Все науки. №6, 2022. Международный научный журнал

- -
- 100%
- +
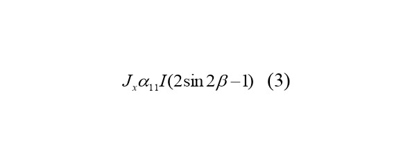
Согласно (2), для SbSI компоненты фотовольтаического тока и являются пространственно-осциллирующими. Однако при освещении кристалла в области сильного поглощения в направлении осей x или y и при выполнении условия (3) вдоль поверхностей (100) и (010), соответственно, текут токи.


где β – угол между плоскостью поляризации света и осью z. Согласно [1,7] для SbSI условие сильного поглощения (3), должно выполняться уже при λ470 нм. Для наблюдения ПОФТ в условиях сильного поглощения на грань цинакоида (010) напылялись серебряные электроды в форме полос, параллельных оси спонтанной поляризации z. С помощью этих электродов при освещении кристалла в направлении [010] поляризованным светом с λ=460 нм измерялся ток Jx кривая 2 и длинноволновой области (λ=600нм, кривая 1) измерялся ток Jz. Угловая зависимость измеряемого тока удовлетворяет (5), в том время как ток Jх в этой области вообще не может наблюдаться из-за нарушения условия (3) и пространственной осцилляции. На рис. 2 представлены спектральные Jz (кривая 1), Jx (кривая 2), отнесённые к единице падающий энергии, а также спектральная зависимость

построенная с учётом дисперсии n0, nе и коэффициента поглощения α* в [010] направления.
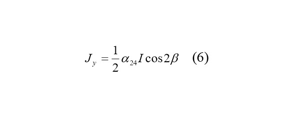
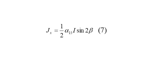
Угловую зависимость Jx (β) в форме кривой 2, которая хорошо согласуется с (7) при К15= (2—4) ·10—9А·см· (Вт) -1 (λ=460нм).

Рис. 2. Спектральная зависимость Jz (1), Jx (2) и L=l0α* (3).
В то время, как измерявшаяся ранее в спектральная зависимость Jzявляется монотонной, спектральная зависимость Jx обнаруживает резкий максимум вблизи L1. Таким образом, спад Jx в длинноволновой области, где L <<1, обуcловлен ПОФТ. Интересен спад Jx в коротко волновой области, где L> 1.Так как АФ эффект не связан с временем жизни неравновесных носителей, то, возможно, это коротковолновой спад Jx обусловлен уменьшением K15 и, следовательно, подвижности в направлении [100].
2. ПРОСТРАНСТВЕННО ОСЦИЛИРУЮЩИЙ ФОТОВОЛЬТАИЧЕСКИЙ ТОК В СЕГНЕТОЭЛЕКТРИКЕ α-HgS
В работе рассмотрен фотовольтаические эффекты в оптически активных кристаллах α-HgS. Обсуждены некоторые экспериментальные и физические основы фотовольтаического эффекта в активных кристаллах.
Сернистая ртуть HgS существует в двух модификациях: черная модификация – метациннабарит (β-HgS) -кристаллизуется в кубической системе (точечная группа 3m), красная модификация—циннабарит или киноварь (α-HqS) – кристаллизуется в тригональной системе (точечная группа 32).
В работе исследовались красные кристаллы киновари, обладающие особенно большим удельным вращением вдоль оптической оси для пропускаемых ими красных лучей r=2350/мм. Исследовались кристаллы α – HgS, выращенными гидротермальным методом в лаборатория гидротер-мального синтез Институте кристаллографии Российской Академии наук. Исходными веществами для изготовления циннабарита были чистая ртуть в сера. Электрические, электрооптические свойства кристаллов α-HgS и фотоэлектрические свойства кристаллов исследовались в [5,6].
Показано, что оптическая активность кристалла α-HgS сильнее влияет на угловой распределение фотовольтаического тока, измеренного в линейно поляризованном свете.
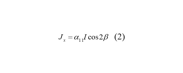
Рис. 3. показывает ориентационную зависимость фотовольтаического тока Jx (β) в α-HgS. В соответствии с (1) и симметрией точечной группы 32, выражение для Jx (β) при освещении в направлении оси y имеет вид

