Все науки. №6, 2022. Международный научный журнал

- -
- 100%
- +

Эта зависимость была выведена, поскольку даже сама начальная скорость не совсем проста и за счёт того, что нижняя полость оврага для «водохранилища» должна быть выполнена в форме склона. Наряду с уменьшением по коэффициенту в зависимости от длины этого пути по (9), начальная скорость будет увеличиваться, поскольку к первоначальной скорости до входа в «водохранилище», при котором поток имел потенциальную энергию, кинетическая энергия, в которую превращается эта потенциальная, то есть действует тот же принцип (1—5), но при этом действует угловой коэффициент.
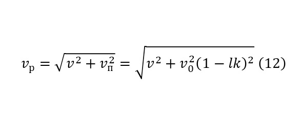
И если поскольку опять же этот потенциальный вектор направляющий вниз также находится под углом 90 градусов к основному первоначальному вектору, их суммированных вектор будет определяться по (13), создавая зависимость для начальной скорости от первоначальной в следующем расположении.

Откуда справедливо (14).

И важно учесть, что (13) вместе с (14) действует только при плоском склоне самого оврага, не считая коэффициент трения, в случае его расчёта в (14) включается дополнительный коэффициент, ровно, как и в иных случаях, для реализации, но этот коэффициент определяется эмпирически.
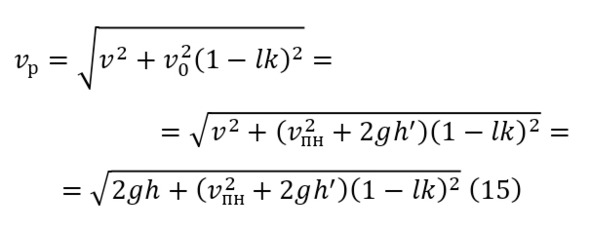
При действии же (13) и (14), ранее описанная (12) изменяется как (15).

Таким образом (15) можно считать полноценной формулой при действии прямого склона на дне оврага. При наличии же нескольких векторов, целесообразно использование (16), по той простой причине, что несколько векторов не будут приходить из одного направления, ибо тогда их можно будет объединить в один. А разными вектора могут быть из-за наличия дополнительных поворотов, больших неровностей и подобных не существенных причин.

Заключительным штрихом служит лишь введение коэффициентов, о которых говорилось ранее, а именно о коэффициентах своего рода вязкости (18), зависящий от коэффициента сопротивления движения в потоке (17).


