Mit Arduino die elektronische Welt entdecken

- -
- 100%
- +
Troubleshooting
Fehler schleichen sich schnell ein, auch wenn du glaubst, dich genau an meine Texte und Abbildungen zu halten. Aus eigener Erfahrung weiß ich, dass die Suche nach Fehlern in einem Programm oder einer Schaltung oft das Zeitaufwendigste überhaupt ist. Deshalb gebe ich dir auch immer in jedem Bastelprojekt Hinweise auf mögliche Fehlerquellen. Sollte dein Bastelprojekt also zunächst nicht das tun, was du von ihm erwartest, dann geh die Punkte durch, die ich an dieser Stelle immer aufliste.
Falls die LED nicht leuchtet, kann es mehrere Gründe dafür geben.
Eine mögliche Verpolung?
Erinnere dich noch einmal an die beiden unterschiedlichen Anschlüsse einer LED mit der Anode und Kathode.

Defekte LED?
Die LED ist vielleicht defekt und durch Überspannung aus vergangenen Bastelprojekten durchgebrannt. Teste sie mit einem Widerstand an einer 5V-Spannungsquelle.
Verkabelung fehlerhaft?
Kontrolliere noch einmal die Steckleistenbuchsen, die mit der LED und dem Widerstand verbunden sind. Sind es wirklich GND und Pin 13?
Sketch fehlerhaft?
Überprüfe noch einmal den Sketch, den du in den Editor der IDE eingegeben hast. Hast du möglicherweise eine Zeile vergessen oder falsch geschrieben und ist der Sketch wirklich korrekt übertragen worden? Hast du die geschweiften Klammerpaare zu Beginn und Ende der setup- und loop-Funktion gesetzt? Hast du auch immer das Semikolon am Ende einer Befehlszeile gesetzt? Das ist übrigens der häufigste Einsteigerfehler.
Wenn die auf dem Board befindliche LED blinkt, sollte die eingesteckte LED ebenfalls blinken, da dann der Sketch korrekt arbeitet.
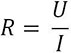
Grundlagen zur Berechnung des Widerstandes

Ich habe in unserem Blink-Bastelprojekt einfach einen Widerstand von 220Ω verwendet, der für solche Schaltungen vollkommen ausreichend ist. Dennoch kommt sicherlich die Frage auf, warum das so ist und was dabei beachtet werden sollte. Die folgende Schaltung zeigt uns eine Leuchtdiode mit einem Widerstand, die an eine Spannungsquelle angeschlossen wurde.

Abb. 5: Eine LED mit Widerstand
Zusätzlich habe ich noch ein paar Pfeile für Spannungswerte sowie den Gesamtstrom eingezeichnet. Um den Wert eines Widerstandes zu ermitteln, greifen wir auf das sogenannte Ohmsche Gesetz zurück. Das Ohmsche Gesetz beschreibt die Zusammenhänge zwischen Spannung, Strom und dem Widerstand. Legen wir an einem Bauteil eine Spannung U an, dann verändert sich der hindurchfließende Strom I proportional zur Spannung. Der Quotient zwischen den beiden Größen, also Spannung und Strom, ist konstant und definiert den elektrischen Widerstand R. Wir können folgende Formel aufschreiben:

Bringe ich die Formelbuchstaben jetzt in die richtige Reihenfolge, so ergibt sich zum Bestimmen des elektrischen Widerstandes die folgende kurze Formel:

Doch ein wichtiger Aspekt scheint noch nicht angesprochen zu sein. Was ist überhaupt ein Widerstand? Die Elektronen, die sich durch einen Leiter bewegen, haben es mehr oder weniger leicht, ihn zu durchqueren und müssen sich gegen einen bestimmten vorherrschenden Widerstand zur Wehr setzen. Es gibt unterschiedliche Kategorien, die Aufschluss über die Leitfähigkeit eines Stoffes geben.
Isolatoren (sehr hoher Widerstand, zum Beispiel Keramik)
Schlechte Leiter (hoher Widerstand, zum Beispiel Glas)
Gute Leiter (geringer Widerstand, zum Beispiel Kupfer)
Sehr gute Leiter (Supraleitung bei sehr niedrigen Temperaturen, bei der der elektrische Widerstand auf 0 sinkt)
Halbleiter (Widerstand kann gesteuert werden, zum Beispiel Silizium oder Germanium)
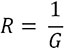
Damit habe ich schon zwei entscheidende elektrische Größen ins Spiel gebracht, die in einem gewissen Zusammenhang zueinander stehen: den Widerstand R und die Leitfähigkeit G. Je höher der Widerstand, desto geringer der Leitwert und je geringer der Widerstand, desto höher der Leitwert. Folgender Zusammenhang besteht:

