Сборник задач и упражнений по биохимии для студентов медицинских специальностей

- -
- 100%
- +

Утверждено Методическим советом по специальностям и направлениям медицинского института РУДН
Рецензенты:
Радыш Иван Васильевич – д.м.н., проф., зав. кафедрой управления сестринской деятельностью МИ РУДН
Смирнова Ксения Валерьевна – к.б.н., зав. лабораторией вирусного канцерогенеза НИИ канцерогенеза ФГБУ "НМИЦ онкологии им. Н. Н. Блохина" Минздрава России, доцент кафедры биохимии и молекулярной биологии РНИМУ им. Н. И. Пирогова
Предисловие к изданию
В настоящее время науки о жизни (англ. life sciences) включены в список приоритетных направлений развития науки и технологий до 2030 года. Одним из важнейших направлений life sciences является биохимия.
Биохимия – это фундаментальная наука, которая изучает состав, структуру и свойства химических соединений, формирующих биосистемы, а также их взаимодействие и взаимопревращение в процессе метаболизма. Это важнейшее естественно-научное направление, которое формирует мировоззрение современных биологов и медиков. Изучение биохимии базируется на важнейших представлениях о химии, биологии, физике.
Представленная авторами книга, является продолжением серии учебно-методических пособий и учебников по биохимии, которые активно используются в учебно-методическом комплексе (УМК) при изучении данной дисциплины студентами-медиками в МИ РУДН.
Пособие «Сборник задач и упражнений по биохимии для студентов медицинских специальностей» составлено сотрудниками кафедры биохимии им. академика Берёзова Т. Т. Российского университета дружбы народов на основе многолетнего педагогического опыта в соответствии с ФГОС и рассчитано для использования в учебном процессе ВУЗа по направлениям подготовки 31.05.01 Лечебное дело (специалитет), 33.05.01. Фармация (специалитет), 31.05.03 Стоматология (специалитет), 34.03.01 Сестринское дело (бакалавриат).
Сборник включает разноплановый комплект учебно-методических материалов, составленных в удобном формате рабочей тетради по 12 темам биохимии:
• Введение в биохимию
• Аминокислоты и простые белки
• Нуклеозиды и нуклеотиды. Нуклеиновые кислоты. Матричные биосинтезы.
• Сложные белки
• Ферменты
• Липиды
• Витамины и коферменты
• Гормоны
• Основы метаболизма. Биоэнергетика. Химия и обмен углеводов.
• Обмен липидов
• Обмен аминокислот и простых белков
• Обмен сложных белков
Темы заданий и задач соответствуют полному курсу изучения биохимии для специальности «Сестринское дело» и полугодовому курсу изучения биохимии в осеннем семестре для специальностей «Лечебное дело», «Фармация», «Стоматология».
Пособие адресовано студентам, аспирантам, стажерам и преподавателям для использования в учебном процессе при проведении аудиторных занятий, организации самостоятельной работы студентов, а также для аттестации по биохимии.
Коллектив авторов
Лобаева Татьяна Александровна – кандидат биологических наук, доцент по специальности «биохимия», доцент кафедры биохимии им. акад. Берёзова Т. Т. МИ РУДН, директор направления 06.06.01 Биологические науки (подготовка кадров высшей квалификации) в РУДН.
Автор свыше 75 учебно-методических и научных работ по педагогике, биологии, химии, медицине.
Жданов Дмитрий Дмитриевич – доктор биологических наук, заведующий лабораторией медицинской биотехнологии ИБМХ им. В. Н. Ореховича, доцент по специальности «биохимия», доцент кафедры биохимии им. акад. Берёзова Т. Т. МИ РУДН.
Автор свыше 100 научных и учебно-методических работ по молекулярной биологии, биохимии и педагогике.
Требования к освоению дисциплины «Биохимия»

• правила техники безопасности и работы в биохимических лабораториях с реактивами, приборами, животными;
• физико-химическую сущность процессов, происходящих в живом организме на молекулярном, клеточном, тканевом и органном уровнях;
• строение и химические свойства основных классов биологически важных органических соединений;
• основные метаболические пути превращения углеводов, липидов, аминокислот, пуриновых и пиримидиновых оснований, роль клеточных мембран и их транспортных систем в обмене веществ;
• строение и функции наиболее важных химических соединений (нуклеиновых кислот, природных белков, водорастворимых и жирорастворимых витаминов, гормонов и др.);
• физико-химические методы анализа в медицине (титриметрический, хроматографический, спектрофотометрический, фотоэлектроколориметрический);
• роль биогенных элементов и их соединений в живых организмах;
• основы химии гемоглобина, его участие в газообмене и поддержании кислотно-основного состояния;
• теоретические основы информатики в медицинских и биологических системах, использование информационных компьютерных систем.

