Маркетинг от потребителя

- -
- 100%
- +
Удовлетворенность клиентов напрямую влияет на уровень их удержания. А более высокие уровни удержания позволяют увеличить прибыль – причем не только в текущем году, но и за весь срок отношений. Приобрести нового клиента намного дороже, чем удержать имеющегося. Повышение уровня сохранения клиентов с 67 до 75 % способно увеличить срок отношений с клиентом с 3 до 4 лет. Иными словами, компания получает еще один год продаж и прибыли, а также может сэкономить, поскольку ей не нужно тратить деньги на поиск нового клиента. Кроме того, чем дольше срок взаимоотношений клиентов с компанией, тем больше шансов, что они захотят купить что-то еще.
Конечная цель любого клиентоориентированного бизнеса – обеспечить высокий уровень потребительской лояльности. Лояльный клиент имеет долгую историю отношений с компанией, тратит больше среднего, имеет сильное желание совершить повторную покупку, а также высокую степень предпочтения продукта. Он рекомендует компанию другим. Лояльные клиенты прибыльны, а их ценность за срок взаимоотношений с компанией намного выше средней. Постоянные клиенты могут также обладать высокой ценностью и долгой историей, но они гораздо менее привержены продукту и менее охотно рекомендуют его. Однако они очень важны для прибыльности компании, и отношения с ними должны быть направлены на их удержание, а в идеале и повышение их лояльности.
Многие компании имеют клиентов-«пленников», даже не зная об этом. Те долго взаимодействуют с компанией, приносят среднюю или даже высокую ценность, но недовольны и уходят к конкурентам, как только появляется возможность. Несложно догадаться, что они делятся своим разочарованием с другими и даже могут советовать им воздержаться от покупки продукта, которым пользуются сами.
К новым клиентам могут относиться как те, кто прежде не имел дел с компанией, так и те, кто по каким-то причинам ранее отказался от ее продуктов. Клиентоориентированная компания хорошо представляет себе историю и особенности поведения возвращающихся потребителей и соответственно выстраивает отношения с ними (совсем не так, как с новыми). Оба типа таких клиентов дают компании возможность повысить уровень их лояльности и прибыльность отношений с ними, причем и в краткосрочной, и в долгосрочной перспективе.
А некоторые клиенты неприбыльны. Компания не может предложить им то, что им нужно, а они не готовы платить ей столько, сколько она хочет. Затраты на приобретение таких клиентов были очень высокими, но маловероятно, что они принесут прибыль. Еще одна группа неприбыльных клиентов охотится за выгодными сделками. Они никогда не бывают лояльными, а переключаются с одного продукта на другой, обычно руководствуясь снижением цены или промоакциями. Цель клиентоориентированной компании – разобраться во всех уровнях потребительской лояльности и разработать подходящие маркетинговые программы для каждого типа клиентов, чтобы лучше управлять общей прибыльностью своего бизнеса.
СТРАТЕГИЧЕСКОЕ МЫШЛЕНИЕ НА ОСНОВЕ РЫНОЧНОЙ ЛОГИКИ1. Как компания вроде Enterprise Rent-A-Car сосредоточивается на клиентах, используя методы, описанные в главе 1?
2. Как высокая степень сфокусированности на клиентах и высокие уровни их удовлетворенности помогают компании Southwest Airlines быть более прибыльной, чем другие авиакомпании?
3. Почему полностью удовлетворенный пользователь Apple может быть более прибыльным, чем отчасти удовлетворенный?
4. Как компании с высокими уровнями удовлетворенности клиентов добиваются более высоких результатов с точки зрения цен на акции, чем средние компании из списка S&P 500?
5. Компания Lexus известна высоким уровнем удовлетворенности клиентов. Как это повлияет со временем на уровень их удержания?
6. Если бы у Lexus средний уровень удержания клиентов составлял 80 %, сколько покупок мог бы совершить средний клиент за весь период взаимоотношений с компанией?
7. Если прибыль новой кофейной компании оказалась выше среднего в первые 2 года работы, но намерение совершить повторную покупку (см. рис. 1.8) стабильно снижается, а показатель удержания клиентов падает с 67 до 50 %, как все эти события повлияют на будущую прибыль?
8. Как влияет на прибыль увеличение срока взаимодействия клиента с онлайновым магазином модной одежды с 4 до 5 лет?
9. Что делает клиентов Apple лояльными и почему лояльные клиенты более прибыльны, чем все остальные?
10. Как часто пользующийся услугами авиакомпании клиент превращается в «пленника»? Какую роль с точки зрения прибыли в настоящем и будущем играют такие потребители?
11. Как вы рекомендовали бы управлять отношениями с постоянным клиентом McDonald’s, сумма покупки которого всегда меньше средней?
12. Какие факторы могут заставить компанию привлекать неприбыльных клиентов?
13. В каких случаях постоянный клиент с коротким сроком отношений с компанией будет более ценным, чем постоянный клиент с длительным сроком?
14. В чем разница в выстраивании отношений с новым и вернувшимся клиентом?
15. При каких условиях вернувшийся клиент компании, поставляющей промышленное оборудование, может иметь более высокую ценность за весь срок взаимоотношений, чем совершенно новый?
Маркетинговые инструменты и упражнения по их применениюЧетыре интерактивных инструмента оценки маркетинговой деятельности и практические упражнения, приведенные в этом разделе, помогут вам лучше понять, как взаимодействие с клиентами влияет на прибыльность компании. Зайдите на сайт www.MBM-BEST.com. Вводя нужные данные, вы сможете найти ответы на множество заданных в книге вопросов. Вы также можете ввести иные данные и изучить результаты, после чего сохранить свою работу. Каждый из инструментов соответствует рисунку из главы 1, номер которого указан в скобках.
1.1. Удовлетворенность клиентов и прибыльность (рис. 1.6)
A. Как изменятся средние значения объема продаж и прибыль в расчете на клиента для компании, имеющей 10 % «полностью удовлетворенных» клиентов, 35 % «удовлетворенных» и 55 % «частично удовлетворенных»?
B. Как изменятся средние значения объема продаж и прибыль в расчете на клиента, если компании удастся повысить уровень удовлетворенности клиентов до 35 % «полностью удовлетворенных», 35 % «удовлетворенных» и 30 % «частично удовлетворенных»?
1.2. Удержание и сохранение клиентов (рис. 1.7)
A. Как изменится уровень удержания клиентов, если доля всех неудовлетворенных снизится до 15 %, а всех удовлетворенных – вырастет до 85 %?
B. Используя те же начальные данные, рассчитайте, как изменится показатель удержания клиентов, если доля жалующихся повысится с 10 до 50 %.
1.3. Ценность за весь срок взаимодействия клиента с компанией (рис. 1.13)
A. Как изменится ценность за весь срок взаимодействия клиента с компанией, если этот срок снизится с 5 до 4 лет?
B. Как изменится ценность за весь срок взаимодействия, если этот срок увеличится с 5 до 6 лет, а чистый денежный поток в год 6 составит 60 долл.?
1.4. Потребительская лояльность и прибыльность (рис. 1.14)
A. Как изменится средняя прибыльность в расчете на клиента в случае 25 % лояльных и 25 % постоянных клиентов?
B. Как изменится средняя прибыльность в расчете на клиента при иных показателях: 30 % лояльных, 35 % постоянных, 5 % «пленников», 20 % новых и 10 % неприбыльных?
Приложение 1.1. Таблица текущей стоимости