Такой вид (17) формулы (8) был доказан и описан итальянским учёным Эванджелиста Торричелли в 1643 году, а позже уже было показано, что эта формула, как уже упоминалось следствие закона Бернулли.
В заключении можно отметить, что развитие гидроэнергетики несёт в себе весьма прогрессирующий характер, что радует. И данное развитие требует всё новых и новых технологий, среди которых одним из лучших может стать технология использования «малого водохранилища» или искусственного рва с наклонным дном для увеличения эффективности всей гидроэнергетической установки.
Использованная литература
1. Evangelista Torricelli. De motu aquarium // Opera Geometrica. – 1644. C. 191. «Aquas violenter erumpentes in ipso eruptionis puncto eundem impetum habere, quem haberet grave aliquod, sive opsius aquae gutta una, si ex suprema eiusdem aquae superficie usque ad orificium eruptions naturaliter cecidisset».
2. Зиновьев В. А. Краткий технический справочник. Том 1. – М., Госиздат, 1949. – с. 362.
3. Савельев И. В. Курс общей физики. Том 1. Механика, молекулярная физика. – М., Наука, 1987. – с. 251.
ЭКОНОМИЯ ВЫРАБОТКИ ЭЛЕКТРОЭНЕРГИИ НА ГИДРОЭЛЕКТРОСТАНЦИЯХ
Додобаев Юсубжон Таджибаевич
Доктор экономических наук, профессор
Мўминжон Шокиржонович Йўлдашев
Почетный профессор Ферганского университета, доктор экономических наук
Ферганский политехнический институт, Фергана, Узбекистан
Аннотация. Мақолада гидроэлектростанцияларнинг самарадорлигини ортириш бўйича фикрлар юритилинган. Сув ресурсларидан комплекс фойдаланиш хақидаги мулоҳазалар кирилиган бўлиб, шу билан биргаликда гидротармоқларда транспорт муаммосини ҳал қилишга катта ҳисса қўшилинган.
Калит сўзлар: ГЭС, самарадорлик, сув ресурслари, электр энергияси, ирригация, дарё транспорти, рекреация.
Аннотация. В статье рассматривается эффективность гидроэлектростанций. Была введена обратная связь по комплексному использованию водных ресурсов, и в то же время был внесен значительный вклад в решение транспортной проблемы в гидравлических контурах.
Ключевые слова: ГЭС, эффективность, водные ресурсы, электроэнергия, орошение, речной транспорт, рекреация.
Annotation. The article discusses the effectiveness of hydroelectric power plants. Feedback on the integrated use of Water Resources has been entered, and at the same time a significant contribution has been made to the solution of the transport problem in hydraulic circuits.
Keywords: GES, efficiency, water resources, electricity, irrigation, river transport, recreation.
Высокая эффективность производства электроэнергии на ГЭС определяется рядом факторов, в том числе:
* Постоянное восстановление природных ресурсов;
* Высокая производительность труда при использовании;
* Низкая стоимость электроэнергии, производимой на ГЭС;
* Комплексное использование водных ресурсов для энергетики, ирригации, речного транспорта, борьбы с наводнениями, водоснабжения, отдыха и других целей;
· Наличие низкой этиологии по отношению к сложному технологическому оборудованию.
Крайне важно, что частота производственного ущерба, возникающего при использовании ГЭС, включая случаи гибели людей, значительно меньше по сравнению с ТЭС в расчете на количество произведенной электроэнергии в 1 кВт*ч (с учетом предприятий по добыче топлива и снабжению).
Экономия трудовых ресурсов при использовании ГЭС обусловлена следующим, в том числе:
Невероятно высокая производительность труда по сравнению с TEs;
высокий уровень автоматизации производства;
отсутствие трудовых затрат на добычу, поставку, переработку и утилизацию топливных отходов и, как следствие, количество рабочего персонала, используемого при использовании ГЭС, будет примерно в 12—15 раз меньше, чем количество рабочего персонала на альтернативных объектах. Высокая экономическая эффективность гидроэнергетики обусловлена отсутствием топливной составляющей электроэнергии, медленным износом основных фондов, относительно низкой стоимостью заработной платы, совершенством технологического процесса.
Комплексное использование водных ресурсов. В гидроэнергетической отрасли Республики Узбекистан реконструкция транспортных путей в речных сетях, ирригация, промышленное и муниципальное водоснабжение и развитие рыболовства имеют большое значение в связи со снижением риска крупных наводнений.
Комплексные гидроузлы вносят большой вклад в решение транспортной проблемы.
Водохранилища, которые появляются при строительстве гидроэлектростанций, приводят к тому, что большие площади суши покрываются водой. На гидроэлектростанции приходится в общей сложности 1,2 миллиона тонн разрушительных паводков в республике. близкие к гектарам, с опережающим развитием, многомиллионные жители помогают надежно защищать жилые районы, а также решать сложные социальные и экологические проблемы.
1. Экологические проблемы
Сокращение загрязнения воздуха, особенно оксидами углерода, и предотвращение «парникового эффекта» на планете стали одной из проблем вселенского масштаба. Республика Узбекистан также вносит свой вклад в их разрешение. Одним из способов сокращения выбросов в энергетике является развитие направлений без углеродного топлива. Гидроэнергетика – абсолютно чистое направление в этом отношении. В 2020 году электроэнергия, вырабатываемая на гидроэлектростанциях, позволила сократить на четверть выбросы электроэнергии.