• пользоваться учебной, научной, научно-популярной литературой, сетью Интернет и учебным порталом для профессиональной деятельности;
• пользоваться физическим, химическим и биологическим оборудованием;
• производить расчёты по результатам эксперимента, проводить элементарную статистическую обработку экспериментальных данных;
• классифицировать химические соединения, основываясь на их структурных формулах;
• прогнозировать направление и результат физико-химических процессов и химических превращений биологически важных веществ;
• отличать в сыворотке крови нормальные значения уровней метаболитов (глюкозы, мочевины, билирубина, мочевой кислоты, молочной и пировиноградной кислот и др.) от патологически изменённых, читать протеинограмму и объяснять причины различий; трактовать данные энзимодиагностических исследований сыворотки крови.

• химической и биохимической терминологией;
• базовыми технологиями поиска и преобразования информации, в том числе с использованием учебных образовательных ресурсов;
• понятием ограничения в достоверности и специфику наиболее часто встречающихся лабораторных тестов
Список сокращений
АДФ – аденозиндифосфат
АлАТ – аланинаминотрансфераза
АМК – аминокислота
АМФ – аденозинмонофосфат
цАМФ – циклический АМФ
АПБ – ацилпереносящий белок
АсАТ – аспартатаминотрансфераза
АТФ – аденозинтрифосфат
АТФаза – аденозинтрифосфатаза
ГАМК – гамма-аминомасляная кислота
ГАФ – глицеральдегид-3-фосфат
ГДФ – гуанозиндифосфат
ГМФ – гуанозинмонофосфат
ГМГ-КоА —β-гидрокси-β-метил-глутарил-КоА
цГМФ – циклический ГМФ
ГТФ – гуанозинтрифосфат
ДАГ – диацилглицеролы
ДАФ – диоксиацетонфосфат
ДНК – дезоксирибонуклеиновая кислота
ДНКаза – дезоксирибонуклеаза
ДНФГ- 2,4-динитрофенилгидразин
ДОФА – диоксифенилаланин
ИМФ – инозинмонофосфат
кат – катал
КоА – кофермент (коэнзим) А
КоQ – кофермент (коэнзим) Q
КФ – классификация ферментов
КФК – креатинфосфокиназа
ЛДГ – лактатдегидрогеназа
ЛП – липопротеины
ЛПВП – липопротеины высокой плотности
ЛПНП – липопротеины низкой плотности
ЛПОНП – липопротеины очень низкой плотности
МАГ – моноацилглицеролы
МАО – моноаминооксидаза
МДА – малоновый диальдегид
НАД+ – никотинамидадениндинуклеотид окисленный
НАДН(Н+) – никотинамидадениндинуклеотид восстановленный
НАДФ+ – никотинамидадениндинуклеотидфосфат окисленный
НАДФН(Н+) – никотинамидадениндинуклеотидфосфат восстановленный
ПВК – пировиноградная кислота
ПФ – пиридоксальфосфат
РНК – рибонуклеиновая кислота
т-РНК – транспортная РНК
РНКаза – рибонуклеаза
СДГ – сукцинатдегидрогеназа
ТАГ – триацилглицеролы
ТГФК – тетрагидрофолиевая кислота
ТДФ – тимидиндифосфат
ТМФ – тимидинмонофосфат
ТПФ – тиаминпирофосфат
ТТФ – тимидинтрифосфат
ТХУ – трихлоруксусная кислота
УДФ – уридиндифосфат
УМФ – уридинмонофосфат
УТФ – уридинтрифосфат
ФАД – флавинадениндинуклеотид окисленный
ФАДН2 – флавинадениндинуклеотид восстановленный
ФЕП – фосфоенолпируват
ФМН – флавинаденинмононуклеотид
Фн – неорганический фосфат
ФФн – неорганический пирофосфат
ФРПФ – 5-фосфорибозил-1-пирофосфат
ФФК – фосфофруктокиназа
ФЭК – фотоэлектроколориметр
ХЭ – холинэстераза
ЦДФ – цитидиндифосфат
ЦМФ – цитидинмонофосфат
ЦТК – цикл трикарбоновых кислот (цикл Кребса)
ЦТФ – цитидинтрифосфат
ЩУК – щавелевоуксусная кислота
ЭПС – эндоплазматическая сеть
D – оптическая плотность
Dоп – оптическая плотность опытного
образца
Dст – оптическая плотность стандартного образца
Dк – оптическая плотность контрольного образца
Dx – оптическая плотность исследуемого образца
КМ – константа Михаэлиса
Vmax – максимальная скорость реакции
SAM – S-аденозилметионин
Раздел 1. Введение в биохимию

