- -
- 100%
- +
Прекращение выдачи слива или резкое сокращение его количества (при изменившихся показателях манометров) указывает на зашламовку питающего патрубка.
Если стрелка манометра стоит на нуле или остановилась на некотором делении, а слив и сгущенный продукт продолжают поступать, значит забита трубка манометра и ее необходимо прочистить.
Периодическое изменение давления на входе от максимума до минимума указывают на то, что насос, подающий пульпу в гидроциклон, работает не в оптимальном режиме и его необходимо отрегулировать.
На различных обогатительных фабриках объем моечных вод и производительность насосов могут изменяться в значительных пределах. Объем воды, находящейся в обороте, определяет требуемую производительность гидроциклонов. Поскольку гидроциклоны могут давать устойчивые технологические показатели при определенном напоре на входе, то при недостаточном объеме пульпы, поступающей в аппарат, технологические показатели ухудшаются. В тех случаях, когда объем пульпы, поступающей в гидроциклон, не обеспечивает необходимого напора, следует уменьшить производительность аппарата по пульпе. Для этого на входе в гидроциклон предусмотрена задвижка, позволяющая перекрывать сечение входного патрубка и поддерживать напор в необходимых пределах.
Уменьшение сечения входного патрубка позволяет уменьшить производительность по пульпе, сохранив необходимую скорость входа пульпы в загрузочную камеру. Это обеспечивает получение требуемых технологических показателей (сгущение, осветление и размер граничного зерна разделения).
Влияние длины цилиндрической части гидроциклона
Исследованиями установлено, что действия центробежной силы на распределение частиц по крупности и плотности заканчивается после третьего витка потока материала в гидроциклоне. Следовательно, минимальная длина цилиндрической части гидроциклона должна быть не менее 3-х диаметров входного отверстия. Дальнейшее увеличение длины цилиндрической части не влияет на показатели разрешения гидроциклона.
Влияние длины конической части гидроциклона
При увеличении длины конической части гидроциклона увеличивается время нахождения материала в аппарате, тем самым удлиняется путь частиц больше крупности разделения и снижается их вероятность попадания в сливной продукт. Сливной продукт становится более тонким и, тем самым, снижается граничная крупность разделения. Следует иметь в виду, что при одном и том же диаметре гидроциклона длина его конической части зависит от угла конусности.
Не зависимо от способа классификации угольного шлама (тонкое грохочение или классификация в гидроциклонах) содержание класса 0–0,1 мм в машинном классе крупностью 0,1–3 мм должно быть не более 15 %, в классе 0,5–3 мм – не более 10 %, в классе 0,1–0,5 мм – не более 20 %.
При выборе способа классификации угольного шлама необходимо иметь в виду ту особенность, что гидроциклон работает с двумя факторами разделения (крупность и плотность), а грохот с одним (крупность) [1]. Следовательно, если необходима большая производительность (без четкой классификации), то выбирают гидроциклон, если необходима точная классификация – выбирают грохот [46]. При необходимости используется последовательная установка гидроциклона и грохота. В этом случае основная масса класса 0–0,1 мм (или меньше) уходит в слив гидроциклона, а сгущенный продукт доводится до кондиции на высокочастотных грохотах с добавлением (при необходимости) воды для разбавления исходного продукта грохота и воды для промывки надситного продукта.
Вторым технологическим показателем подготовки угольного шлама к тяжелосредному обогащению в гидроциклонах является влажность машинного класса.
Для обезвоживания полученных из угольного шлама машинных классов используются высокочастотные грохоты, которые описаны в [58–61].
Технические характеристики высокочастотных грохотов для обезвоживания угольных шламов приведены в табл. (A10), а общие виды некоторых высокочастотных грохотов на рис. 1.23, 1,26.