Технологический процесс производства гидроэнергии является экологически хулиганским. При нормальном состоянии оборудования ГЭС практически не выделяют вредных выбросов в окружающую среду. В то же время строительство гидроэнергетических объектов, в свою очередь, не покажет своего воздействия на окружающую среду.
При строительстве гидроэнергетических объектов происходит комплексное воздействие на окружающую среду. Наиболее серьезный эффект проявляют водохранилища, – их внешний вид влияет на экологический баланс почв и биоценозов. Показанные эффекты могут быть как положительными, так и отрицательными.
Воздействие водохранилищ на окружающую среду зависит от их географического положения и категорий (горные, предгорные, равнинные), геологического строения и гидрогеологического определения их берегов с руслом, площадью, формой внешнего вида, размером, глубиной сброса воды, системой использования и другими условиями.
В результате положительного влияния водохранилищ как координаторов стока становится важным предотвращать нехватку воды для сельскохозяйственных культур в летнее время.
С активизацией природных процессов на отдельных участках прилегающих к ним территорий после создания водоемов в ландшафтах происходят рекреационные изменения, формируются рекреационные зоны, экотуризм.
Можно перечислить следующие другие аспекты воздействия водохранилищ на окружающую среду.
Наводнения в верхней части. В затопленных районах наблюдается увеличение уровня грунтовых вод, и в результате земля становится заболоченной и непригодной для сельскохозяйственного использования.
Изменения береговых форм процесс координации течения и повышения и понижения уровней воды в водохранилище, которые происходят с этим отношением, вызывают изменения формы дна с береговым рельефом, что, в свою очередь, уменьшает размеры водохранилища, приводя к накоплению в нем различных пород, появлению подводных отмели и появление
Гидрологическая система. Процесс строительства водохранилищ и координации самого потока воды в верхней и нижней частях бассейнов вызывает изменения в гидрологической системе gm. Из-за расширения площади окна водной поверхности резко увеличивается объем испарения воды, в результате чего происходит потребление невозвратной воды из реки. Гидрологическая система реки меняется.
Климатические условия. Изменение расхода воды и воздуха, появление переувлажненных почв, мелководных участков, хорошо прогреваемых солнцем на глубине 1—1,5 м водоемов, создают специфические климатические условия.
Влияние водоемов на фауну (животный мир). Все животные в зоне затопления мигрируют на территорию, отмеченную высоким уровнем. При этом их видовой состав и численность сокращаются в соответствии с правилом. В ряде случаев водоемы являются причиной обогащения фауны новыми видами птиц, плавающих в воде, рыбой и флорой (флора), адаптированной к влажным условиям.
Воздействие на рыбную ферму. Необходимо отметить следующее, а именно:
Строительство плотины ГЭС препятствует перемещению рыбы в естественные места спаривания, в некоторых случаях рыбоводные устройства не всегда работают удовлетворительно;
требования, которые рыболовство предъявляет к системе водотока, оказываются полностью противоположными задачам координации потоков, то есть цели создания водохранилища – во время весеннего половодья мелководные участки бассейна осушаются при более раннем сбросе воды, что негативно сказывается на спаривании рыб в верхней части водохранилища ежедневно
С целью создания оптимальных условий для спаривания рыб переброска воды в нижнюю часть бассейна осуществляется при условии строгого соблюдения требований рыболовства. В тех случаях, когда есть возможности предотвратить ущерб, предполагается строительство компенсационных (прикрывающих) объектов рыбоводного хозяйства (рыбоводные заводы, фермы по выращиванию нерестилищ).
Было бы неправильно считать, что все воздействия водохранилищ на окружающую среду (на самом деле, в гораздо большем количестве, чем те, которые рассматриваются в Buer) будут только негативными. Обычно каждый из них будет обладать комплексом положительных свойств, как отрицательных, так и не очень.
Таким образом, также неверно думать, что все формы обнажения водохранилищ являются неизбежными и естественными пороками гидротехнического строительства. Многие из этих эффектов проявляются в практике создания и использования резервуаров и оказываются последствиями неправильного проектирования объектов или нарушения правил использования гироскопов в целом. Например, вредное воздействие водохранилищ на рыболовство может быть устранено на значительном уровне путем правильного проектирования водохранилищ и соблюдения соответствующего уровня их использования.
Меры по охране природы. При проектировании гидроэнергетических объектов необходимо обеспечить, чтобы ущерб природе был на минимально возможном уровне. В целях контроля и своевременного предотвращения загрязнения окружающей среды на ГЭС были установлены следующие наблюдения, а именно:
· за счет слива и отвода технологических масел;
· с качеством воды, подлежащей утилизации после использования;
· с выступами элегаза лужи в сложных распределительных устройствах.