Der Widerstand ist der Kehrwert des Leitwertes. Ein erhöhter Widerstand ist mit einem Engpass vergleichbar, den die Elektronen überwinden müssen. Es bedeutet, dass der Stromfluss gebremst und im Endeffekt geringer wird. Stell dir vor, du läufst über eine ebene Fläche. Das Gehen bereitet dir keine großen Schwierigkeiten. Jetzt versuch, bei gleichem Kraftaufwand durch hohen Sand zu gehen. Das ist recht mühsam. Du gibst Energie in Form von Wärme ab und deine Geschwindigkeit sinkt. Ähnlichen Schwierigkeiten sehen sich die Elektronen gegenüber, wenn sie statt durch Kupfer plötzlich zum Beispiel durch Glas müssen.
Dieser zu überwindende Widerstand hat natürlich Auswirkungen. Aufgrund der verstärkten Reibung der Elektronen, beispielsweise an der Außenwand oder untereinander, entsteht Reibungsenergie in Form von Wärme, die der Widerstand nach außen abgibt.
In den meisten elektronischen Schaltungen werden spezielle Bauteile verwendet, die den Stromfluss künstlich verringern, wobei der Widerstandswert R in Ohm (Ω) angegeben wird. Es handelt sich dabei um extra angefertigte Widerstände (zum Beispiel Kohleschicht- oder Metallschichtwiderstände) mit unterschiedlichen Werten, die mit einer Farbcodierung versehen werden, die auf ihren jeweiligen Widerstandswert schließen lässt. Wir kommen gleich näher darauf zu sprechen.

Abb. 6: Ein Widerstand, der den Elektronenfluss bremst
Wenn du dir Abbildung 6 mit dem Elektronenfluss ansiehst, dann könnte man zu dem Schluss kommen, dass die Elektronen auf der linken Seite eine höhere Geschwindigkeit haben als die auf der rechten Seite. Doch dem ist nicht so. Der Strom in einem geschlossenen Kreis ist immer gleich! Er wird natürlich durch den hier gezeigten Widerstand entscheidend beeinflusst, doch im Endeffekt ist der Stromfluss vor und hinter einem Widerstand immer gleich. An jeder Stelle passiert pro Zeiteinheit immer dieselbe Anzahl von Elektronen den Leiter beziehungsweise den Widerstand.
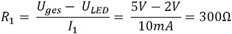
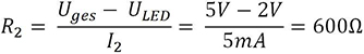
Kommen wir zurück zu unserer Schaltung, um den Widerstand zu berechnen. Wir müssen uns überlegen, wie die Werte von Spannung und Strom ermittelt werden. Das ist nicht weiter schwer. An Widerstand und LED (zwischen den Punkten A und C in Abbildung 5) liegen +5V an, denn das ist die Betriebsspannung des Arduino und sie liegt am Ausgang des jeweiligen digitalen Pins an, wenn er mit einem HIGH-Pegel angesteuert wird. An der LED, also zwischen den Punkten B und C fallen in der Regel 2V ab, was aber an der LED und deren Farbe liegt. Die Spannung am Widerstand zwischen den Punkten A und B ist demnach die Differenz von 5V und 2V, ergibt also 3V
Nun fehlt uns noch der Strom, der durch den Widerstand fließt. Wenn wir Bauteile hintereinander in einem einzigen Strompfad schalten, sprechen wir von einer Reihenschaltung, was hier offensichtlich der Fall ist. In einer Reihenschaltung ist der Strom durch alle Bauteile gleich. Ein Blick in das Datenblatt des Arduino teilt uns mit, dass der maximale Strom, den ein digitaler Pin liefern kann und darf, 40mA beträgt. Dieser Wert darf nicht überschritten werden, weil der Mikrocontroller ansonsten Schaden nimmt. Aus diesem Grund begrenzen wir den Strom mit dem eingezeichneten Widerstand Rv. Nun sollte man in der Elektronik nicht unbedingt am Limit arbeiten, sondern immer etwas unterhalb des angegebenen Grenzwertes. Zur Berechnung des Widerstandes werde ich deswegen zwei unterschiedliche Stromwerte von 5mA und 10mA zur Verdeutlichung verwenden, wobei Werte zwischen 5mA und 30mA für eine LED ausreichend sind. Sehen wir uns die entsprechenden Berechnungen und die daraus resultierenden Ergebnisse einmal an:

und

Für einen passenden Widerstandswert können wir uns also Werte im Bereich zwischen 300Ω und 600Ω aussuchen. Der Ausgang des jeweiligen Arduino-Pins wird nur moderat belastet. Ein Wert von 330Ω ist für unsere Belange vollkommen ausreichend. Widerstände werden übrigens nicht in allen nur erdenklichen Größen hergestellt, sondern in unterschiedlichen E-Reihen mit bestimmten Abstufungen angeboten. Zudem sollte auf die maximale Verlustleistung geachtet werden, wobei ein Wert von ¼ Watt ok ist. Passende Sortimente sind im Handel erhältlich.
Auf der folgenden Abbildung sehen wir einen Widerstand und erkennen die unterschiedlichen Farbringe. Diese Farbringe stellen eine Farbcodierung dar.