Рис. 1.26. Общие виды оборудования, применяемого для обезвоживания машинных классов угольного шлама перед тяжелосредным обогащением в гидроциклонах:
а – грохот вибрационный ГВВБ-32; б – грохот высокочастотный ГВЧ-41М
Известно [35], что эффективность обезвоживания угольной мелочи зависит от физико-химических свойств обрабатываемого материала и от совершенства, применяемого для обезвоживания оборудования.
Основными факторами, характеризующими способность угля удерживать влагу, являются: гранулометрический состав (пределы крупности и распределения отдельных узких классов), характер расположения частиц в массе обезвоживаемого продукта (укладка частиц в слое) и физико-химические свойства поверхности угольных частиц.
Основными факторами, характеризующими совершенство применяемого для обезвоживания оборудования, являются: фактор разделения, время обезвоживания и унос твердого с удаляемой водой.
При выборе обезвоживаемого оборудования большое значение имеют количество обезвоживаемого материала и цель, с которой он обезвоживается.
Желательно обезвоживание машинного класса проводить в одну стадию. При необходимости возможна комплектация обезвоживаемого оборудования в две стадии, при этом оборудование должно быть разнотипным. При этом необходимо помнить, что цель данного обезвоживания машинного класса не его транспортировка, а обогащение в магнетитовой суспензии.
При применении высокочастотных грохотов для обезвоживания угольных шламов необходимо исходить из следующего:
– эффективность обезвоживания определяется длиной просеивающей поверхности и временем пребывания на ней материала;
– вибрации ситовой поверхности с одной стороны разрушают пленки воды на отверстиях, с другой стороны – уменьшают значение коэффициента истечения воды из отверстий;
– чем меньше крупность обезвоживаемого материала, тем меньше должна быть амплитуда колебаний и больше их частота;
– в средней части длины ситовой поверхности должны быть приспособления для разлома слоя надситного продукта;
– применение промывочной (чистой) воды способствует снижению влажности надситного продукта за счет удаления илистых частиц в подситный продукт;
– на последнем участке ситовой поверхности должен быть предусмотрен режим виброуплотнения надситного продукта с целью уменьшения порового пространства между частицами и отжима, таким образом, части поровой воды;
– с уменьшением размера отверстий уменьшается значение коэффициента истечения жидкости из отверстий, снижается коэффициент «живого» сечения обезвоживающей поверхности, что приводит не только к значительному снижению удельных нагрузок, но и увеличению вероятности забивки отверстий.
Независимо от способа обезвоживания влажность обезвоженного машинного класса угольного шлама крупностью 0,1–3 мм должна быть не более 30 %, класса 0,5–3 мм – не более 25 %, класса 0,1–0,5 мм – не более 35 %.
1.5. Оценка эффективности и расчет ожидаемых результатов тяжелосредного обогащения
1.5.1. Оценка эффективности по показателям засорения продуктов обогащения
Это один из наиболее простых способов оценки, которым пользуются как для оперативного контроля работы обогатительных машин, так и для расчета ожидаемых показателей обогащения. Сущность способа заключается в отборе от всех продуктов обогащения обогатительного аппарата представительных проб и расслоения их в тяжелых жидкостях. Полученные данные сравниваются с результатами обогащения в контрольном (эталонном) аппарате. Контрольными могут быть результаты, полученные на этом же аппарате при оптимальном режиме его работы в условиях этой фабрики, либо результаты испытаний головного образца этого аппарата в условиях действующей фабрики или на специальной установке.
Оценку работы аппарата производят по количеству посторонних фракций, попавших в продукты обогащения. При разделении исходного угля на два продукта (концентрат и породу) посторонними фракциями для концентрата являются фракции выше принятой плотности разделения, а для породы – ниже этой плотности. При разделении исходного угля на три продукта по двум плотностям посторонними фракциями являются для концентрата – фракции промпродуктовые и породные, для промпродукта – фракции концентратные и породные, для породы – фракции концентратные и промпродуктовые.
Выход посторонних фракций рассчитывается в процентах от соответствующего продукта. Увеличение содержания посторонних фракций в фактически получаемых продуктах обогащения свидетельствует об ухудшении процесса обогащения, вызываемом рядом причин.
Нормы содержания посторонних фракций в продуктах обогащения сепараторов и гидроциклонов с тяжелой средой в зависимости от обогатимости и крупности углей приведены в табл. 1.19 и 1.20. Эти нормы соответствуют [74]. В случае необходимости могут быть установленные нормы засорения исходя из своих плотностей разделения и имеющих место производственных условий. Нормы засорения при обогащении угольного шлама, например, на винтовых сепараторах приведены в табл. 1.21 и 1.22. При обогащении угольного шлама в тяжелосредных гидроциклонах нормы засорений продуктов обогащения должны быть установлены опытным путем (к настоящему времени пока еще нет достаточного статистического материала для установления официальных норм засорения продуктов обогащения при обогащении угольных шламов в тяжелосредных гидроциклонах).
Таблица 1.19
Нормативы предельного содержания посторонних фракций в продуктах обогащения при обогащении в тяжелых средах с выделением трех продуктов