Кроме того, принимая во внимание характеристики крупных резервуаров со сложной и энергетической целью, в них проводятся следующие наблюдения:
* Метеорологические;
* гидрохимический;
· гидробиологические, включая ихтиологические наблюдения.
По результатам наблюдений, смотрители получают информацию о необходимых природоохранных мерах.
При создании водохранилищ предполагается их водоохранная зона, на той же территории планируются защитные лесные насаждения и лесовосстановительные мероприятия. Загрязнение водоохранной зоны потоками воды в водохранилище предотвращает попадание веществ.
Основываясь на специально проведенных научных исследованиях, проекты GES включали следующий обширный комплекс мер по защите флоры и фауны, включая:
· восстановление лесов вместо затопленных лесных массивов, перемещение редких, реликтовых и занесенных в Красную книгу растений из затопленных районов;
* выращивание ценных сортов в севообороте; внедрение системы специальных разрешений, которые не позволяют бассейну застраивать свою нижнюю часть;
* перемещение для отлова ценных видов животных из затопленных районов;
* создание животноводческих ферм и животноводческих ферм по разведению животных; Организация защитных и резервных зон; строительство рыбопромысловых, рыбоводных и компенсационных сооружений.
ЛИТЕРАТУРА
1. Орго В. М. Основы конструирования и расчета на прочность гидротурбин. Л.: Машиностроение, 1978. 224 с.
2. Барлит В. В. Гидравлические турбины. Киев: Вища школа, 1977. 360 с.
3. Завьялов Ю. С., Квасов Б. И., Мирошниченко В. А. Методы сплайн-функций. М.: Наука, 1980. 352 с.
4. Завьялов Ю. С., Леус В. А., Скороспелов В. А. Сплайны в инженерной геометрии. М.: Машиностроение, 1985. 221 с.
5. Залгаллер В. А. Теория огибающих. М.: Наука, 1975. 104 с. References.
6. Salomov U., Yusupov S., Odilov O., Moydinov D. Theoretical Substantiation of the Advisability of Using Adhesives When Sealing the Core of Car Radiators and Diagnosing Radiators with a Thermal Load. nternational Journal of Engineering Trends and Technology. Volume 70 Issue 1, 81—92, January, 2022 ISSN: 2231 – 5381 /doi:10.14445/22315381/IJETT-V70I1P210.
7. Абрамов А. И., Иванов-Смоленский А. В. Проект тирование гидрогенераторов и синхронных компенсаторов. М.: Высшая школа, 1978.
8. Авакян А. Б., Шарапов В. А. Водохранилища гидроэлектростанций РФ. М.: Энергия, 1977.
9. Аршеневский Η. Н. Обратимые гидромашины гидроаккумулирующих электростанций. М: Энергия, 1977.
10. Аршеневский Η. Н., Поспелов Б. Б. Переходные процессы крупных насосных станций. М.: Энергия, 1980.
11. Асарин А. Е., Бестужева К. Н. Водноэнергетические расчеты. М.: Энергоатомиздат, 1986.
12. Бабурин Б. Л., Файн И. И. Экономическое обоснование гидроэнергостроительства.. М.: Энергия, 1975.
ПРОСТРАНСТВЕННО ОСЦИЛЛИРУЮЩИЙ ФОТОВОЛЬТАИЧЕСКИЙ ТОК В ОПТИЧЕСКИ АКТИВНОМ СЕГНЕТОЭЛЕКТРИКЕ SbSI
Каримов Шерзод Боходирович
Соискатель физико-технического факультета Ферганского государственного университета
Алиев Ибратжон Хатамович
Студент 2 курса факультета математики-информатики Ферганского государственного университета
Каримов Боходир Хошимович
Кандидат физико-математических наук, физико-технического факультета Ферганского государственного университета
Ферганский государственный университет, Фергана, Узбекистан
Аннотация. В настоящей работе обнаружен и исследованы пространственно-осциллирующей фотовольтаический ток (ПОФТ) в направлении [100] в сегнетоэлектрике SbSJ при освещении поляризованным светом в направлении [010] и образованию от оптической зависимости в [001] направлении структуры пространственного осциллирующего фотовольтаического тока Jx. Обсуждены некоторые экспериментальные и физические основы пространственно осциллирующего фотовольтаического тока.
Ключевые слова: сегнетоэлектрик, поляризация, оптически-активный кристалл, пространственно-осциллирующий фотовольтаический ток, тензор 3-ранга.
Annotation. In this paper, the spatially oscillating photovoltaic current (POFT) in the direction [100] in the SbSJ ferroelectric is detected and investigated when illuminated with polarized light in the direction [010] and the formation of the structure of the spatial oscillating photovoltaic current Jx from the optical dependence in the direction [001]. Some experimental and physical bases of spatially oscillating photovoltaic current are discussed.
Keywords: ferroelectric, polarization, optically active crystal, spatially oscillating photovoltaic current, rank 3 tensor.
В последние годы стало ясно, что в термодинамических неравновесных условиях возможны токи иной природы, обусловленные отсутствием среды центра симметрии. Важнейшим этого класса эффекта является аномальный фотовольтаический эффект (АФ эффект).
АФ эффект заключается в том, что при равномерном освещении короткозамкнутого сегнетоэлектрика через него протекает стационарный ток, который в [1,2] был назван фотовольтаическим. Было показано, что именно фотовольтаический ток приводит к аномальному фотовольтаическому эффекту (АФ эффект) в сегнетоэлектрике.
Аномальный фотовольтаический эффект, обнаруженный для сегнетоэлектриков впервые в [1,2] является частным случаем более общего АФ эффекта, описываемого для кристаллов без центра симметрии тензором третьего ранга αijk [3].