где – угол между плоскостью поляризации света и осью x.
Сравнение экспериментальной угловой зависимости Jx (β) с (2) дает
К11= (1—2) ∙10—9А∙см∙ (Вт) -1 (Т=133Κ, λ=500нм). Совпадение экспериментальной угловой зависимости Jx (β) с (2) показывает, что в области сильного поглощения (λ=500нм, α*>> 100см-1) влияние оптической активности в направлении оси y на угловое распределение Jx (β) является незначительным. Влияние оптической активности в z- направлении было обнаружено при исследовании угловой зависимости Jx (β) в различных спектральных областях (рис.1).
В соответствии с (1) угловая зависимость Jx (β) приосвещение в z – направлении (ось z совпадает с осью симметрии третьего порядка) имеет вид.

где β – угол между плоскостью поляризации света и осью y.
Рис.2 указывает на хорошее соответствие между экспериментальной зависимостью Jx (β) и (3) в области сильного поглощения света (λ= 400нм). Переход из коротковолновой области в длинноволновую, соответствующий уменьшению α*, изменяет характер угловой зависимости Jx (β) и ее амплитуду.

Рис.3. Ориентационная зависимость фотовольтаического тока Jx (β) в a-HgS (T=1330K).
На рис.4 представлена спектрально-угловая диаграмма фотовольтаического тока Jx. Очевидно, что ее форма определяется оптического активностью в z- направлении, ее спектральной дисперсией, а также спектральным распределением фотовольтаического эффекта в α-HgS.
Оптическая зависимость в z – направлении приводит, таким образом, к образованию структуры пространственного осциллирующего фотовольтаического тока Jx. Фотовольтаический ток осциллирует в z- направлении с периодом

Где χ – коэффициент оптической активности.
Угловая зависимость Jx (β) совпадает с (3) только при условии сильного поглощения света

где α*– коэффициент поглощения света.