Таблица 1.20
Нормативы предельного содержания посторонних фракций в продуктах обогащения при обогащении в тяжелых средах с выделением двух продуктов

Таблица 1.21
Нормативы предельного содержания посторонних фракций в продуктах обогащения при обогащении на винтовых сепараторах с выделением трех продуктов

Таблица 1.22
Нормативы предельного содержания посторонних фракций в продуктах обогащения при обогащении на винтовых сепараторах с выделением двух продуктов

Расчет практических показателей конечных продуктов производится с учетом допустимых засорений посторонними фракциями, величина которых принимается по табл.1.19-1.20.
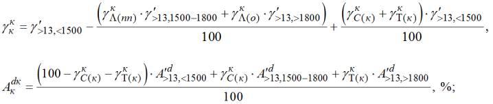
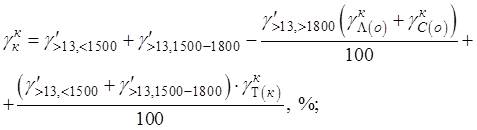
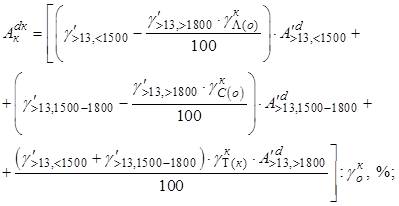
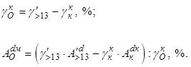
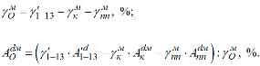
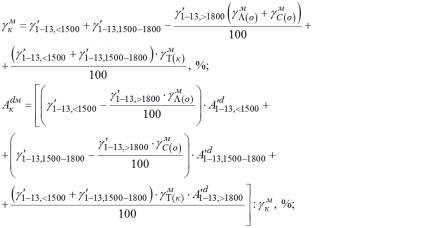
Для обогащения крупного машинного класса с выделением трех продуктов при плотностях разделения 1500 и 1800 кг/м3 для каменных углей и 1800 и 2000 кг/м3 – для антрацитов:

Для обогащения крупного машинного класса с выделением двух продуктов при плотности разделения 1800 кг/м3 для каменных углей и 2000 кг/м3 для антрацитов:

Для обогащения мелкого машинного класса с выделением трех продуктов при плотностях разделения 1500 и 1800 кг/м3 для каменных углей и 1800 и 2000 кг/м3 – для антрацитов:

Для обогащения мелкого машинного класса с выделением двух продуктов при плотности разделения 1800 кг/м3 для каменных углей и 2000 кг/м3 для антрацитов:

Для обогащения шламового продукта методом винтовой (или иной) сепарации с выделением трех продуктов при плотностях разделения 1500 и 1800 кг/м3 для каменных углей, и 1800 и 2000 кг/м3 – для антрацитов:

Для обогащения шламового продукта методом винтовой (или иной) сепарации с выделением двух продуктов при плотности разделения 1800 кг/м3 для каменных углей и 2000 кг/м3 для антрацитов:

По принятым засорениям определяются выходы и зольности продуктов обогащения машинных классов крупностью +13, 1-13, 0,5(0,1)-1 мм и -1 мм.
Выход и зольность продуктов обогащения крупного машинного класса при выделении трех продуктов
1) выход и зольность крупного концентрата

2) выход и зольность крупного промпродукта

3) выход и зольность крупных отходов определяется по материальному и зольному балансам крупного машинного класса

Выход и зольность продуктов обогащения крупного машинного класса при выделении двух продуктов:
1) выход и зольность крупного концентрата


2) выход и зольность крупных отходов

Выход и зольность продуктов обогащения мелкого машинного класса с выделением трех продуктов:
1) выход и зольность мелкого концентрата

2) выход и зольность мелкого промпродукта

3) выход и зольность мелких отходов определяется по материальному и зольному балансам мелкого машинного класса