• Функциональные группы: карбоксильная, альдегидная, кетогруппа, аминогруппа, сульфгидрильная, гидроксильная,
• амидная, гуанидиновая, фосфатный остаток (фосфаты), сульфатный остаток (сульфаты)
• Радикалы: метил-, этил-, пропил-, изопропил-, бутил-, бензил-, фенил
• Гетероциклы в структуре органических соединений: пиридин, пиримидин, пиррол, тиазол, имидазол, индол, пурин, птерин, изоаллоксазин
• Типы ковалентных химических связей: простая эфирная, сложноэфирная, дисульфидная, амидная (пептидная), гликозидная, 3,5-фосфодиэфирная
• Типы слабых химических взаимодействий и связей in vivo: водородная, ионная, гидрофобная
• Основные типы химических реакций in vivo: фосфорилирование, сульфирование, метилирование, гидроксилирование, гидролиз, гидратация, карбоксилирование, декарбоксилирование, ОВР (редокс-процессы), ацилирование
• Органические кислоты: дикарбоновые (с примерами), тракарбоновые (с примерами), кетокислоты, гидроксикислоты
• Аминоспирты: этаноламин, холин, сфингозин
• Многоатомные спирты: глицерин
• Кетоны: ацетон
• Альдегиды: уксусный альдегид
• Сложные эфиры: ацилглицеролы, ацетилхолин
• Простые эфиры: дисахариды, полисахариды
• Биополимеры: белки, полисахариды, нуклеиновые кислоты

Дайте определения нижеследующим важнейшим понятиям из общей и биоорганической химии, приведите соответствующие примеры, заполнив таблицу:


Перечислите все известные вам кислородсодержащие функциональные группы в структуре органических соединений:
________________________________________
________________________________________
________________________________________
Допишите структурную формулу первичного насыщенного спирта с общим числом атомов углерода, равным 5. Назовите его по систематической номенклатуре.
– C–C – C–C – C – OH
Предположите физические, химические и биологические свойства этого соединения:
________________________________________
________________________________________
________________________________________
Составьте 1–2 формулы спиртов из предложенного списка и обведите в этих формулах спиртовой гидроксил: глицерол, ретинол, токоферол, холестерол, пиридоксин, андростендиол, эстрадиол, кальцитриол.

Составьте 1–2 формулы формулы альдегидов из предложенного списка и обведите в этих формулах альдегидную группу: ретиналь, пиридоксальфосфат,

Составьте 1–2 формулы кетонов из предложенного списка и обведите в этих формулах кетогруппы: ацетон, ацетоацетат, филлохинон, тестостерон, альдостерон, прогестерон.

Составьте 1–2 формулы органических кислот из предложенного списка и обведите в этих формулах карбоксильные группы: яблочная кислота, янтарная кислота, фумаровая кислота, стеариновая кислота, олеиновая кислота, никотиновая кислота, пантотеновая кислота.

ЗАДАНИЕ 3
Перечислите все известные вам азотсодержащие функциональные группы в структуре органических соединений.
Допишите структурную формулу первичного амина с общим числом атомов углерода, равным 3. Назовите его по систематической номенклатуре.
– C–C – C – NH2
Предположите физические, химические и биологические свойства этого соединения:
Составьте 1–2 формулы аминов из предложенного списка и обведите в этих формулах аминогруппы: этаноламин, холин, ацетилхолин, норадреналин, адреналин, пиридоксаминфосфат, гистамин, серотонин.

