HAZOP – практическое руководство

- -
- 100%
- +

© Сергей Александрович Мазеин, 2020
ISBN 978-5-4498-9565-3
Создано в интеллектуальной издательской системе Ridero
Предисловие автора
Настоящее руководство составлено в соответствии с запросами слушателей и пользователей на основе британского стандарта BS IEC 61882:2001 и ГОСТ Р 51901.11—2005 и представляет собой результат многолетнего опыта преподавания метода и его применения. Поскольку официальным документам не достает «практичности», на взгляд читателей, в данном руководстве сделан акцент на то, КАК этот метод может быть применен, сделаны попытки дополнительно разъяснить те или иные положения официальных документов за счет большей «иллюстративности» (наглядности) текста. Возможно, в некоторых вопросах это сужает взгляд, в некоторых углубляет, однако за основу взят текст и структура британского стандарта, чтобы у читателей сохранилось представление и об официальном документе.
Надеюсь, что настоящее руководство поможет распространению и более эффективному применению метода.
С. А. МазеинВведение
В начале XX века становится понятно, что рассматривать сложные объекты только на основе свойств составляющих их элементов не совсем продуктивно. Концепция «система надежна, если надежен каждый его элемент» стала подвергаться сомнению.
По мере развития науки и техники изменились многие параметры, которые существенно влияли на последствия функционирования технических систем, такие как:
– скорость процессов;
– масштабы затрат на создание объектов;
– масштабы последствий;
– новые материалы и процессы, не имевшие длительного (я бы сказал, векового) опыта практического использования;
– сложность техногенных систем.
Все это требовало изменения подходов к проектированию, эксплуатации техногенных систем.
Поведение систем определяется не столько свойствами составляющих их частей/компонентов, сколько характером и количеством связей (взаимодействий) между этими частями/компонентами.
Сложность системы определяется количеством связей. Чем больше связей приходится на один компонент системы, тем она сложнее.

Рис. 1. Пример простой системы (на один элемент – 2 связи) – линейной

Рис. 2а. Пример более сложной системы
(в среднем более двух связей на один элемент)

Рис. 2б. Пример максимально сложной системы из 4-х элементов. Все связаны со всеми
В реальной практике мы сталкиваемся с еще более сложными системами, чем показано на рис. 2б. Так называемыми «мягкими» системами (сверхсложными), не столько из-за количества элементов, сколько из-за наличия особого типа элементов, имеющих собственное целеполагание, которое может изменяться во времени и отличаться от цели системы, для которой оно создавалось. Этим «особым» элементом является человек.
Действительность преподносит нам еще один «подарок» – это связи с «внешней», по отношению к рассматриваемой системе, средой (метасистемой).
Типы связей (взаимодействия) также бывают различными, это и обеспечивает многообразие поведения системы. Например, пропорциональные связи «чем больше – тем больше», когда увеличение воздействия влечет увеличение отклика. Обратно пропорциональные связи – «чем больше – тем меньше». В этом случае увеличение воздействия влечет уменьшение отклика, и, наоборот, уменьшение влечет увеличение. Пороговые связи: воздействие тогда приводит к отклику, когда достигает или превосходит некоторое пороговое значение. Взаимодействие с задержкой, когда отклик происходит спустя какое-то время.