Выход и зольность продуктов обогащения мелкого машинного класса с выделением двух продуктов:
1) выход и зольность мелкого концентрата

2) выход и зольность мелких отходов определяется по материальному и зольному балансам мелкого машинного класса

Выход и зольность продуктов обогащения шламовых продуктов нефлотационной крупности с выделением трех продуктов
выход и зольность концентрата МВС

2) выход и зольность промпродукта МВС

Выход и зольность отходов МВС определяется по материальному и зольному балансам машинного класса крупностью 0,5–1 мм

Выход и зольность продуктов обогащения шламовых продуктов нефлотационной крупности с выделением двух продуктов
1) выход и 2) зольность концентрата МВС

2) выход и зольность отходов МВС определяется по материальному и зольному балансам машинного класса 0,5–1 мм

Недостатком этого метода оценки эффективности является то, что сравнение показателей, определяющих величину засорения посторонними фракциями продуктов обогащения аппаратов (в том числе работающего и контрольного), должно обязательно производиться при одинаковых условиях: плотности разделения, крупности угля, его обогатимости. Между тем в практических условиях всегда имеет место несоответствие фактических параметров контрольным. По этим причинам, например, действительная плотность разделения может существенно отличаться от контрольной в большую или меньшую сторону. Вследствие этого фактические засорения, естественно, не будут соответствовать контрольным, что не позволяет правильно характеризовать работу аппарата или процесса обогащения.
Однако, хотя контрольные цифры по засорению и являются условными, они служат ориентиром, отклонение от которого заставляет искать причины ухудшения работы и принимать меры к их устранению или определять эффективность работы агрегата при изменившихся условиях.
Основной недостаток метода расчета ожидаемых результатов обогащения по принятым нормам засорения их посторонними фракциями заключается в следующем. При расчете зольности продуктов обогащения принимается постоянной зольность одноименных фракций в исходном угле и в продуктах обогащения. Между тем в действительности зольность угольных, промежуточных и породных фракций в концентрате несколько ниже, чем в промпродукте и особенно в породе. Однако этот недостаток присущ всем методам оценки эффективности.
По этой причине расчетная зольность концентрата будет всегда несколько выше, а зольность промпродукта и породы ниже фактически получаемой.
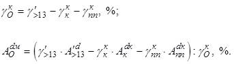
1.5.2. Оценка эффективности по органическому выходу
Коэффициентом органического выхода или коэффициентом полезного действия обогатительной машины называют [75] отношение фактического выхода концентрата γк к теоретическому γк.т при практической его зольности:

Значения теоретического выхода концентрата определяются по кривой суммарных всплывших фракций исходного угля. По этому способу оценки эффективности обогащения невозможно рассчитать фракционный состав продуктов обогащения, которые будут получены в данном аппарате. Это, в свою очередь, не дает возможности определить, присутствуют ли в концентрате породные и промежуточные фракции или только промежуточные. Между тем это очень важно, особенно для концентратов, поступающих на коксование.
1.5.3. Оценка эффективности по кривым разделения Тромпа-Терра
В последние годы в практике углеобогащения для оценки точности работы обогатительных аппаратов и процесса обогащения в суспензии начали использовать величину вероятного отклонения Еpm, которая показывает среднее вероятное отклонение плотности посторонних фракций в продуктах обогащения от плотности разделения.
Значения Еpm определяются из кривых распределения или кривых дисперсий, которыми К. Тромп [76] предложил изображать результаты разделения исходного материала. В 1950 г. на Парижском конгрессе их стали называть кривыми разделения.
К. Тромп, а затем А. Терра [77] установили, что распределение фракций исходного угля между продуктами обогащения происходит с определенной статистической закономерностью, совпадающей с нормальным законом распределения – законом Гаусса.
Построение кривых разделения и определение значений производятся следующим образом.
Продукты обогащения сепараторов с тяжелой средой подвергаются фракционному анализу по плотностям 1,3; 1,4; 1,5; 1,6; 1,8; 2; 2,2 г/см3. Результаты анализа заносятся в таблицу. В качестве примера в табл. 1.24 приведены результаты фракционного анализа концентрата и породы, полученные в процессе обогащения.
Таблица 1.24
Фракционный состав продуктов обогащения и исходного