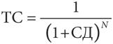
Формула расчета текущей стоимости:

где ТС – текущая стоимость 1 долл.,
N – число периодов времени до получения 1 долл.,
СД – ставка дисконтирования (стоимость заимствования или желаемая ставка доходности).
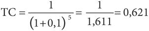
Пример I: N = 5 периодов, СД = 10 %

(стоимость 1 долл., полученного через 5 лет, сегодня равна 0,621 долл.).
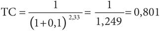
Пример II: N = 2,33 периода, СД = 10 %

(стоимость 1 долл., полученного через 2,33 года, сегодня равна 0,801 долл.)
Примечания к главе 1
Глава 2. Маркетинговые показатели и прибыльность маркетинга
Недоверие к маркетингу вызвано во многом отсутствием финансовых показателей, позволяющих оценить его ценность для компании1.
Маркетинговые показатели измеряют результаты маркетинговой деятельности. Маркетинговая аналитика – набор инструментов и данных, использующихся для создания показателей. Для измерения удовлетворенности клиентов в главе 1 мы использовали систему маркетинговой аналитики. Совокупный индекс потребительской удовлетворенности – маркетинговый показатель, как и доля удовлетворенных клиентов.
Как показано на схеме, маркетинговые показатели и прибыльность маркетинга связаны с прибыльностью отдельных подразделений и компании в целом. Маркетерам и менеджерам по продукту важно демонстрировать свой вклад в общую прибыль компании. И в этом им помогают показатели маркетинговой прибыльности. Их важнейшая черта – прямая связь с прибыльностью бизнеса.