ЗАДАНИЕ 4
Перечислите все известные вам серосодержащие функциональные группы в структуре органических соединений.
Допишите структурную формулу органического соединения с одной сульфгидрильной группой с общим числом атомов углерода, равным 2. Назовите его по систематической номенклатуре.
– C–C – SH
Предположите физические, химические и биологические свойства этого соединения:
Составьте 1–2 формулы соединений с SH-группой из предложенного списка и обведите в этих формулах сульфгидрильную группу: цистеин, глутатион, коэнзим А.

ЗАДАНИЕ 5
Перечислите все известные вам фосфоросодержащие функциональные группы в структуре органических соединений.
Соедините аминокислоту серин с фосфорной кислотой, покажите образованную формулу фосфосерина.

Составьте схему строения АТФ, выделив остатки фосфорной кислоты.

Составьте 1–2 формулы соединений с остатком фосфорной кислоты из предложенного списка и обведите в этих формулах фосфатный фрагмент: 2-фосфоглицериновая кислота, 3-фосфоглицериновая кислота, глицеральдегид-3-фосфат, диоксиацетонфосфат, фосфоенолпируват.

ЗАДАНИЕ 6
Перечислите все известные вам пятичленные гетероциклы.
Составьте формулу пиррола. Предположите физико-химические и биологические свойства пиррол-содержащих биоорганических соединений.

Проанализируйте потенциальные физико-химические и биологические свойства соединения на основе его химической формулы:

Перечислите все известные вам шестичленные гетероциклы.
Составьте формулу пиридина Предположите физико-химические и биологические свойства пиридинсодержащих биоорганических соединений.

Проанализируйте потенциальные физико-химические и биологические свойства двух родственных соединений на основе их химической структуры:

Раздел 2. Аминокислоты и простые белки

Гидрофильность
Гидрофобность
Амфифильность (амфотерность)
Аминокислоты
Цвиттер-ион
Пептидная (амидная) связь
Пептиды
Белки
Нативная структура белка (активность)
Денатурация белка
Ренатурация
Фолдинг белка
Мисфолдинг белка
Болезни, связанные с мисфолдингом белка
Шапероны
Денатурация, факторы денатурации (с причинами)
Изоэлектрическая точка (ИЭТ, pI)
Олигомерный белок
Белковая субъединица (протомер)
Домен в молекуле белка
Гистоны
Глутатион
Карнозин,
Коллаген,
Эластин,
Пепсин
Инсулин
Биуретовая реакция
Нингидриновая реакция
Ксантопротеиновая реакция
Реакция Фоля
Заменимые аминокислоты (с перечислением)
Незаменимые аминокислоты (с перечислением)
Протеиногенные аминокислоты
Непротеиногенные аминокислоты (с примерами)
Нестандартные аминокислоты (примеры и функции)
Физико-химические свойства аминокислот
Диализ
Хроматография
Уровни структурной организации белка
Первичная структура белка
Вторичная структура белка
Третичная структура белка
Четвертичная структура белка
Изоэлектрическая точка белка
Альфа-спираль
Бета-складчатость
Связи, участвующие в стабилизации разных уровней структурной организации белка
Знать:Различные способы классификации аминокислот
Амфотерность аминокислот
Заменимость и незаменимость аминокислот
Процесс биосинтеза белка
Механизм образования пептидов в организме – прицельный (специфический) протеолиз белков или синтез ферментными системами из аминокислот
Примеры непротеиногенных аминокислот (бета-аланин, орнитин, цитруллин, ГАМК) и их биологическую роль в организме,
Роль шаперонов в фолдинге белков
Уровни структурной организации белков (первичная, вторичная, третичная и четвертичная)
Строение и биологические свойства важнейших пептидов: вазопрессин, окситоцин, аспартам, глутатион, карнозин, ангиотензин
Роль убиквитина в деградации внутриклеточных белков
Протеинопатии
Строение важнейших белков (коллаген, эластин, инсулин, пепсин, трипсин, лизоцим, гистоны,)
Методы разделения и анализа аминокислот, белков (высаливание, хроматография, электрофорез, гель-фильтрация, ультрацентрифугирование, секвенирование)
Методы очистки белков (диализ)
Уметь объяснить:Как заряжается аминогруппа и диссоциирует карбоксильная группа в молекуле аминокислоты
Наличие зарядов в молекуле белка
Какой связью и с какими аминокислотными остатками в белках связываются остатки фосфата, остатки углеводов
Полярность (гидрофильность) и неполярность (гидрофобность) биоорганических молекул, их кислотность, основность и склонность к ОВР
Уметь изображать формулы20 протеиногенных аминокислот, 5 азотистых оснований, соединять аминокислоты в пептиды и анализировать их состав и заряды