На основании данных расслоения продуктов обогащения (табл. 1.24, графы 3 и 5) подсчитывается эквивалентный исходный продукт (графа 6). Далее расчетным путем определяются разделительные числа (п) для концентрата (графа 7) и породы (графа 8).
Разделительные числа определяются как отношение количества отдельной фракции в продукте обогащения (в процентах от исходного) к количеству одноименной фракции в исходном угле.
Разделительные числа показывают, какая часть какой-либо фракции исходного угля попала в концентрат и породу:

где и – разделительные числа для концентрата и породы; и – содержание определенной фракции в продукте от исходного;

содержание той же фракции в исходном, %.
Если теперь на оси абсцисс отложить в масштабе среднее значение плотности фракций, а на оси ординат – разделительные числа, то получим кривые разделения для концентрата Тк и породы Тп (рис. 1.27). Эти кривые симметричны и пересекаются в точке, ордината которой соответствует разделительному числу 50 %. Абсцисс точки пересечения соответствует плотности разделения.

Рис. 1.27. Кривые разделения Тк и Тп
Таким образом, плотностью разделения по кривой разделения называется плотность, при которой соответствующая ему бесконечно малая фракция в практических условиях обогащения распределяется поровну между продуктами обогащения.
Из рис. 1.27 видно, что в данном случае плотность разделения δр равна 2 г/см3, т. е. 50 % фракции этой плотности перешло в концентрат, а 50 % – в породу.
Так как кривые разделения Тк и Тп симметричны, то ординаты любой точки кривой Тк (или Тп) можно определить как разность 100 минус ордината точки кривой Тп (или Тк) с той же абсциссой. Поэтому обычно принято графически изображать кривую разделения для тяжелого продукта: в случае разделения исходного угля на два продукта – кривую для породы, а при разделении на три продукта – для породы и для промпродукта. Ордината любой точки кривой разделения Тп (или Тк) показывает, какая часть бесконечно малой фракции исходного угля, соответствующей этой ординате, перешла в породу (или промпродукт).
При разделении исходного угля на три продукта имеем две плотности разделения (отсечки) – высокую и низкую. Первая соответствует разделению исходного на породу и смесь концентрата с промпродуктом, а вторая – разделению этой смеси на концентрат и промпродукт. Расчет разделительных чисел для промпродукта (при разделении на концентрат и промпродукт) можно производить двумя способами. По первому способу за исходное принимается сумма отдельных фракций (к исходному), содержащихся в концентрате и промпродукте, без породы, выделенной при первом разделении.
Разделительные числа рассчитываются как частное от деления количества определенных фракций в промпродукте к суммарному количеству этих же фракций в концентрате и промпродукте.
В общем виде

где nм – разделительные числа для промпродукта; γм – содержание определенных фракций в промпродукте от исходного; γк – содержание тех же фракций в концентрате от исходного.
Этот способ расчета принят в ФРГ.
По второму методу разделительные числа для промпродукта рассчитываются как частное от деления суммарного количества определенных фракций в промпродукте и породе к количеству этих же фракций в исходном угле:

Этот метод расчета принимается во Франции.
В табл. 1.25 и на рис. 1.28 приведены данные по разделению угля на три продукта, результаты расчета разделительных чисел и определения плотностей разделения по обоим способам. Из этих данных видно, что разница в значениях разделительных чисел по первому и второму методу и отклонения кривых являются незначительными, а плотность разделения между концентратом и промпродуктом остается постоянной. Теоретически первый метод расчета и построения кривой разделения второй отсечки является более правильным.
Таблица 1.25
Разделительные числа при разделении исходного угля на три продукта


Рис. 1.28. Кривые разделения Тп, Тм; Тм.п
Вероятное отклонение кривой разделения определяется как полуразность между абсциссами (плотностями) точек кривой, соответствующими ординатам (разделительным числам) 25 и 75:

Вероятное отклонение измеряется в единицах плотности на абсциссе кривой разделения.
Для результатов разделения, изображенных на рис. 1.28. вероятное отклонение при δ 'p=2,0 г/см3

Это означает, что среднее вероятное отклонение плотности посторонних фракций в продуктах обогащения от плотности разделения составляет 0,155 (или 155 кг/м3). По законам вероятности максимальное отклонение плотности посторонних фракций от плотности разделения составляет






