Медицинская микробиология, иммунология и вирусология

- -
- 100%
- +

Л. Пастер (1822 – 1895)

Р. Кох (1843 – 1910)
В 1876 г. заявил о себе и другой исследователь, оказавший огромное влияние на становление и развитие медицинской микробиологии, – Роберт Кох. В своей работе Р. Кох подвел окончательную черту под многолетней дискуссией о природе бактерий, обнаруживаемых у больных сибирской язвой животных. Дискуссия шла по вопросу: являются ли обнаруживаемые бактерии случайными спутниками болезни или причиной ее? Р. Кох точными экспериментами доказал, что возбудителем сибирской язвы является микроорганизм Bacillus anthracis. «Благодаря французу Пастеру было верно понято значение сибиреязвенных палочек, а благодаря немцу Коху было доказано их значение как единственных возбудителей сибирской язвы» (И. И. Мечников). Р. Коху микробиология обязана прежде всего тем, что он усовершенствовал бактериологическую методику. Он предложил метод выделения чистых культур из изолированных колоний на плотных средах, способы окраски бактерий анилиновыми красителями и внес усовершенствования в технику микроскопирования – конденсор Аббе и иммерсионные объективы. Все это способствовало широкому распространению экспериментальных исследований микроорганизмов и разработке бактериологических методов диагностики инфекционных болезней. Кроме того, Р. Коху принадлежит огромная историческая заслуга в открытии возбудителей тяжелейших заболеваний человека – туберкулеза и холеры.
Так благодаря Л. Пастеру и Р. Коху возникла и начала быстро развиваться новая наука – микробиология. Такое название ей дал соратник Л. Пастера П. Дюкло, а Пастер назвал ее вначале «микробией». Все невидимые простым глазом живые существа Ч. Седийо в 1878 г. предложил называть микробами. Открытия возбудителей заразных заболеваний после работ Пастера следовали буквально одно за другим:
1874 г. – палочка проказы (Г. Хансен);
1879 г. – гонококк (А. Нейссер);
1880 г. – палочка брюшного тифа (К. Эберт);
1880 г. – малярийный плазмодий (А. Лаверан);
1880 – 1884 гг. – стафилококк (Л. Пастер, А. Огстон, А. Розенбах);
1882 г. – туберкулезная палочка (Р. Кох);
1883 г. – холерный вибрион (Р. Кох);
1884 г. – дифтерийная палочка (Ф. Леффлер);
1886 г. – пневмококк (А. Френкель).
С 1874 по 1900 г. были открыты возбудители более чем 35 заболеваний человека и животных; открытия продолжаются и в наше время.
Л. Пастер после обоснования микробной природы заразных болезней и открытия ряда их возбудителей поставил далее своей главной целью не поиски других патогенных бактерий, а разработку общего принципа борьбы с заразными болезнями. И эту задачу он также блестяще решил. Однажды Пастер обнаружил любопытный факт: хранившиеся долгое время в термостате возбудители куриной холеры утратили свою заразительность для кур. Нужны были наблюдательность и гений Пастера, чтобы на основании этого маленького факта сделать выводы, которые определили основные направления борьбы с заразными заболеваниями. Пастер предположил, что ослабленные бактерии могут сыграть роль, подобную осповакцине Дженнера, которая надежно предохраняет от натуральной оспы. Оставалось только найти способы ослабления (аттенуации) заразительности бактерий. Пастер решил добиться ослабления заразительности сибиреязвенной палочки и получить из нее вакцину (этот термин со времен Дженнера он сохранил, и ныне все препараты, используемые для создания искусственного активного иммунитета, называют «вакцинами») методом, сходным с получением вакцины из возбудителей куриной холеры. Он выращивал сибиреязвенную палочку не при 37 °C, а при более высокой температуре (42 – 43 °C) и получил два варианта вакцины – более и менее ослабленную.
5 мая 1881 г. на ферме Пуй ле Фор под Парижем начался невиданный в истории медицины публичный эксперимент: 27 животных (главным образом овцы) были привиты полученной Пастером сибиреязвенной вакциной. 17 мая им была сделана прививка повторно, но уже менее ослабленной вакциной, а 31 мая наступил решающий момент: всех вакцинированных животных и столько же невакцинированных заразили смертельной дозой сибиреязвенной палочки. Перед этим опытом Пастер уверенно заявил, что все вакцинированные животные устоят перед инфекцией, а невакцинированные – умрут. Так и получилось. Блестящий успех этого эксперимента показал, что человечество получило надежное оружие борьбы против инфекционных болезней. Так, начав с изучения природы брожения, решая одну за другой практические задачи общества, Пастер совершил одно из величайших открытий и заложил научные основы наиболее эффективной борьбы с заразными болезнями с помощью искусственной иммунизации. Завершая свою научную деятельность, Л. Пастер после долгих и упорных опытов получил вакцину против бешенства. Сложность решения этой задачи состояла в том, что возбудителем бешенства является вирус, которого Пастер не мог увидеть