Согласно (1), при равномерном освещении линейно поляризованным светом однородного кристаллов без центра симметрии (сегнето или пъезо-электрического кристалла) в нем возникает фотовольтаический ток Ji, знак и величина которого зависят от ориентации вектора поляризации света с проекциями Ej, Ek*.
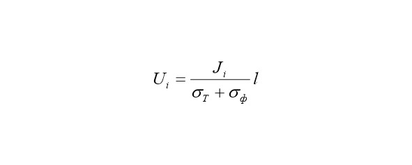
Компоненты тензора αijk отличны от нуля для 20 ацентричных групп симметрии. Если электроды кристалла разомкнуть, то фотовольтаический ток Ji генерирует фотонапряжения

где σt и σf соответственно темновая и фотопроводимость, lрасстояние между электродами. Генерируемое фотонапряжения порядка 103—105 В, превышающее, таким образом, величину ширины запрещенной зоны Eg на два – четыре порядка.
В соответствии с (1) и симметрией точечной группы кристалла можно написать выражения для фотовольтаического тока Ji. Сравнение экспериментальной угловой зависимости Ji (β) с (1) позволяет определить фотовольтаический тензор aijk или фотовольтаический коэффициент

a* – коэффициент поглощения света.
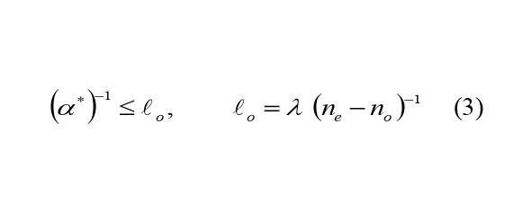
Как показал Белиничер [4], в зависимости от формы оптической индикатрисы и направления распространения плоско поляризованного света в кристалле могут существовать направления, для которых фотовольтаический ток (1) является пространственно осциллирующим. В этом случае:

где ne, n0 – показатели преломления обыкновенного и необыкновенного лучей, Ee и E0* – проекции вектора поляризации света на оптические оси кристалла,

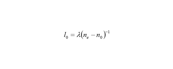
В этом случае фотовольтаический ток (2) осциллирует в кристалле с периодом

Как указывалось в [4] и как видно из (2) пространственно осциллирующий фотовольтаический ток (ПОФТ) может экспериментально наблюдаться в условиях сильного поглощения света.