Рис. 4. Спектрально – угловая диаграмма фотовольтаического тока в a-HgS (T=1330K). Направление распространения света указано в верхней части рисунка.
Примечание: Коллегия авторов приносит благодарности В. А. Кузнецову за предоставление кристаллов и В. М. Фридкину за обсуждение.
Литература
1. Glass A.M.Voh der Linbe D. Nerren T.J. High- voltage Bulk Photovoltaik ettect and the Photorefractive process in LiNbo. //J. Appl. Phys. Lett. 1974. N4 (25) p.233—236.
2.Фридкин В.М, Фотосегнетоэлектрики. М., «Наука», 1979, с.186—216.
3.Белиничер В. И. Исследования фотогальванических эффектов в кристаллах. Дисс. на соискание. докт. физ-мат. наук. Новосибирск. 1982. 350 С.
4.Стурман Б. И., Фридкин В. М. Фотогальванические эффекты в средах без центра инверсии. -М., Наука.1992. -с-208.
5.Ефремова Е. П., Кузнецов В. А., Котельников А. Р. Кристаллизация киновари в гидросульфидных растворах. // ж. Кристаллография. 1976. т.21. в.3. С.583—586.
6. Донецких В. И., Соболев В. В. Спекторы отражения тригонального HgS. // ж. Оптика и спектроскопия. 1977. т.42. в.2. С.401—403.
7.Фридкин В. М. Объемный фотовольтаический эффект в кристаллах без центра симметрии. // Кристаллография. 2001. Т. 46, N 4. С. 722—726.
РОЛЬ РЕЗОНАНСНЫХ ЯДЕРНЫХ РЕАКЦИЙ В СОВРЕМЕННОЙ ЭНЕРГЕТИКЕ. THE ROLE OF RESONANT NUCLEAR REACTIONS IN MODERN ENERGY
Жалолов Ботирали Рустамович
Генеральный директор «Clipper Energy» LLC и «Clipper Associates» Corp
«Clipper Energy» LLC, «Clipper Associates» Corp., Malaysia
Каримов Боходир Хошимович
Кандидат физико-математических наук, доцент физико-технического факультета Ферганского государственного университета
Алиев Ибратжон Хатамович
Студент 2-курса факультета математики-информатики Ферганского государственного университета
Ферганский государственный университет, Фергана, Республика Узбекистан
Zhalolov Botirali Rustamovich
General Director of «Clipper Energy» LLC and «Clipper Associates» Corp
«Clipper Energy» LLC, «Clipper Associates» Corp., Malaysia
Karimov Bahodir Khoshimov
Candidate of Physical and Mathematical Sciences, Associate Professor of the Faculty of Physics and Technology of Fergana State University
Aliev Ibratjon Khatamovich
2nd year student of the Faculty of Mathematics and Computer Science of Fergana State University
Ferghana State University, Ferghana, Republic of Uzbekistan
Аннотация. Современную энергетику просто невозможно представить без составляющей в лице атомных электростанций, в основе которых лежат явления распада урана-238 и урана-235, в том числе с использованием саморазмножающихся методов деления. Но как известно источники не вечны, по этой причине важно нахождение нового способа по выделению максимально большого количества электрической энергии и, если верить результатам современных исследований, явным кандидатом на подобный титул могут стать резонансные ядерные реакции, которые изучаются на основе совершенно новой науки – физики резонансных ядерных реакций (ФРЯР).
Ключевые слова: физика резонансных ядерных реакций, энергетическая составляющая, кулоновский барьер, ядерные реакций, физика атомного ядра и элементарных частиц, ядерное эффективное сечение, длина волны.
Annotation. It is simply impossible to imagine modern energy without a component in the face of nuclear power plants, which are based on the decay phenomena of uranium-238 and uranium-235, including using self-multiplying fission methods. But as you know, the sources are not eternal, for this reason it is important to find a new way to release as much electrical energy as possible and, if you believe the results of modern research, resonant nuclear reactions, which are studied on the basis of a completely new science – physics of resonant nuclear reactions (PRNR), can become a clear candidate for such a title.
Keywords: physics of resonant nuclear reactions, energy component, Coulomb barrier, nuclear reactions, physics of atomic nucleus and elementary particles, nuclear effective cross section, wavelength.
А. Русская версия
1. Общие понятия ядерных реакций
Сама по себе ядерная реакция, это процесс взаимодействия атомного ядра с другим ядром или элементарной частицей, которая может сопровождаться изменением структуры, строения, состава ядра, образованием новых ядер или элементарных частиц и введением дальнейших изменений. Также последствием ядерной реакции может стать его деление, спускание как элементарных частиц, так и безмассовых протонов. Вместе с этим, из-за действия несколько иных законов, при которых масса активно может превращаться в энергию и обратно, кинетическая энергия результирующих частиц вполне, может быть, не равна сумме изначальных.
Подобные ядерные реакции являются экзо-энергетическими или выделяющими энергию. Первая ядерная реакция была проведена Эрнестом Резерфордом в 1917 году, при бомбардировке альфа-частицами ядра атомов азота. Она была полностью зафиксирована благодаря появлению вторичных ионизирующих частиц, пробег коих в газе был больший чем пробег альфа-частиц, после чего и были идентифицированы как протоны. Процесс же позже был сфотографирован.
К слову, об этом, важно сказать, что для фотографирования ядерных реакций используется камера Вильсона. Говоря же о механизмах взаимодействия, то можно выделить два вида такого взаимодействия, а именно:
1. Реакция с образованием составного ядра, этот процесс состоит из двух стадий, при этом налетающая частица соединяется с самим бомбардируемым ядром, составляя общее ядро, которое позже распадается. Такая ядерная реакция протекает на небольших энергиях, до 10 МэВ;
2. Прямые ядерные реакции, проходящие уже сразу, за ядерное время, которое составляет мельчайшие доли секунды и рассчитываются исходя из иных факторов, одним из которых является время пересечения ядра частицей. Главным образом такой вид реакции выражается лишь на очень больших энергиях бомбардирующих частиц.
В случае сохранения первоначальных ядер после самой ядерной реакции, также не рождаются новые частицы, то реакция считается упругим рассеянием в поле ядерных сил, без какого-либо внутреннего взаимодействия. Такая реакция сопровождается лишь передачей кинетической энергии и импульса одной налетающей частицы ядру-мишени, называясь потенциальным рассеянием и полноценно подчиняясь законам сохранения импульса в этом случае.
Ранее были упомянуты механизмы реакции, но стоит несколько подробнее на них остановиться. Первая реакция, а именно механизм составного ядра был впервые разработан и предложен Нильсом Бором в 1936 году совместно с знаменитой теорией капельной модели. Данная теория даже сегодня лежит в основе больших представлений о всех ядерных реакциях.
Если следовать данной теории, то как и было описано, ядерная реакция следует в два этапа, при этом весь процесс от столкновения, образования составного ядра и его распада занимает в рамках 10-23-10-21 с. И важно отметить, что какое бы не было составное ядро, оно всегда является возбуждённым из-за избыточной энергии, которая вносится частицей в лице энергии связи нуклонов в составном ядре и части кинетической энергии составного ядра, которая равна сумме кинетической энергии ядра-мишени с определённым большим массовым числом и налетающей частицы в системе так называемого центра инерции.
Здесь важно определить такое понятие как энергия возбуждения составного ядра, которое образовалось при поглощении свободного нуклона. Она составляет сумме энергии связи нуклонов ядра-мишени и части его кинетической энергии (1).