под микроскопом и который не размножался на искусственных питательных средах. Только благодаря гению Пастера удалось превратить уличный вирус бешенства в вакцину против бешенства, которая до сих пор является единственным средством защиты от этой страшной болезни. Высокая эффективность вакцины против бешенства быстро подтвердилась. Ее стали называть «пастеровской», и вскоре в различных странах мира (раньше всего в России, в Одессе, И. И. Мечников) стали открывать пастеровские станции, где людям, пострадавшим от нападения бешеных животных, спасали жизнь с помощью пастеровской вакцины. Успех идей Пастера был настолько велик, что для него в Париже на собранные по международной подписке деньги был построен и открыт 14 ноября 1888 г. специальный институт (Пастеровский институт), ставший мировым научным центром микробиологии. 22 декабря 1892 г. Пастеру исполнилось 70 лет, его чествование имело международный характер. Юбиляру была вручена специальная золотая медаль, на которой выгравированы такие слова: «Пастеру в день его семидесятилетия – благодарная наука и человечество». Скончался Л. Пастер 22 сентября 1895 г. Его тело погребено в гробнице Пастеровского института. Над аркой перед входом в усыпальницу выбито всего три слова: «Ici repose Pasteur» («Здесь покоится Пастер»). На мемориальной доске, установленной на здании Эколь Нормаль, так лаконично записана хронология научной жизни Пастера:
«Здесь была лаборатория Пастера.
1857 г. Брожение.
1860 г. Самопроизвольное зарождение.
1865 г. Болезни вина и пива.
1881 г. Зараза и вакцина.
1885 г. Предохранение от бешенства».
Пастер не только создал микробиологию как фундаментальную биологическую науку, но и определил ее основные разделы, которые затем выделились в качестве самостоятельных научных дисциплин со своими целями и задачами: общая микробиология (изучает фундаментальные закономерности биологии микроорганизмов); техническая (промышленная) микробиология (изучает различные типы процессов брожения, которые используются для получения спиртов, ацетона, глицерина и т. п., а также разрабатывает и организует производство с помощью микробов продуцентов антибиотиков, витаминов и других биологически активных соединений); сельскохозяйственная микробиология (изучает почвенную микрофлору, ее роль в круговороте веществ в природе и влияние на структуру и плодородие почв, а также болезни растений, методы предупреждения и борьбы с ними и т. п.); ветеринарная микробиология (изучает биологию возбудителей заразных болезней животных и разрабатывает методы специфической диагностики, профилактики и лечения их; она тесно связана с медицинской микробиологией, так как имеются болезни, общие для животных и человека и передающиеся от животных к человеку).
Из всех разделов микробиологии наибольшее значение для человечества имело развитие медицинской микробиологии – науки, которая занимается изучением биологии болезнетворных микробов и особенностей взаимодействия их с организмом человека. Задачей медицинской микробиологии является не только выяснение этиологии инфекционных заболеваний, но и разработка специфических методов их диагностики, профилактики и лечения. Как известно, здесь достигнуты громадные успехи, которыми мы в значительной степени обязаны тому, что в ходе исторического развития микробиологии возникли и стали бурно развиваться такие новые биологические науки, как иммунология, вирусология, учение об антибиотиках и плазмидах.
То, что человек, переболевший заразной болезнью, повторно ею, как правило, не болеет, было известно очень давно. Однако о механизмах, обеспечивающих такую приобретенную устойчивость (иммунитет), стало известно лишь в результате исследований И. И. Мечникова, П. Эрлиха и их многочисленных учеников.
Выдающийся русский ученый И. И. Мечников не только был одним из основоположников микробиологии, в том числе и отечественной, но по праву считается вместе с П. Эрлихом основоположником иммунологии. Он открыл явление фагоцитоза и впервые в истории медицины показал, что целебные силы организма связаны с особой группой клеток, названных им «фагоцитами». Идеи И. И. Мечникова горячо поддержал Л. Пастер, он пригласил его и предложил возглавить лабораторию в Пастеровском институте. Здесь и работал И. И. Мечников с 1887 г. до конца жизни. После того как было установлено, что против бактерий и их токсинов в организме вырабатываются различные антитела (антитоксины, бактериолизины, опсонины, агглютинины и т. п.), П. Эрлих предложил гуморальную теорию иммунитета. В многолетней и на редкость плодотворной научной дискуссии между сторонниками фагоцитарной теории иммунитета Мечникова и гуморальной – Эрлиха – фактически были раскрыты многие механизмы иммунитета и родилась иммунология. Обе теории оказались правомочными – И. И. Мечникову и П. Эрлиху за исследования по иммунитету в 1908 г. была присуждена Нобелевская премия.

