, со счета мобильного телефона, с платежного терминала, в салоне МТС или Связной, через PayPal, WebMoney, Яндекс.Деньги, QIWI Кошелек, бонусными картами или другим удобным Вам способом.