Изменение результативности
BioTronics, компания с объемом продаж 390 млн долл., производит специализированное электронное оборудование для биотехнологической отрасли. Несколько лет назад после долгого спада компанию возглавила новая команда. Она реорганизовала деятельность и разработала программы по уменьшению себестоимости единицы продукции, регулированию накладных расходов и усовершенствованию управления активами. Кроме того, новая группа руководителей организовала общую программу обучения продажам, которая позволила торговому персоналу повысить эффективность продаж с 5 до 7,5 млн долл. на одного продавца.
Результаты оказались сенсационными. За 3 года новый состав руководителей почти удвоил объем продаж и более чем втрое увеличил чистую прибыль до налогообложения. Как видно в табл. 2.1, рентабельность продаж BioTronics выросла с 6,3 до 14,1 %, а рентабельность активов увеличилась с 5,7 до 14,8 %.
Таблица 2.1. Финансовые результаты компании BioTronics

• Как бы вы оценили эффективность BioTronics за прошедшие 5 лет?
• Какие аспекты деятельности BioTronics самые впечатляющие?
• Должна ли BioTronics и дальше следовать данной стратегии?
Большинство сразу решили, что деятельность BioTronics за последние 3 года была превосходной. Кому бы не понравилось заниматься бизнесом с таким уровнем прибыльного роста? Но не стоит так позитивно оценивать деятельность BioTronics: радужное заключение сделано на основе только финансовых показателей. Выручка, чистая прибыль, рентабельность продаж, доля стоимости активов в объеме продаж и рентабельность активов – превосходные показатели внутренней финансовой деятельности. Но они не дают внешнего, или рыночного, представления об эффективности компании. Мы не знаем, как на ней сказались рост рынка, конкурентоспособные цены, качество продуктов, услуги конкурентов, а также степень удовлетворенности и удержания клиентов. Следовательно, дальнейшее использование той же стратегии, возможно, будет, а возможно, и не будет наилучшим вариантом для обеспечения роста прибыли.
На самом деле, несмотря на примечательный (на первый взгляд) рост, BioTronics могла бы заработать (но не заработала) еще 41 млн долл. прибыли за 3 года; можно смело сказать, что компания и ее акционеры потеряли эти деньги. Этот вывод становится очевидным, как только мы начинаем рассчитывать показатели маркетинговой деятельности компании. Если бы BioTronics использовала их для улучшения своего стратегического мышления, а не полагалась только на финансовые показатели, то она намного быстрее поняла бы, что теряет свою долю на быстрорастущем рынке.
Применение маркетинговых показателей
Помимо внутренних показателей финансовой эффективности, компании нужен набор внешних показателей для оценки деятельности в условиях рынка2. И хотя этим показателям может недоставать элегантности, связанной с финансовым учетом, они создают другое, более стратегическое представление об эффективности бизнеса.
В таблице 2.2 представлены показатели, которые создают совершенно иную картину функционирования BioTronics, чем финансовые показатели в табл. 2.1. Можно сделать три важных вывода3. Во-первых, рост продаж BioTronics был впечатляющим, но менее интенсивным, чем темпы быстрорастущего биотехнологического рынка, как показано на рис. 2.1. В этот период BioTronics теряла долю рынка. В целом она упала с 10 до 8,5 %. И это осталось незамеченным: BioTronics не отслеживала состояние внешних показателей, таких как уровень спроса, темпы роста рынка и доля рынка4.

Рис. 2.1. Рыночные показатели как возможность посмотреть на деятельность компании со стороны
Таблица 2.2. Маркетинговые показатели BioTronics

Во-вторых, результаты, связанные с продуктами и сервисом, ухудшались в сравнении с конкурентами. Это не обязательно значит, что качество продуктов BioTronics ухудшилось. Конкуренты просто вырвались вперед и смогли предоставить продукты более высокого уровня. Их быстрый прогресс привел к тому, что BioTronics утратила свои позиции относительно конкурентов, потеряв потребительскую ценность.
В-третьих, снизился уровень удовлетворенности клиентов (возможно, из-за ухудшения качества продуктов), что привело к снижению показателя удержания и сохранения, а также пожизненной ценности клиента.
Теперь у нас, кроме благоприятной картины, которую рисовали финансовые показатели, имеется иная оценка 3-летней работы BioTronics. Хотя она получила прибыль, от нее начали уходить клиенты, снизилась доля рынка и значительно сократилась потребительская ценность. Руководство и акционеры BioTronics знали, что с точки зрения финансовых показателей все хорошо. Но, не имея маркетинговых показателей, они даже не представляли себе, сколько уже потеряли и сколько могут потерять в будущем.
Рыночная стратегия, основанная на маркетинговых показателях
Как могла бы повлиять та или иная стратегия на сохранение доли рынка? Для удержания 10 % доли на растущем биотехнологическом рынке компании стоит активнее инвестировать в маркетинг, исследования и разработку продуктов на уровне соответствия рыночному спросу и затратам конкурентов. При адекватном уровне инвестиций для сохранения 10 % доли рынка у компании появились бы шансы достичь результатов, представленных в табл. 2.3.
Таблица 2.3. Рыночная стратегия, направленная на сохранение доли рынка