Was haben sie zu bedeuten und wie ist der Code zu entziffern? Sehen wir uns das anhand der folgenden Grafik genauer an:

Ein Widerstand besitzt in der Regel vier Farbringe. Man hat sich für diese Form der Beschriftung entschieden, da für den Aufdruck von Zahlenwerten einfach zu wenig Platz vorhanden ist. Um die Farbringe zu dekodieren, muss der Widerstand so positioniert werden, dass die drei Ringe, die am dichtesten beieinander liegen, sich auf der linken Seite befinden. Mit welchem Widerstandswert haben wir es denn hier zu tun?
1. Ring 2. Ring 3. Ring 4. Ring Widerstandswert Gelb: Wert 4 Violett: Wert 7 Rot: Wert 100 Gold: +/- 5% 4,7KΩWenn wir uns die ermittelten Werte hintereinander aufschreiben, ist das Ergebnis leicht abzulesen: 4700 entsprechen 4,7KΩ. Der Toleranzwert gibt Aufschluss über die Güte: Je kleiner er ist, desto genauer hält sich der Widerstandswert an seine Vorgaben. Wie bin ich aber zu diesen Werten gekommen? Ganz einfach! In der folgenden Tabelle finden wir die unterschiedlichen Farben mit den entsprechenden Werten zur Berechnung eines Widerstandswertes:
Tabelle 3: Farbcodierung der Widerstände Farbe 1. Ring 2. Ring 3. Ring 4. Ring











Die Schaltzeichen, also die Symbole, die in den Schaltplänen verwendet werden, sehen wie folgt aus, wobei sich Unterschiede zwischen der deutschen DIN- und der amerikanischen ANSI-Norm ergeben:

Abb. 7: Die Schaltzeichen eines Widerstandes
Auf das Ohm-Zeichen (Ω) wird bei der Darstellung in der Regel verzichtet, wobei bei Werten, die kleiner als 1Kilo-Ohm (1000Ohm) sind, lediglich die nackte Zahl genannt wird und bei Werten ab 1KΩ ein K für Kilo bzw. ab 1MΩ ein M für Mega angehängt wird. Hier ein paar Beispiele:
Tabelle 4: Ein paar markante Widerstandswerte Wert Kennzeichnung 220Ω 220 1000Ω 1K 4700Ω 4,7K oder 4K7 2,2MΩ 2,2MDie maximale Verlustleistung der Widerstände, die wir für unsere Arduino-Projekte benötigen, beträgt 1/4-Watt. Es handelt sich in allen Fällen um Kohleschichtwiderstände. Sie sind auch billiger als die Kollegen aus der Metallfilmabteilung. Widerstände gibt es in allen möglichen Größen und Farben und je größer beziehungsweise dicker sie sind, desto größer ist auch die Verlustleistung.
So, das war dein erstes Projekt, das du mit dem Arduino gemacht hast! Du hast eine LED und einen passenden Widerstand an das Arduino-Board angeschlossen und hast über den Sketch die LED in einem von dir bestimmten Rhythmus blinken lassen. Wenn du die LED erfolgreich zum Blinken gebracht hast, kannst du bereits stolz auf dich sein! Wenn du es dir zutraust, dann wage dich auch noch an folgendes Thema heran. Das Thema PWM wird dir immer wieder in deiner Bastlerkarriere begegnen. Wenn du es jetzt nicht auf Anhieb verstehst, beschäftige dich später erneut mit diesem Thema.
Die PWM-Ansteuerung

Kommen wir zur Ansteuerung einer LED über PWM. Was das ist, habe ich kurz in Kapitel 1 erwähnt. Nun ist es an der Zeit, es in die Tat umzusetzen. Wir wollen eine LED über eine analoge Ansteuerung langsam aufblenden und sie beim Erreichen des Maximalwertes schlagartig verlöschen lassen, bevor das Spiel von vorne beginnt. Dabei handelt es sich quasi um ein sanftes Blinken im Gegensatz zum abrupten Blinken in der vorherigen Schaltung. Die Ansteuerung erfolgt dabei über die digitalen Pins, die eine Tilde vor der Nummerierung besitzen. Das sind die Pins D3, D5, D6, D9, D10 und D11. Für unser Beispiel habe ich Pin 3 verwendet. Der Sketch-Code sieht folgendermaßen aus:
int ledPin = 3; // Variable mit Pin 3 deklarieren + initialisieren int pwmValue = 0; // Variable für PWM deklarieren + initialisieren void setup() { /* Kein Code erforderlich */ } void loop() { analogWrite(ledPin, pwmValue++); // LED mit PWM-Wert ansteuern delay(10); // Kurze Pause if(pwmValue > 255) pwmValue = 0; // Wenn PWM-Wert > 255 -> // auf 0 setzen }
Den Code verstehen
Zu Beginn deklarieren und initialisieren wir zwei globale Variablen, die die Namen ledPin und pwmValue aufweisen und vom ganzzahligen Datentyp int (int = Integer) sind. Sehen wir uns den Befehl analogWrite genauer an.