Часть кинетической энергии из-за большой разницы в массах ядра и нуклона в таких случаях становится равной кинетической энергии бомбардирующего нуклона. В среднем же энергия связи равна 8 МэВ и может изменяться только при отличительных особенностях образуемого в этом процессе составного ядра, но для точно указанного ядра-мишени и нуклона, это значение – константа. Кинетическая же энергия частицы может быть какой угодно, к примеру, в ядерных реакциях, где налетает нейтрон, за счёт того, что отсутствует отталкивающая сила ядра – кулоновский барьер, их энергия может быть крайне близка к нулю.
Таким образом, кинетическая энергия является минимальной энергией возбуждения составного ядра.
И именно из утверждения наличия составного ядра и существованию каналов распада ядер, можно сделать вывод о существовании каналов реакций. Сами по себе каналы реакции – это способы перехода из возбуждённого в невозбуждённое состояние. Типа и квантовое состояние налетающих частиц и ядер до начала реакции определяют входной канал ядерной реакции, после завершения же реакции совокупность образовавшихся частиц, то есть продуктов реакции и их квантовое состояние определяется результирующий выходной канал реакции. Полная характеристика ядерной реакции осуществляется входными и выходными каналами.
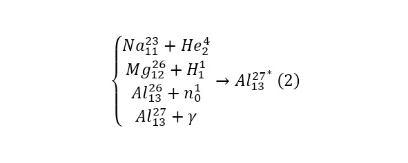
Составное ядро само по себе живёт довольно долгое время, благодаря чему сам выбор канала реакции вовсе не зависит от способа образования составного ядра, благодаря чему оно «забывает», как было образовано. Это становится причиной для утверждения независимости процессов организации составного ядра и его распада. Ярким примером может быть ситуация образования возбуждённого ядра алюминия-27 следующими способами (2).