* Прибыль до налогообложения из табл. 2.1 за вычетом значения прибыли до налогообложения из табл. 2.3
Стратегия удержания рынка, учитывающая его требования, могла бы привести к повышению выручки от продаж до налогообложения (17 %) и обеспечила примерно такую же рентабельность активов, что и прежняя стратегия. Но новая стратегия могла бы принести компании еще 41 млн долл. прибыли (до налогообложения). По сути, компания отказалась от этой дополнительной прибыли. И она будет еще выше за 3-летний период, даже если компании удастся остановить падение доли рынка, а рост на нем прекратится. Если же доля рынка BioTronics будет и дальше уменьшаться, а рынок биотехнологий продолжит рост, «утраченная прибыль» за следующие 3 года может составить 100 млн долл.
История BioTronics наглядно демонстрирует важность показателей оценки маркетинговой деятельности. Именно они лежат в основе управления с учетом рынка. Финансовые системы большинства компаний нацелены на управление доходами, расходами, производственными издержками, дебиторской задолженностью, операционными расходами и прибылью, но часто упускают из виду, что самый важный актив компании и единственный значительный источник ее положительного денежного потока – клиенты. Отказ от привлечения новых потребителей в период роста рынка означает, по сути, что компании придется работать еще упорнее и больше тратить на восстановление своей доли. А для привлечения значительного количества новых клиентов нужны существенные расходы.
Маркетинговые показатели
Показатели – важный элемент в любом деле. На рисунке 2.2 перечислены три показателя, связанные с состоянием здоровья, которые обычно проверяются при каждом визите к врачу. Они позволяют специалисту быстро оценить, есть ли у вас отклонения от нормальных значений температуры тела, давления и пульса. Еще более привычны для нас показатели, которые мы используем при управлении автомобилем. Датчик топлива позволяет примерно прикинуть, сколько бензина осталось в баке, спидометр сообщает о скорости, а датчик давления в шинах позволяет оценить, накачаны ли они выше или ниже рекомендуемой нормы.

Рис. 2.2. Почему так важны маркетинговые показатели
Маркетинговые показатели, перечисленные в табл. 2.4, важны для менеджеров ничуть не меньше, чем показатели здоровья для врача и пациента или показатели, использующиеся при управлении автомобилем, для водителя. Они помогают правильно оценить результаты работы компании и предположить, чего ожидать в будущем. Например, доля рынка на уровне 10 % показывает менеджерам, какую долю рынка компания имеет сейчас, а значение сравнительного индекса на уровне 1,0 означает, что компания имеет наивысшую долю в сравнении со всеми конкурентами. Удержание клиентов на уровне 67 % означает, что средний срок работы с клиентом составляет 3 года. Но при таком сроке ценность клиента оказывается отрицательной, т. е. компания все это время теряет деньги на обслуживании этой группы клиентов. Рентабельность инвестиций в маркетинг (маркетинговый ROI) на уровне 150 % означает, что на каждый доллар, потраченный на организацию маркетинга и продаж, компания получает 1,5 долл. прибыли от этой деятельности. И, наконец, индекс развития доли на уровне 40 означает, что компания или продукт реализовали свой возможный потенциал развития всего на 40 %.
Таблица 2.4. Сравнение внутренних/внешних и опережающих/запаздывающих показателей

Каждый из этих показателей позволяет результативно оценить работу отдела маркетинга. Но, судя по данным опроса руководителей компаний, проведенного Conference Board, 51 % руководителей жалуется на то, что им недостает осмысленных показателей оценки маркетинговой работы5.
Финансовые показатели в сравнении с маркетинговыми
У большинства компаний есть развитая система финансовых показателей оценки работы, состояния прибыли, издержек и активов, как показано слева на рис. 2.3. Они помогают лучше разбираться в результатах и прибыльности. Но эти внутренние показатели не позволяют компании досконально разобраться в том, как она или ее продукты чувствуют себя на рынке. Показатели работы маркетинга6, приведенные справа на рис. 2.3, – внешние и опережающие. Многие из них позволяют понять, что произойдет в будущем с финансами компании. Например, если у клиентов снижается желание сделать повторную покупку, скорее всего, снизятся объемы продаж компании и ее прибыльность, если она не начнет исправлять свои ошибки.