И. И. Мечников (1845 – 1916)

П. Эрлих (1854 – 1915)
В развитие иммунологии большой вклад внесли ученики И. И. Мечникова – А. М. Безредка (1870 – 1940), Л. А. Тарасевич (1868 – 1927), И. Г. Савченко, В. И. Исаев – и такие ученые, как Э. Ру, А. Иерсен, Э. Беринг, Ш. Китазато, Ж. Борде, О. Жангу, Г. Рамон и др.
В результате последующих многочисленных исследований было установлено, что и наследственный, и приобретенный иммунитеты обеспечиваются согласованной деятельностью пяти основных систем: макрофагов; комплемента; Т- и В-лимфоцитов; интерферонов; главной системы гистосовместимости. Они и обеспечивают различные формы иммунного ответа.
12 февраля 1892 г. на заседании Российской академии наук Д. И. Ивановский сообщил о том, что возбудителем мозаичной болезни табака является фильтрующийся вирус. Эту дату можно считать днем рождения вирусологии, а Д. И. Ивановского – ее основоположником. Очень скоро выяснилось, что вирусы вызывают заболевания не только растений, но и человека, животных и бактерий. Они оказались столь же вездесущими, как и другие микроорганизмы. Развитие вирусологии, также ставшей фундаментальной биологической наукой, определялось совершенствованием методов исследования вирусов и их культивирования. Необычные свойства вирусов на многие годы затянули решение вопроса об их природе. Только после расшифровки природы гена и генетического кода вирусы были признаны живыми существами, хотя они по многим свойствам отличаются от всех других организмов. Л. Пастер, создавая вакцину против бешенства, вплотную подошел к открытию вирусов, во всяком случае, он предсказал их существование. Здесь прослеживается историческая связь микробиологии с вирусологией. Между созданием вакцины против бешенства и открытием вирусов Д. И. Ивановским прошло всего 8 лет.

Д. И. Ивановский (1864 – 1920)