Рис. 3. Модель «реальной» 4-элементной системы
с внешней средой
Исследование реальных систем в рамках практической деятельности не представляется возможным, да и человеческое мышление, восприятие устроено таким образом, что воспринимает мир через свое представление о нем. Поэтому для практических целей исследуются модели явления, процесса, системы и т. п.
В связи с этим хотелось бы сказать пару слов об ограничениях любого исследования.
Когда мы говорим о проекте, процессе, установке, то, в первую очередь, говорим о модели того, что собираемся рассматривать. Возникает вопрос адекватности модели. Адекватной моделью принято считать ту, которая позволяет осмысленно ответить на вопросы исследования, указав причину и следствие, то есть показывает, как возникает или формируется ответ. Но модель не есть действительность (карта местности не является самой местностью).
Информационное насыщение модели определяет степень детализации понимания.
Сам метод исследования налагает определенные ограничения.
И, наконец, поскольку исследование проводят люди, то и результат зависит от участников процесса любого исследования. От широты и глубины знаний, многообразия опыта (первый крупный блок – когнитивный), от того, как люди организованы в процессе исследования, насколько организация процесса способствует эффективной работе спеицалистов (второй блок – организационный или операционный).
Итак, результаты любого исследования имеют следующие ограничения:
– модельные,
– информационные,
– методологические,
– когнитивные,
– организационные.
Исходя из этого, два разных исследования, различающиеся по одному из пяти упомянутых пунктов, будут иметь различающиеся результаты, выводы. Важна степень различия.
Чем, на наш взгляд, привлекателен метод HAZOP? Тем, что при равенстве 1, 2, 3 (исследуется, например, одна и та же технологическая схема, одна и та же исходная документированная информация, метод один – HAZOP, цели исследования одинаковы), но при различии п.п. 4 и 5, то есть при изменении состава участников и стиля ведения экспертной сессии (организации взаимодействия экспертов с руководителем исследования и между собой), мы будем получать мало1 отличающиеся друг от друга результаты.
Краткая история возникновения метода HAZOP
Инструмент HAZOP (образовано от hazard and operability – опасность и работоспособность) разработан подразделением тяжелой органической химии британской химической корпорации Imperial Chemical Industries.
В 1963 году группа из трех человек в течение четырех месяцев по три раза в неделю собиралась с целью анализа и изучения конструкции нового завода по производству фенола.
Они начали с методики, которая называлась Critical Examenation и позволяла искать альтернативы конструкции, но затем отказались от нее для поиска отклонений. Метод, который был дальше использован в компании, назывался Operability Studies. Это было исследование работоспособности – условий и состояний объекта (его частей), при которых сохраняется/нарушается его целевая функциональная способность. Основная идея метода – изучить, как поведет себя объект, если какие-то входы и/или части объекта будут отказывать или вести себя не регламентированным образом.
Этот метод привел к третьей методике анализа опасности (первые две использовались на стадиях концепции и разработки спецификации), когда первый рабочий проект был подготовлен. Она и стала основой HAZOP.
Что это за метод – критический анализ (Critical Examenation)
Критическое исследование – это устоявшаяся техника, которая помогает мыслить системно и логически. Он определен BS 3138: 34004 как «систематический анализ информации о проблеме, процедуре или деятельности, содержащий выводы в отношении необходимости упрощений, комбинации, последовательности и альтернатив».
Это структурированный и аналитический подход, который позволяет использовать творческое мышление для разработки ряда альтернативных предложений.
Как и где он используется
Его можно использовать в любом проекте или части работы, где рассматриваются исходящие процедуры, процессы и функции. Каждый аспект деятельности может быть рассмотрен и поставлен под сомнение. Есть ряд вопросов, которые можно задать. Объем и круг вопросов будут варьироваться в зависимости от предмета рассмотрения. Зачем это вообще делается – можно ли это устранить?
· Где это делается и почему это делается именно там?
· Что же делается?
· Когда это будет сделано?
· А кто это делает?
· Как это делается?
· Что же подразумевается, если это вообще не делается?
Эти вопросы определяют цель и необходимость существования такого процесса. Если будет установлено, что есть необходимость в процессе, то потребуется второй набор вопросов. Они будут включать в себя следующие.
· Как еще можно выполнить эту работу каковы альтернативы?
· Кто же должен это делать?
· Можно ли автоматизировать процесс?
· Как это должно быть сделано?
· Можно ли это упростить?
· Где же это должно быть сделано?
· Когда это должно быть сделано?
Этот второй набор вопросов может быть использован для разработки и оценки альтернативных сценариев.
В 1974 году по предложению Института химического машиностроения (IChemE) изучение данной процедуры было включено в Недельный курс безопасности политехнического колледжа Мидлсбурга (ныне университет – Teesside University, Великобритания).

Рис. 4. Авария в Фликсборо
Предложение появилось после Фликсборской аварии, и тема была введена на ближайшие несколько лет. В том же году вышла первая официальная публикация производителей химической промышленности. Chemical Industries Assotiation опубликовала «Руководство по методу».

