- -
- 100%
- +

Все просто, когда знаешь как. Чингисхан
Рак… Это заболевание пугает тех, кому поставлен этот диагноз. Он звучит угрожающе, как приговор, хотя в настоящее время некоторые формы рака уже успешно лечатся, но все еще это заболевание остается до конца не изученным. Поэтому появляются вопросы: почему одних эта болезнь выбирает, а других обходит стороной? что является ахиллесовой пятой в организме человека для развития этого недуга?..
Говорят, когда знаешь причину того или иного действия, то уже наполовину одержана победа.
Если будет раскрыта этиология этой болезни, то на 50 % мы уже победили. Остается найти еще 50 % до полной победы, то есть разработать новые, успешные методы лечения, найти простые безболезненные способы диагностики, освоить профилактические мероприятия по борьбе с раком и другими злокачественными новообразованиями.
Известно несколько гипотез развития этого заболевания, и все они сводятся к непонятным изменениям, происходящими в ДНК – дезоксирибонуклеиновой кислоте, в результате чего эта молекула из нормально функционирующей начинает, как сумасшедшая, безудержно удваиваться, и, соответственно, увеличивается количество модифицированных клеток. В итоге образуется опухоль.
Эти научно разработанные гипотезы объединяет скрытая, невидимая нить – изменения в ДНК. Но какие?..
Самый лучший научно-исследовательский институт – сама природа! Она находит разумные, простые пути для решения своих задач. Природа мудра, экономична и осмысливает свои шаги, поэтому знает, как должно быть.
Таково и строение ДНК – носительницы жизни.
Структура молекулы ДНК хорошо известна, и в этом заслуга Френсиса Крика (1916—2004) и Джеймса Дьюи Уотсона (род. в 1928), которые опубликовали 25 апреля 1953 года в журнале Nature статью о пространственной структуре ДНК.
В-форма ДНК в основном встречается в живой клетке, и ее структура такова.
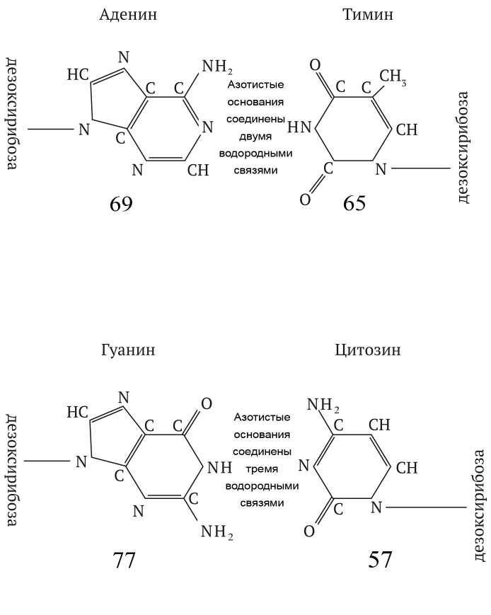
Две полинуклеотидные антипараллельные цепи закручены относительно своей оси. На периферии молекулы находятся углевод-фосфатные цепи, внутри азотсодержащие гетероциклы. В состав ДНК входят четыре азотистых основания: пуриновые – аденин и гуанин, пиримидиновые – тимин и цитозин. Но есть исключения, например, у некоторых вирусов встречается еще одно производное пиримидина – урацил. Азотистые основания одной параллельной цепи соединяются с определенным основанием другой, следуя правилу Чаргаффа: аденин соединяется с тимином, гуанин с цитозином. Такое расположение называется комплементарным. Спаривание азотистых оснований осуществляется с помощью водородных связей.
Схема расположения комплементарных азотистых оснований в ДНК

В этой молекуле есть еще одна закономерность, которая до настоящего времени оставалась неизвестной.
На схеме можно увидеть какие-то цифры. Эти числа показывают сумму электронов каждого азотистого основания, входящего в ДНК. В аденине общее количество электронов – 69, в тимине – 65, в другой паре гуанин содержит 77 электронов, цитозин – 57.
После сложения, в соответствии с расположением азотистых оснований в комплементарных парах, получим следующие результаты:
аденин + тимин = 69 + 65 = 134
гуанин + цитозин = 77 + 57 = 134
Суммарное количество электронов в комплементарных плоскостях ДНК равно 134.
Числа имеют законы правдивые. Они не уносят в придуманные идеи, гипотезы. Цифры все расставляют по своим местам.
Вывод:
Следуя закону Кулона, между комплементарными парами азотистых оснований в молекуле ДНК действуют равные электростатические силы отталкивания.
"Число 134" дает молекуле устойчивость, равномерно закручивая ДНК вдоль своей оси, для сброса электростатических сил отталкивания:
F’ = F”… =Fⁿ
При метилировании цитозина к цитозину добавляется метильная группа (—CH₃) от акцептора S-аденозилметионина, этот процесс катализируется метилтрансферазой, количество электронов увеличивается, ДНК сильнее скручивается в результате действия электростатических сил (F).
Конец ознакомительного фрагмента.
Текст предоставлен ООО «Литрес».
Прочитайте эту книгу целиком, купив полную легальную версию на Литрес.
Безопасно оплатить книгу можно банковской картой Visa, MasterCard, Maestro, со счета мобильного телефона, с платежного терминала, в салоне МТС или Связной, через PayPal, WebMoney, Яндекс.Деньги, QIWI Кошелек, бонусными картами или другим удобным Вам способом.