Er nimmt zwei Argumente auf, wobei das erste den Pin bestimmt und das zweite den PWM-Wert, der sich im Bereich von 0 bis 255 bewegen darf. Über
pwmValue++
wird die Variable pwmValue nach der Verwendung über die beiden nachfolgenden Pluszeichen um den Wert 1 erhöht. Dieser Vorgang wird in der Programmierung Inkrementieren genannt. Konventionell würde man das gleiche Verhalten mit der folgenden zusätzlichen Codezeile erreichen:
pwmValue = pwmValue + 1;
Würden wir das Inkrementieren der Variablen pwmValue ohne nachfolgende Überwachung in der loop-Endlosschleife laufen lassen, wäre irgendwann ein unzulässiger Wert größer 255 erreicht. Um das zu verhindern, erfolgt über die if-Anweisung eine Abfrage auf Werte größer 255. Wird diese Bewertung positiv beantwortet, erfolgt die Ausführung des nachfolgenden Befehls:
pwmValue = 0;
Darüber erfolgt eine Rücksetzung auf den Anfangswert 0, was zur Folge hat, dass die LED beim nächsten Aufruf des analogWrite-Befehls erlischt. Ändern wir doch den Code derart ab, dass die LED nicht schlagartig erlischt, sondern langsam abblendet.
Wichtig!

Für die PWM-Ansteuerung eines digitalen Pins mit dem analogWrite-Befehl ist keine vorherige Programmierung über den pinMode-Befehl erforderlich, um diesen als Ausgang festzulegen. Wir sehen, dass die setup-Funktion keinen derartigen Befehl enthält und komplett frei von Code ist.
Weitere Informationen zu PWM sind unter der folgenden Adresse zu finden:

http://www.arduino.cc/en/Tutorial/PWM
https://www.arduino.cc/en/Reference/AnalogWrite
Gut zu wissen
Wir haben gesehen, wie man mit ein paar Codezeilen eine LED blinken lässt. Es geht jedoch noch ein wenig kürzer:
int ledPin = 13; // Variable mit Pin 13 deklarieren + initialisieren void setup() { pinMode(ledPin, OUTPUT); // Digitaler Pin 13 als Ausgang } void loop() { digitalWrite(ledPin, !digitalRead(ledPin)); // Toggeln der LED delay(1000); // Eine Sekunde warten }
Die entscheidende Zeile lautet:
digitalWrite(ledPin, !digitalRead(ledPin));
Wir nutzen an dieser Stelle zwei neue Konstrukte. Da ist zum einen der Befehl zum Ermitteln des Status eines digitalen Pins über digitalRead.

Außerdem nutzen wir den sogenannten NOT-Operator mithilfe des Ausrufezeichens (!), der dazu verwendet wird, ein Ergebnis in das Gegenteil zu verkehren. In der Programmiersprache C/C++ existiert kein eigener Datentyp für logische Werte wie wahr oder falsch und deshalb wird ein Wert vom Datentyp int verwendet. Wir haben in der Tabelle 2 über die Konstanten gesehen, dass ein LOW-Pegel den Wert 0 und ein HIGH-Pegel den Wert 1 besitzt. Über den NOT-Operator wird zwischen beiden hin- und hergewechselt, was auch Toggeln genannt wird. Hinweise zu booleschen Operatoren sind unter dem folgenden Link zu finden:

https://www.arduino.cc/en/Reference/Boolean
Wenn du weiter in die Thematik der Widerstände eintauchen möchtest, dann rate ich dir einen Blick in mein Buch Elektronik verstehen durch spannende Experimente – Analog- und Digitaltechnik, ISBN 978-3-946496-23-6. Dort werden unter anderem Reihenschaltungen, Parallelschaltungen und Gemischtschaltungen von Widerständen angesprochen und detailliert erklärt.
Was haben wir gelernt?
Du hast die korrekte Deklaration und die korrekte Initialisierung einer globalen Variable kennen gelernt.
Es wurde die grundlegende Sketch-Struktur vermittelt.
Die Datenübertragungsrichtung eines einzelnen Pins hast du mit dem Befehl pinMode auf OUTPUT gesetzt, so dass du ein digitales Signal (HIGH bzw. LOW) über den Befehl digitalWrite zum Ausgang schicken konntest, an der die LED angeklemmt war.