А. Флеминг (1881 – 1955)
Следующим важным этапом в развитии микробиологии было открытие антибиотиков. В 1929 г. А. Флеминг открыл пенициллин, и началась новая эра – эра антибиотикотерапии, которой суждено было произвести подлинную революцию в медицине. А изучение природы лекарственной устойчивости, которая стала эпидемически распространяться среди бактерий, привело к очередному важному открытию. Оказалось, что у многих бактерий, устойчивых к антибиотикам и иным химиопрепаратам, существует два генома – хромосомный и плазмидный. Изучение плазмид привело к выводу о том, что они представляют собой еще более простые организмы, чем вирусы, и в отличие от последних не разрушают бактерии, а наделяют их дополнительными важными биологическими свойствами. Открытие плазмид и изучение их свойств расширили и углубили представление о формах существования жизни и путях ее эволюции.
Новый этап развития микробиологии, иммунологии и вирусологии начался во второй половине ХХ в. в связи с рождением молекулярной генетики и молекулярной биологии. В 1944 г. в опытах по трансформации пневмококков впервые было доказано, что носителем генов является ДНК. Использование бактерий, вирусов, а затем и плазмид в качестве объектов молекулярно-генетических и молекулярно-биологических исследований привело к более глубокому пониманию фундаментальных процессов, лежащих в основе жизни. В области иммунологии исследования на молекулярно-генетическом и молекулярно-биологическом уровне позволили раскрыть структуру антител; выяснить, как осуществляется генетический контроль их биосинтеза, каковы механизмы дифференцировки иммунокомпетентных клеток и их взаимодействия в выдаче различных вариантов иммунного ответа. Иммунология вплотную подошла к раскрытию основных принципов и закономерностей саморегуляции иммунной системы на всех ее уровнях. Открываются широкие перспективы использования иммунобиологических модуляторов для лечения различных форм иммунодефицитов, включая рак. За последние годы расшифрована молекулярно-генетическая организация многих вирусов, изучены механизмы их взаимодействия с клетками, особенности противовирусного иммунитета, открыты и изучены различные вирусы, в том числе относящиеся к семейству Retroviridae (ВИЧ), выяснены в общих чертах механизмы, с помощью которых онковирусы вызывают трансформацию нормальных клеток в опухолевые. Большие успехи достигнуты в изучении генетического, в том числе плазмидного, контроля факторов патогенности и механизма действия многих бактериальных экзотоксинов. Разработаны принципы получения и производства, в том числе генно-инженерными методами, новых поколений вакцин. Созданы реальные предпосылки для ликвидации ряда инфекционных заболеваний уже в ближайшее время с помощью массовой вакцинации. Успешный опыт по ликвидации на Земле оспы позволяет надеяться, что с помощью расширенной программы иммунизации, осуществляемой под эгидой ВОЗ, такие болезни, как полиомиелит, краснуха, корь, эпидемический паротит, также будут ликвидированы, а заболеваемость туберкулезом, дифтерией, столбняком, коклюшем и некоторыми другими болезнями будет значительно снижена.
За открытия в области микробиологии Нобелевских премий удостоены многие выдающиеся ученые: Э. Беринг (1901), Р. Кох (1905), И. И. Мечников, П. Эрлих (1906), Ш. Лаверан (1907), Ш. Рише (1913), Ж. Борде (1919), Ш. Николь (1928), К. Ландштейнер (1930), Г. Домагк (1939), А. Флеминг, Х. Флори, Э. Чейн (1945), М. Тейлер (1951), С. Ваксман (1952), Ф. Робинс, Д. Эндерс, Т. Веллер (1954), Д. Ледерберг (1958), А. Корнберг, С. Очоа (1959), Ф. Бернет, П. Медавар (1960), Ф. Крик, М. Х. Уилкинс, Д. Уотсон (1962), Ф. Жакоб, А. Львов, Ж. Моно (1965), Ф. Раус (1966), М. Ниренберг, Р. Холли, Х. Корана (1968), М. Дельбрюк, А. Херши, С. Лурия (1969), Д. Балтимор, Р. Дульбекко, Х. Темин (1970), Б. Блюмберг, К. Гайдушек (1976), В. Арбер, Д. Натанс, Х. Смит (1978), Ж. Доссе, Б. Бенасерраф, Д. Снелл (1980), Б. Мак-Клинток (1983), Г. Келлер, Ц. Мильштейн, Н. Ерне (1984), С. П. Прузинер (1997).
Российским ученым принадлежит большая заслуга в развитии микробиологии, иммунологии и вирусологии. Рядом с именами И. И. Мечникова, Д. И. Ивановского по праву можно поставить имена и многих других выдающихся ученых. С. Н. Виноградский является основоположником почвенной микробиологии и одним из организаторов Русского микробиологического общества (1903 г.). С 1932 г. и до конца жизни он руководил агробиологическим отделом Пастеровского института в Париже. П. Ф. Боровский (1863 – 1932) и Ф. А. Леш (1840 – 1903) – первооткрыватели патогенных простейших, лейшманий и дизентерийной амебы. И. Г. Савченко установил стрептококковую этиологию скарлатины, первым использовал антитоксическую сыворотку для ее лечения, предложил вакцину против нее, создал Казанскую школу микробиологов в России и вместе с И. И. Мечниковым изучал механизм фагоцитоза и проблемы специфической профилактики холеры. Д. К. Заболотный (1866 – 1929) – крупнейший организатор борьбы с чумой, установил и доказал ее природную очаговость. Он создал первую самостоятельную кафедру бактериологии в Петербургском женском медицинском институте в 1898 г.