где α* – коэффициент поглощения.
1. ПРОСТРАНСТВЕННО ОСЦИЛИРУЮЩИЙ ФОТОВОЛЬТАИЧЕСКИЙ ТОК В СЕГНЕТОЭЛЕКТРИКЕ SbSi
В настоящей работе обнаружен и исследован пространственно-осциллирующей фотовольтаический ток (ПОФТ) в направлении [100] в сегнетоэлектрике SbSI при освещении поляризованным светом в направлении [010].
Сульфоиодид сурьмы (SbSI) принадлежит к классу халькогенидов металлов пятой группы AVBVICII, где A-Sb; Bi; B-S, Se, Te; C-CL, Br, I. Кристаллы SbSI и SbSIxBr1-x – двуосные, обладают большим двойным преломлением, ниже температуры. Кюри Тс=220С кристаллы SbSI принадлежат к классу mm2 и обладают ромбической симметрией. При фазовом превращении происходит исчезновение центра симметрии, следовательно, ниже точки перехода кристаллы SbSI становятся сегнетоэлектриками.
Фазовый переход при 220С был зарегистрирован впервые Фатуццо [5] при изменении температурной зависимости диэлектрической проницаемости. Кристаллы обладают ярко выраженными полупроводниковыми свойствами, их фотоэлектрические свойства хорошо изучены [1].
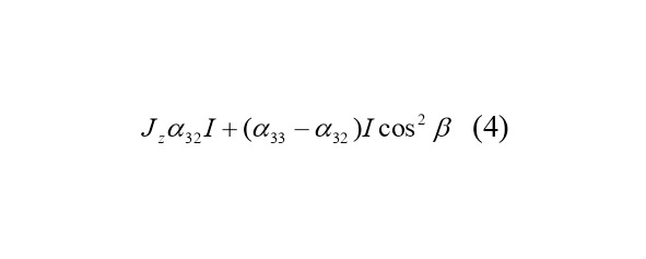
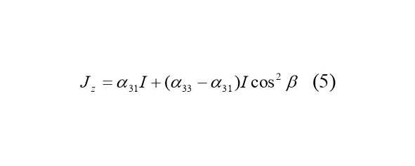
Измерения проводились для монокристаллов SbSI в сегнетоэлектрической фазе при температуре Т=133 К. Кристалл освещался плоско поляризованным светом с помощью ксеноновой лампы и монохроматора ЗМР. Измерялся стационарный фотовольтаический ток J по ранее описанному [1] методу. В соответствии с симметрией SbSI (точечная группа mm2) при измерении Jz (z – направление спонтанной поляризации) и освещении кристалла в x и y направлениях ПОФТ не возникает. Выражение для фотовольтаического тока Jz при освещении в x и y направлениях, соответственно, имеет вид:


где I—интенсивность света, β—угол между плоскостью поляризация света и осью z. На рис.1 кривая 1 представляет экспериментальную угловую зависимость Jz (β) для λ=600 нм при освещении вдоль [100]. Из сравнения экспериментальных угловых зависимостей Jz (β) с (4) и (5) были оценены численные значения αιjκ или фотовольтаические коэффициенты

С учетом плеохроизма и анизотропии отражения света в SbSI [6] были получены следующие значения:
К314∙10—8; К323∙10—8; K33 (2—3) ∙10—8А∙см∙ (Вт) -1. Таким образом, в SbSI фотовольтаические коэффициенты K31, K32, K33 более чем на порядок превышают соответствующие коэффициенты в LiNbO3: Fe.

Рис.1. Зависимость фотовольтаического тока Jz (1) при l = 600 нм и Jx (2) при l = 460 от ориентации плоскости поляризации света в SbSI.