Тревор Ашер Клетц
До некоторого времени термин HAZOP не использовался в официальных публикациях. Первым термин ввел в обиход Тревор Клетц2 в 1983 году. Сейчас изучение методологии стало обязательной частью курсов химического машиностроения в Великобритании.
Основная идея метода
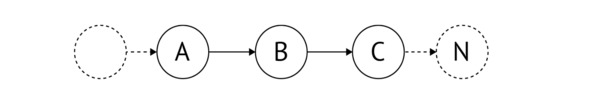
Основная идея метода состоит в моделировании возмущений. Один элемент системы является источником возмущения, а другой – приемником. В первом рассматриваются причины возникновения отклонения, а во втором – последствия, к которым это возмущение/отклонение приводит, и как это влияет на поставленные цели.

Рис. 5. Принцип метода HAZOP
Каждый элемент системы рассматривается дважды: и как приемник возмущения от предыдущего элемента (-ов), и как его источник для следующего элемента (-ов).
Роль и место метода HAZOP в оценке рисков
Оценка рисков предполагает следующую последовательность действий:
1. Выявление (идентификация) опасности.
2. Оценка частоты реализации опасности.
3. Оценка тяжести последствий реализации опасности.
4. Собственно расчет риска (комбинации тяжести и вероятности опасного события).