С. Н. Виноградский (1856 – 1953)

И. Г. Савченко (1862 – 1932)

В. Д. Тимаков (1904 – 1977)
Большой вклад в развитие общей, технической и сельскохозяйственной микробиологии внесли академики В. Н. Шапошников (1884 – 1968), Н. Д. Иерусалимский (1901 – 1967), Б. Л. Исаченко (1871 – 1947), Н. А. Красильников (1896 – 1973), В. Л. Омелянский (1867 – 1928), С. П. Костычев (1877 – 1931), Е. И. Мишустин (1901 – 1983) и их многочисленные ученики. Медицинская микробиология, вирусология и иммунология во многом обязаны исследованиям таких широко известных отечественных ученых, как Н. Ф. Гамалея (1859 – 1949), П. Ф. Здродовский (1890 – 1976), Л. А. Зильбер (1894 – 1966), В. Д. Тимаков, Е. И. Марциновский (1874 – 1934), В. М. Жданов (1914 – 1987), З. В. Ермольева (1898 – 1979), А. А. Смородинцев (1901 – 1989), М. П. Чумаков (1909 – 1990), П. Н. Кашкин (1902 – 1991), Б. П. Первушин (1895 – 1961) и многих других. Трудами отечественных микробиологов, иммунологов и вирусологов внесен крупный вклад в развитие мировой науки, в теорию и практику здравоохранения.
Преподавание в России микробиологии было начато И. И. Мечниковым и Я. Ю. Бардахом в 1885 г. в Новороссийском университете (Одесса). В 1892 г. Г. Н. Габричевский (1860 – 1907) организовал в Московском университете самостоятельный курс бактериологии, на основе которого затем была создана кафедра.
Глава 2
Микроскопические методы исследования микроорганизмов
Размеры всех объектов, являющихся предметом изучения микробиологии и вирусологии, лежат далеко за пределами разрешающей способности человеческого глаза. Морфология микроорганизма (его форма, размеры, взаиморасположение клеток, поверхностные структуры, внутренняя организация) является чрезвычайно важной его характеристикой и лежит в основе таксономии. Поэтому одним из главных методов исследования в области микробиологии является микроскопия. Основу микроскопических методов исследования составляют световая микроскопия со всеми ее разновидностями (темнопольная, фазово-контрастная, аноптральная, люминесцентная и др.) и электронная микроскопия. Выбор метода определяется целями, стоящими перед исследователем.
В основе световой микроскопии лежат различные свойства света. Современные световые микроскопы представляют собой довольно сложные приборы, совершенствуемые в течение 400 лет с момента создания первого прототипа микроскопа. Современный биологический световой микроскоп состоит из следующих основных элементов: штатива, состоящего из массивного основания (башмака), и тубусодержателя, на котором смонтирована механическая система грубой и тонкой настройки, револьвер с 3 – 4 сменными объективами, предметный столик с конденсором и диафрагмой и под ним светонаправляющее зеркало, концентрирующее естественный или искусственный свет на объект исследования, находящийся на предметном столике. Тубусодержатель микроскопа заканчивается головкой, на которой крепится монокулярный или бинокулярный тубус с окуляром или окулярами. Предметный столик имеет приспособление для крепления предметного стекла с препаратом и механизма для его перемещения.
Иммерсионная световая микроскопия
Важнейшей характеристикой каждого объектива, как и любой оптической системы, является его разрешающая способность. Под разрешающей способностью понимают минимальное расстояние между двумя точками, при котором они еще видны раздельно, т. е. не сливаются в одну. Разрешающая способность объектива ограничивается такими недостатками оптической системы, как сферическая и хроматическая аберрация, дифракция и т. д. Если первые два явления устранимы, то явление дифракции наблюдается в любой оптической системе. Она ограничивает разрешающую способность оптических систем. Разрешающая способность объектива с учетом явлений дифракции описывается следующей формулой:

где А – разрешающая способность; n – показатель преломления среды между препаратом и фронтальной линзой объектива (в случае масляной иммерсии n = 1,51);
α – угол между оптической осью объектива и самым крайним лучом, попадающим в объектив из центра препарата; λ – длина световой волны; 0,61 – коэффициент учета геометрических факторов при вычислении освещенности первого дифракционного максимума от круглого отверстия.
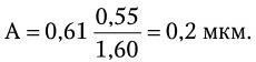
Величина n · sin α постоянна для каждого объектива и называется числовой, или нумерической, апертурой. Она выгравирована на оправе объектива. В монобромнафталиновых иммерсионных объективах нумерическая апертура может варьировать в пределах от 1,25 до 1,60. При наличии воздуха между фронтальной линзой и покровным стеклом нумерическая апертура не превышает 0,95 (сухие объективы). Из приведенной выше формулы видно, что разрешающая способность объектива прямо пропорциональна его числовой апертуре и обратно пропорциональна длине волны света, используемого для микроскопии. При микроскопии в видимом свете с длиной волны 0,55 мкм (550 нм) и иммерсионным объективом с нумерической максимальной апертурой 1,60 разрешающая способность равна:

Таким образом, даже в идеальном световом микроскопе нельзя увидеть объекты размером менее 0,2 мкм.
Величина угла, при котором глаз способен различать раздельно две точки, называется углом резкого зрения. Для получения на сетчатке четкого раздельного изображения двух точек световые лучи должны попасть в глаз под углом зрения, который стягивает дугу от 2 до 4 минут.
Изображение структур, разрешенных объективом, может быть увеличено окуляром лишь настолько, чтобы было различимо под углом, стягивающим дугу величиной от 2 до 4 минут. Это полезное увеличение микроскопа. Полезное увеличение микроскопа не может превышать числовую апертуру более чем в 1000 раз. Поэтому максимальное полезное увеличение для микроскопов, имеющих иммерсионные объективы с апертурой 1,4 – 1,6, составляет 1400 – 1600. Применение в таких микроскопах более сильных окуляров не выявляет никаких дополнительных деталей в разрешаемой объективом структуре препарата.
Фазово-контрастная микроскопия
Обыкновенные окрашенные препараты поглощают часть проходящего через них света, в результате чего амплитуда световых волн снижается, и частицы препарата выглядят темнее фона. При прохождении света через неокрашенный препарат амплитуда световых волн не меняется, происходит лишь изменение фазы световых волн, прошедших через частицы препарата. Однако человеческий глаз улавливать это изменение фазы света не способен, поэтому неокрашенный препарат при правильной установке освещения в микроскопе будет невидим.
Фазово-контрастное устройство позволяет превратить изменение фазы лучей, прошедших через частицы неокрашенного препарата, в изменения амплитуды, воспринимаемые человеческим глазом, и, таким образом, позволяет сделать неокрашенные препараты отчетливо видимыми.
Приспособление для фазово-контрастной микроскопии включает в себя конденсор с набором кольцевых диафрагм, обеспечивающих освещение препарата полным конусом света, и фазово-контрастные объективы, которые отличаются от обычных тем, что в их главном фокусе располагается полупрозрачная фазовая пластинка в виде кольца, вызывающая сдвиг фазы проходящего через нее света. Установку освещения проводят так, чтобы весь свет, прошедший через кольцевидную диафрагму конденсора, в дальнейшем прошел через расположенное в объективе фазовое кольцо.