Рис. 2.3. Финансовые и маркетинговые показатели
Показатели оценки маркетинга – главный элемент менеджмента, основанного на требованиях рынка. Ведь именно они дают нам четкую картину положения продукта или компании на рынке7.
Показатели должны быть необходимыми (компания не может без них обойтись), точными, последовательными и достаточными (исчерпывающими) для целей изучения8.
Они важны по двум причинам. Прежде всего, они позволяют оценить такие важные элементы маркетингового успеха, как удовлетворенность клиентов, уровень их удержания и лояльности. К тому же они коррелируют с прибыльностью. Они прямо на нее не влияют, но представляют собой барометр для текущих и будущих финансовых результатов. Например, снижение уровня удержания клиентов потребует от компании, желающей сохранить долю рынка, привлекать больше новых клиентов. Поскольку это дороже, чем обслуживать имеющихся потребителей, можно ждать снижения прибыли даже при сохранении доли рынка. Как видно на рис. 2.3, показатели оценки маркетинга можно разбить на четыре основные категории.
1. Показатели, связанные с рынком, измеряют рынок с точки зрения текущих результатов и прибыльности. Например, сравнительная доля рынка для продукта или компании – показатель, оценивающий их долю рынка в сопоставлении с тремя ведущими конкурентами. Как показано на рис. 2.4, чем больше сравнительная доля компании на рынке, тем выше ее прибыль. Этот показатель обсуждается в главе 6 и главе 15. Другие показатели, связанные с результатами работы на рынке, представлены в главе 3, главе 6 и главе 15.

Рис. 2.4. Четыре избранных маркетинговых показателя и их связь с прибылью
2. Показатели, связанные с клиентами, оценивают компанию или продукт с точки зрения клиентов. В главе 1 мы уже узнали о некоторых показателях такого рода, а ряд других обсуждается в главе 3, главе 9 и главе 15. Мы уже знаем, как они косвенно влияют на прибыльность. Например, как показано на рис. 2.4, компания, улучшающая показатели удержания клиентов, может ожидать повышения прибыли.
3. Показатели конкурентоспособности обеспечивают оценку компании или продукта относительно лучших конкурентов с точки зрения характеристик продукта, качества сервиса, имиджа бренда, затрат на покупку и потребительской ценности. Например, на рис. 2.4 сравнительное качество сервиса положительно коррелирует с прибыльностью. Этот и другие показатели оценки конкурентоспособности представлены в главе 4, главе 6 и главе 15.
4. Показатели прибыльности маркетинга. Рентабельность инвестиций в маркетинг – главный показатель оценки его прибыльности, измеряющий влияние на прибыль инвестиций в маркетинг или расходов, связанных с организацией продаж. Поскольку он выражается в процентах, его значение для любого подразделения компании, региона, в котором она работает, или продуктовой линейки можно сравнить с показателем для других подразделений, регионов или продуктовых линеек или с общим значением для компании. Также компания может сравнить его с показателями других конкурентов или иных компаний, отчетность которых есть в открытом доступе. Позже в этой главе мы подробнее поговорим о рентабельности инвестиций в маркетинг и обсудим еще два показателя его прибыльности: чистую эффективность маркетинговых мероприятий и маркетинговую рентабельность продаж (ROS – Return on Sales).
Внутренние и внешние показатели
Для успеха любому бизнесу необходимы как внутренние, так и внешние показатели эффективности. Как показано в табл. 2.4, внутренние показатели компании обычно отслеживают брак в продукте, задержки в поставках, опоздание платежей и оборачиваемость складских запасов, а также значения себестоимости единицы, расходов, оборачиваемости активов, производительности работников, фондоотдачи и общей рентабельности.
Внешние маркетинговые показатели позволяют взглянуть на компанию с точки зрения рынка. Они отслеживают уровень осведомленности клиентов о ее продуктах, общий уровень их удовлетворенности, их восприятие характеристик продукта и намерений совершить повторную покупку, а также результативность работы компании на рынке, в том числе долю рынка, степень удовлетворенности клиентов, темпы удержания и доход на клиента.
Аудиторские фирмы отлично потрудились и разработали методики расчета внутренних показателей эффективности любой компании. Следующим рубежом для них и компаний, занимающихся изучением рынка, станет разработка стандартизованной методики оценки внешних показателей эффективности рыночной деятельности. Имея оба набора показателей, менеджерам, финансовым аналитикам и акционерам будет гораздо удобнее оценивать эффективность маркетинга и деятельности компании в целом.