Рис. 6
Как видно из рис. 6, первым этапом проводится идентификация опасности. Метод HAZOP как раз и относится к первому этапу.
Процедуры 2, 3 и 4 непосредственно к методу HAZOP не имеют отношения и связаны либо со сбором и обработкой статистических данных и проведением расчетов по оценке последствий, например, с использованием специализированного программного обеспечения (PromRisk, TOXI + Risk и др.), либо с экспертной оценкой этих составляющих риска.
Результаты экспертной оценки вероятности и тяжести последствий, на наш взгляд, целесообразно проверять на устойчивость к изменению состава экспертов и/или числа экспертов, чтобы выработать оценку надежности такой экспертизы.
Целью настоящего руководства является описание принципов и процедур исследований опасности и работоспособности (HAZOP). HAZOP – это структурированный и систематический метод проверки определенной системы с целью выявления в ней потенциальных опасностей (уязвимостей), причинно-следственной связи между инициирующими то или иное отклонение событиями и их последствиями. К таким опасностям могут относиться как те, которые, по существу, относятся только к непосредственной области системы (то есть целям их создания), так и те, которые имеют гораздо более широкую сферу влияния, например, некоторые экологические опасности.
Под опасностями, как правило, понимаются последствия влияния отклонений в поведении системы, ее компонентов от целей системы (элементов), то есть тех показателей, которые они должны генерировать в нормальном рабочем режиме, а также и от целей, которые ставит перед собой исследование. Примерами таких целей исследования могут быть: безопасность эксплуатационного персонала, непрерывность производства, производительность, издержки, качество и т. п. (безусловно, все эти цели должны быть операционным образом сформулированы, чтобы участники исследования могли однозначно ответить на вопрос, достигается цель или нет).
Метод предназначен для выявления потенциальных проблем с работоспособностью системы и, в частности, причин сбоев в работе и производственных отклонений, которые могут привести к несоответствующей продукции.
Важным преимуществом исследований HAZOP является то, что знания, полученные путем выявления потенциальных опасностей и проблем работоспособности, если они конкретны и предметны, очень помогают в определении возможных мер по исправлению положения (то есть устранению причин или снижению степени тяжести или вероятности последствий).
Следует отметить, что исследование проводится систематическим и структурированным образом, что обеспечивает последовательность, полноту, проверку установленным в начале исследования образом (типы возможных отклонений применяются ко всем элементам).
Характерной особенностью исследования HAZOP является «экзаменационная сессия», в ходе которой межфункциональная (кроссфункциональная) команда с целью обеспечения многообразия точек зрения на систему под контролем руководителя исследования систематически исследует все соответствующие части проекта или системы. Руководитель определяет отклонения от замысла системы, используя базовый набор управляющих слов (этот набор управляющих слов и определяет тип отклонений). Метод призван стимулировать воображение, профессиональный опыт и способность участников систематически оценивать возможные причины и последствия тестируемых (проверяемых) отклонений. HAZOP следует рассматривать как метод мысленного (и вербального) моделирования ситуации с использованием основанных на опыте подходов на основе принятой практики.
Следует отметить различие в подходах между экспертизой промышленной безопасности (ЭПБ) и методом HAZOP. Ключевые различия состоят в следующем:
– ЭПБ исследует поведение системы (отдельного элемента), HAZOP – рассматривает взаимодействие элементов (двух соседних: источник отклонения и получатель возмущения).
– ЭПБ проводится в отношении нормальных (предусмотренных регламентом) режимов, а HAZOP – исследует поведение всех возможных степеней отклонения от допустимого режима работы в рамках физически возможных значений.
– ЭПБ рассматривает влияние возможных дефектов, основываясь на статистике3, а HAZOP рассматривает поведение элементов системы, допустимое с точки зрения «законов движения» системы. Дефекты являются частным случаем для HAZOP.
Существует много различных инструментов и методов, доступных для идентификации потенциальных опасностей и проблем с работоспособностью, начиная от контрольных списков, анализа режимов неисправностей и эффектов (FMEA), анализа дерева ошибок (FTA) до HAZOP. Некоторые методы, такие как контрольные списки и анализ «что, если»/«анализ», можно использовать на ранних этапах жизненного цикла системы, когда доступно мало информации, или на более поздних этапах, если требуется менее подробный анализ. Исследования HAZOP требуют более подробной информации о рассматриваемых системах, но дают более полную информацию об опасностях и ошибках в конструкции системы.
1. Область применения
Настоящее руководство предназначено помочь в исследовании систем методом HAZOP. Пособие может служить разъяснением и иллюстрацией к руководствам по применению методики (BS IEC 61882:2001 и ГОСТ Р 51901.11—2005) и может являться методикой изучения HAZOP, включая определение, подготовку, экзаменационные/исследовательские сессии итоговой документации и последующее наблюдение.
В настоящем руководстве представлены шаблоны рабочих таблиц и рекомендации по их заполнению, подготовке исследовательской сессии и ее проведению, а также набор примеров из различных отраслей, иллюстрирующих экспертизу HAZOP (как авторских, так и представленных в BS IEC 61882:2001 и ГОСТ Р 51901.11—2005).
2. Нормативные ссылки
В тексте использованы следующие нормативные документы: BS IEC 61882:2001, ГОСТ Р 51901.11—2005, методические рекомендации по проведению ЭПБ.
3. Определения
Для целей данного руководства определения, используемые в дальнейшем, будут даны как из BS IEC 61882:2001, так и из ГОСТ Р 51901.11—2005, с комментариями и разъяснениями автора.
3.1. Characteristic (Характеристика)
BS:4 qualitative or quantitative property of an element.