Но распадается это яро одинаково во всех случаях, при условии одинаковой энергии возбуждения. Но при этом имеется и возможно распада обратным любой из этих реакций, с определённой вероятностью, не зависящей от истории возникновения самого возбуждённого ядра. Если же говорить о вероятности таких событий, то зависимость становится между сортом ядра-мишени и энергий.
Как и было ранее указано, ядерные реакции могут также протекать и по прямому каналу взаимодействия при больших энергиях, поскольку нуклоны ядра можно рассматривать как свободные. Отличие от предыдущей модели составного ядра от модели прямых реакции состоит изначально в распределении векторов импульсов частиц-продуктов ядерной реакции, относительно импульса бомбардирующих частиц. Если же в составной модели действует сферическая симметрия, то в данном случае геометрия более проста и преимущество в выборе направлений результирующими частицами состоит в направлении входящих частиц.
Ранее упоминалось понятие вероятности ядерной реакции, которая представляется величиной, которая называется эффективным сечением ядерной реакции. В лабораторной системе отчёта принимается ситуация покоя ядра-мишени, вероятность взаимодействия определяется произведением сечения на поток падающих частиц, при этом сечение выражается в единицах площади, а поток в количестве частиц, пересекающих единицу площади в единицу времени. Само сечение ядерной реакции исчисляется в крайне малых единицах площади – барнах, равных 10—24 см2.
Отношение случаев реакции, отнесённое к числу бомбардировавших мишень частиц, называется выходом ядерной реакции. Эта величина определяется экспериментально при количественных измерений, что связано с сечением реакций, а измерение этого выхода в самой сути – измерения сечения реакции.
Законы физики, в том числе и законы сохранения конечно же действуют и в ядерных реакциях. Эти законы накладывают определённых ограничения на возможность самого осуществления ядерной реакции. Также существуют и некоторые более специфичные законы сохранения, свойственные для микромира, примером таких могут стать закон сохранения барионного или лептонного числа. Они выполняются на всех известных реакциях, но некоторые другие законы сохранения чётности, изоспина, странности, лишь действуют в фундаментальных взаимодействиях. Следствие из них – это правила отбора, определяющие настоящие и невозможные ядерные реакции, которые можно осуществить.
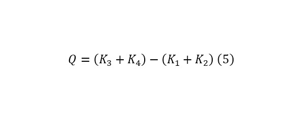
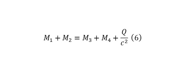
Закон сохранения энергии в ядерных реакциях действуют предсказуемо, но очень специфически для представителей макромира. При этом выполняется равенство сумм полных энергий (3).

Если же расписать (3), то можно получить (4), из которого следует энергия реакции (5), которая удовлетворяет (6).



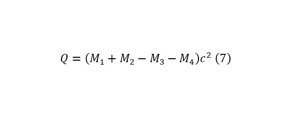
Таким образом (5), можно переписать и как (7).

Если же выход реакции больше нуля, то это реакция экзо-энергетическая и сопровождается выделением энергии в кинетическую энергию продуктов реакции, в обратном случае – поглощением и называется эндо-энергетической. Регулировка подобного процесс становится понятным и по разности масс до и после реакции и при положительной разности можно сказать, что она превращается в кинетическую энергию и реакция генерирует энергию, в обратном случае, то есть при отрицательной разности, процесс её поглощает.
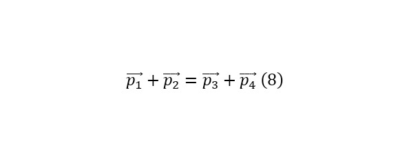
Также действует и закон сохранения импульса, что очень хорошо заметно при прямых реакциях (8).