Перед вами общий план строения α-аминокислот:

Составьте формулы простейших аминокислот, в которых:
а) R = – H,
б) R = – CH3
Дайте химические и тривиальные названия полученных аминокислот.

В формуле (б) сдвиньте аминогруппу из альфа-положения в бета-положение. Какие биологические изменения возникнут в связи с изменением структуры аминокислоты? Какова биологическая роль бета-аланина?

Пояснение:
ЗАДАНИЕ 2Допишите формулу аминокислоты, в которой имеется 4 атома углерода, аминогруппа находится в ɣ-положении. Дайте химическое название полученной аминокислоте и предположите ее биологические свойства.
Решение:
– С – С – С – С -
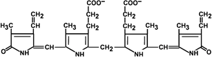
ЗАДАНИЕ 3Перед вами химическая формула диаминомонокарбоновой аминокислоты лизин (Лиз, Lys, K):

В представленной формуле пронумеруйте все положения углерода, начиная от карбоксильной группы по систематической номенклатуре, а также обозначьте альфа (α), бета (β) и другие положения. Дайте оценку суммарного заряда лизина при рН =7,0; 2,0 и 13,0. С чем связано изменение заряда личина при изменении рН?
Решение:
ЗАДАНИЕ 4(Примечание: если вы встретили задание со звездочкой, то это задание является немного более сложным. Вы можете сделать попытку выполнить его, либо переходите к следующему заданию.)
Аминокислоты являются амфолитами, для которых характерно наличие рКа1 (α-COOH), pКа2 (α-NH3+). Например, для глицина это значения 2,34 и 9,5. Это легко установить методом кислотно-основного титрования (см рис.)

Рис. 1.
В зависимости от рН функциональные группы аминокислот могут находиться в протонированной и депротонированной форме. В таблице приведены значения рКа для функциональных групп лизина (Лиз). Составьте формулу Лиз при рН 11,5 (щелочное значение), подпишите протонированные и депротонированные группы.


Известно, что изоэлектрическая точка амфотерного соединения есть значение рН среды, при котором его суммарный заряд равен нулю.
Для моноаминомонокарбоновых аминокислот это значение легко можно рассчитать по формуле:

Используя данные справочной таблицы, рассчитайте изоэлектрические точки аминокислот Лей, Вал, Фен. Что можно сказать о направлении движения этих аминокислот в электрическом поле, если изменить значение рН среды до сильнокислого (например, рН = 1,5) и сильнощелочного (например, рН = 13,0)?

Расчеты и пояснение:

ЗАДАНИЕ 6*
Подумайте, как рассчитать изоэлектрическую точку для моноаминодикарбоновых аминокислот Глу и Асп? Приведите свой расчет, дайте пояснение исходя их структуры этих аминокислот. Объясните направление движения этих аминокислот в электрическом поле при рН = 7,0 рН = 2,0 и рН = 12,0
Расчеты и пояснение:

Подумайте, как рассчитать изоэлектрическую точку для таких аминокислот, как Арг, Лиз и Гис? Приведите свой расчет, дайте пояснение исходя их структуры этих аминокислот. Объясните направление движения этих аминокислот в электрическом поле при рН = 7,0 рН = 1,5 и рН = 13,0
Расчеты и пояснения:

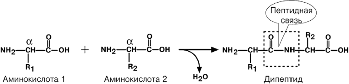
ЗАДАНИЕ 7
Как вам известно из биологии, биосинтез белка – это сложный биохимический процесс, происходящий по принципам матричных биосинтезов. Образование пептидной связи между остатками аминокислот происходит на рибосомах. В химическом плане образование пептидной связи является примером реакции поликонденсации:

Соедините в дипептиды следующие любые 1–2 пары аминокислот: Гли-Ала; Фен-Гис; Про-Трп; Лиз-Асн; Глу-Иле