NOTE: Examples of characteristics are pressure, temperature, voltage.
GT5: Качественное или количественное свойство элемента.
ПРИМЕЧАНИЕ: Примерами характеристик являются давление, температура, напряжение.
Примечание автора:
Характеристика – один из параметров, который количественно отражает свойства элемента, проявляющиеся при взаимодействии с окружающей средой – выход/вход рассматриваемого элемента или, по-другому, то, что элемент генерирует на выходе или получает на входе.
Например, гидронасос, на входе жидкость под давлением Pвх, а на выходе жидкость под давлением Pвых, расходом Q (м3/мин) и т. д. В качестве характеристик могут рассматриваться не только существенные для этого элемента параметры, но и контролируемые во всей системе.
3.2. Design intent (Цель проекта)
BS: Designer’s desired, or specified range of behaviour for elements and characteristics.
GT: Диапазон изменений характеристик состояния элементов системы, заданный или установленный по требованиям проектировщика.
Примечание автора:
Установленный или определенный конструктором (проектировщиком) диапазон допустимых значений поведения для элементов и их характеристик, а также его функциональное назначение. Назначение – то, для чего он присутствует в системе, что он делает. Диапазон характеристик конкретизирует функциональные цели части систем, то есть то, что она «должна делать».
3.3. Deviation (отклонение)
BS: departure from the design intent.
GT: Отклонение от цели проекта.
Примечание автора:
Выход за пределы значений характеристик, предусмотренных проектом, неполное (частичное) выполнение или полное невыполнение назначения, предусмотренного проектом.
3.4. Element (элемент)
BS: constituent of a part which serves to identify the part’s essential features.
NOTE: The choice of elements may depend upon the particular application, but elements can include features such as the material involved, the activity being carried out, the equipment employed, etc. Material should be considered in a general sense and includes data, software, etc. constituent of a part which serves to identify the part’s essential features
NOTE: The choice of elements may depend upon the particular application, but elements can include features such as the material involved, the activity being carried out, the equipment employed, etc. Material should be considered in a general sense and includes data, software, etc.
GT: Непосредственная составляющая части, которая служит для идентификации существенных особенностей части.
ПРИМЕЧАНИЕ: Выбор элементов может зависеть от конкретного применения, но элементы могут включать такие материалы: выполняемое действие, используемое оборудование и т. д. Материал должен рассматриваться в широком смысле и включать данные, программное обеспечение и т. д.
Примечание автора:
Однако взаимодействие между ними и внутри них происходит посредством какого-либо агента – элемента.
Например, источник питания и лампочка взаимодействуют через агента – элемент, который принято называть электрическим током, а степень воздействия измеряется через его характеристики, которые могут выступать как элементы: напряжение, частота, сила тока. Другой пример: взаимодействие емкости хранения газа и горелки, здесь элементом системы (или ее части) является газ, который описывается через его характеристики: температура, давление, расход, количество и др. важные в контексте функционального назначения системы или ее части, т. е. цели проектного намерения. В этом смысле элемент как агент взаимодействия тоже является частью системы.
Довольно часто во время проведения HAZOP-сессий эксперты в качестве элемента предлагают рассматривать уровень (если речь идет о емкости). Это связано с тем, что есть довольно жесткие требования надзорных органов в отношении отслеживания этой характеристики состояния части. Нас же должны интересовать параметры взаимодействия или параметры, характеристики агента взаимодействия, отклонения от «нормальности» которого мы моделируем. К превышению или недостижению предельного уровня мы можем прийти, рассматривая такую количественную характеристику элемента (например, жидкости, реагента и т. п.), как количество, объем.
3.5. Guide word (Управляющее слово)
BS: word or phrase which expresses and defines a specific type of deviation from an element’s design intent.
GT: слово или фраза, которая выражает и определяет определенный тип отклонения от цели проекта элемента.
Примечание автора:
Слово или фраза, которые выражают тип отклонения, используемые при вербальном/ мысленном моделировании самого отклонения. Например. НЕТ – управляющее слово, расход- характеристика воды – элемент, Нет расхода – модель отклонения. БОЛЬШЕ – управляющее слово, Давление газа больше прочности трубопровода – модель отклонения поведения элемента или взаимодействия.
3.6. Harm (вред)
BS: Physical injury or damage to the health of people or damage to property or the environment.
GT: Физический вред или ущерб здоровью людей или ущерб имуществу или окружающей среде.
Примечание автора:
Вред – нарушение функциональности организма человека6 или нарушение целостности-функциональности имущества. Величина вреда или, по-другому, ущерба может оцениваться как по степени отклонения текущего состояния от целевого (в этом смысле его хорошо иллюстрирует такое понятие, как недополученная прибыль и др.), так и по величине затрат (усилий), которую необходимо понести, чтобы восстановить функциональность и достичь цели, поставленной субъектом управления. В этом смысле вред всегда субъективен. Объективно вреда не существует, существуют явления, результаты взаимодействий и т. п.
3.7. Hazard (опасность)
BS: potential source of harm.
GT: потенциальный источник вреда.
Примечание автора:
Опасность – последовательность событий (имеющих причинно-следственную связь) или совокупность обстоятельств (начальных условий), при которых законы движения системы приведут к тому, что имущество или люди изменят свое функциональное состояние и субъект управления не достигнет поставленных целей.
3.8. Part (часть)
BS: section of the system which is the subject of immediate study.