Вместе с этим существует и закон сохранения момента импульса и целых ряд иных законов, но самыми основными действующими в реакции, являются эти два закона сохранения.
Но теперь важно остановиться на видах ядерных реакций, а существует их несколько: ядерная реакция деления, синтеза, термоядерная реакция и фотоядерная реакция. Первый вид – ядерная реакция деления, это процесс расщепления атомного ядра на два, а реже на три ядра с близкими ядерными массами, которые называются осколками деления. Также могут возникать и иные продукты реакций, в том числе лёгкие ядра – альфа-частицы, дейтроны, а также нейтроны и гамма-кванты. Деление само по себе спонтанно и самопроизвольно, либо же вынужденное, из-за взаимодействия с другими частицами, к примеру нейтронами. Деление тяжёлых ядер – это в большинстве случаев экзо-энергетический процесс, что позволяет из этого процесса получать энергию из излучения и кинетической энергии продуктов.
Ядерная реакция синтеза – второй ядерный процесс, которые состоит в слиянии двух ядер с образованием нового, более тяжёлого ядра. Такой процесс часто сопутствуется излучением гамма-квантов или других элементарных частиц. Слияние ядер чаще всего эндо-энергетический процесс, из-за чего чаще всего требуется введение энергии через кинетические энергии частиц, чтобы преодолеть кулоновский барьер – электростатическое отталкивание ядер. Слияние двух ядер и придание им энергии может осуществиться, как не сложно догадаться в ускорителях заряженных частиц, либо же эти частицы изначально обладали этой энергией, к примеру частицы космического излучения, но есть ещё один способ – это нагрев вещества до крайне высоких температур в специальном термоядерном реакторе, где кинетическая энергия частиц и температуры крайне огромны.
Таким образом можно подойти и к термоядерным реакциям. В таких реакциях, слияние лёгких ядер приводит к превращению излишней массы первоначальных ядер в энергию, поскольку суммарная масса слившихся ядер больше массы результирующего ядра-продукта реакции.
Из этого можно сделать вывод, что ядерной реакции синтеза исходные ядра должны обладать относительно большой кинетической энергией, ибо они испытывают довольно мощное электростатическое отталкивание при прохождении с их стороны кулоновского барьера. Их кинетическую энергию, по молекулярно-кинетической теории можно представлять в виде температуры всего вещества, следовательно нагрев приведёт к увеличению кинетической энергии составных частиц и их слиянию. Именно так и развивается нуклонный синтез в недрах звёзд с образованием новых ядер под огромной температурой.
В частности, в большом количестве происходит реакция слияния протонов, ядер гелия, а также как побочный результат, образуются и иные изотопы веществ, в том числе дейтерий и тритий, как изотопы водорода. И наконец, последний вид ядерной реакции – фотоядерная реакция, в этом случае происходит поглощение гамма-кванта с достаточной энергией, чтобы возбудить нуклонный состав, то есть ядро, благодаря чему оно становится составным, то есть его можно считать таковым, а также высвобождает из себя иную структуру, либо распадается.
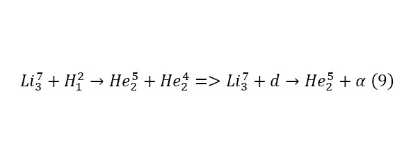
Данный процесс и называется фотоядерной реакцией или ядерным фотоэффектом. И в заключение стоит отметить, что ядерные реакции могут быть записаны как в виде уравнения, как это демонстрировалось ранее, или, к примеру в (9), также имеет место несколько иная запись (10).


По итогу можно сделать о большой важности наличия знаний о самих ядерных реакциях у любого исследователя, контактирующего с данной областью, в том числе и с физикой резонансных ядерных реакций.
И если заметить, то как и было отмечено, ядерная физика развивалась на протяжении многого времени, не говоря о времени, которое потратило человечество, для изучения структуры всей материи и вещества в целом. Но активные исследования привели к совершенно недавнему открытию нового направления в этой области, а именно к физике резонансных ядерных реакций. Впервые подобная терминология была использована и практически продемонстрирована в монографии 2021 года Алиева И. Х. и Шарофутдинова Ф. М. «Использование ускорителей и явлений столкновения элементарных частиц с энергией высокого порядка для генерации электрической энергии. Проект „Электрон“», которая в дальнейшем получила своё продолжение.





