Эволюция пустоты

- -
- 100%
- +

Предисловие
Что случилось? Да ничего, всё хорошо. Просто ни черта не видит у себя под носом, какая-то странная фундаментальная близорукость, которая к тому же исключает наличие дальнозоркости или скажем прямо дальновидности и как результат просто слепая, не видит очевидных вещей, ещё и глуховата, не слышит слов разума, только собственное бормотание по большей части мало кому понятное. И куда в таком состоянии можно уйти? Да только в дебри, так называемую сингулярность. А что же, как же, как это, как это, а она заразна!? Конечно! Ведь она же учит наших детей, давая им в числе прочих и неверные знания, толкуя ошибочные догмы, совершенно не занимаясь поиском истины и исправлением ошибок. Попробуем поставить диагноз. Что же вызывает такую слепоту и глухоту? Очевидно, не правильно выбранная приоритетная цель, извлечение экономического эффекта вместо поиска истины и раскрытия тайн, отсюда и неправильно поставленные задачи, т.е. стремление не к исследованию непознанного, а к извлечению прибыли. Можно ли вылечить сию болезнь? Конечно можно, поменять цель, только и всего. Но кто же сможет заставить её проглотить эту горькую пилюлю1?
1. Комментарий: Сегодня, впрочем, как и вчера, академическое сообщество, соорудив рецензионный барьер, отвечает молодым, пытливым умам, что не нужно доставать вопросами, на которые нет ответов и не надо навязывать своё видение ответов на них, а нужно следовать устоявшимся догмам, иначе, учебный процесс может быть прерван. Таким образом, сохраняется консервативное мышление в научной среде, делая её не способной к восприятию идей, противоречащих её постулатам.
Точка отсчёта 2020
Стремление человечества к познанию истоков мироздания привело его из пещеры к понятию элементарной частицы. На этом пути получены огромные знания во всех областях современной науки, но до сих пор нет ответа на главный вопрос, каким образом возможно возникновение физических объектов в бесконечной пустоте.
Давайте поразмышляем на эту тему и попытаемся ответить на этот вопрос, используя современные знания и представления в необходимых для этого областях науки. Пройдём путь от простых понятий пространства и времени, стремящихся от нуля в сторону бесконечности через наше измерение, а также попробуем ответить на вопрос кто же мы во Вселенной и в чём наше предназначение.
Если значения слов не известны или они наполнены иным смыслом, для окружающих Вас, то они воспринимаются ими, как звуки или каракули, а может быть имеют совсем другой смысл, чем тот который бы Вы хотели в них вложить. Поэтому дадим свои определения пространству и времени, а так же другим понятиям которыми будем оперировать в наших рассуждениях, чтобы термины были наполнены одинаковым для всех значением, иначе не возможно будет сформулировать принципы в понятной форме, а именно они должны позволить получить представление обо всех явлениях, происходящих в пространстве и его свойствах.

Чем же будет для нас пространство? Я полагаю – это объективно, постоянно существующая бесконечная пустота, являющаяся всеобъемлющей величиной.
Ну а, время – это бесконечная величина измерения, позволяющая измерить пространство, а точнее его изменения.
Чтобы пустота стала для нас осязаемой, давайте интегрируем в неё трёхмерную систему координат, и мы сразу получаем о ней представление в виде многомерного массива координат, для нас она становится пространством с определёнными значениями в каждой его точке. Так же стоит отметить, что каждая точка пространства имеет своё уникальное значение в виде координаты, а рассматривая координатный массив в целом, можно выделить, например наличие единичных, десятичных или же порядковых измерений, меньшие из которых являются составной частью больших, это нам пригодится при рассмотрении характеристик пространства.

И так мы получили статичное пространство. Теперь разместим в нём сопряжённую с первой трёхмерную систему координат времени, характеристикой которого является изменение его значения в поступательном направлении. Теперь мы можем наблюдать, что время постоянно изменяется относительно пространства, а исходя из теории относительности, и пространство изменяется относительно времени, т.е. оно динамично. Эти изменения неразрывно связаны, т.е. если меняется измерение пространства, то соответственно меняется измерение времени. Поэтому мы можем утверждать, что одним из основных критериев свойств пространства будет плотность его измерения (плотность пространства) и она будет пропорциональна потенциалу (потенциальной энергии) данной области или же точки пространства.
Наверно теперь мы можем понять, что же заставляет пространство изменяться? Какие силы могут возникнуть в бесконечной пустоте?
Очевидно, это будут силы, стремящиеся к выравниванию значений, потенциальной энергии или же плотности измерения пространства.
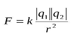
В качестве примера, возникновение векторов сил можно подтвердить Законом Кулона – основным законом электростатики. Сила взаимодействия двух точечных неподвижных заряженных тел в вакууме прямо пропорциональна произведению модулей заряда, от нас добавим (соответствующих потенциалу точки или области пространства) и обратно пропорциональна квадрату расстояния между ними. Когда тела считаются точечными? – если расстояние между ними во много раз больше размеров тел.

Ну! Вот и подошли мы к основному вопросу. Как образуется физический объект в бесконечной пустоте?
Для простоты понимания принципа образования рассмотрим это в примитивном виде.
Интегрировав систему координат в бесконечную пустоту, мы поняли, что каждая точка пространства имеет своё значение в виде координаты, и оно не может повториться, поскольку уникально. Поэтому, например, расставляя даже ближайшие неповторяющиеся значения в окружности, разделённой на 4 сектора 1,2,3,4, мы получим два смежных сектора со значением 1 и 4. В этой части стремление к выравниванию значения будет сильнее, чем в других частях окружности, поскольку разнится между значениями будет наибольшей. Соответственно вектор силы будет большим и движение должно начаться именно с точки имеющей наибольшую разницу значений потенциала или же плотности пространства.
Конечно, лучше заглянуть в физику; механика, электродинамика и высшую математику матрицы, и их свойства, но и без этого можно представить образование сферического тела, приложив вектора сил к значениям 1 на осях координат, вектора в плоскости зададут осевое и орбитальное движение, а перпендикулярный вектор задаст поступательное движение в пространстве. Внутри сферы, образуя график синусоидального движения, будет заключено пространство, приобретающее измерение более высокой плотности, чем внешнее по мере дальнейшего движения объекта в пространстве в сторону измерения или же пространства меньшей плотности измерения.

Нужно сразу оговорится, что мы рассмотрели образование условной частицы в идеальных условиях с упорядоченным координатным массивом при отсутствии, каких либо других объектов в пространстве способных оказывать влияние. На самом деле вероятнее всего, происходит вихревое образование неких пространственных пузырей, которые впоследствии группируясь, образуют различные физические объекты, начиная с элементарных частиц, атомов химических элементов и заканчивая макрообъектами Вселенной.

Образованная частица уже обладает свойствами способными влиять на окружающее пространство. Давайте опишем некоторые из них на основе представлений и примеров, имеющихся в нашем Мире, с учётом бесконечного разнообразия измерений выделим наше, в котором мы существуем, а также измерения высшего и низшего порядков.
Итак, наша частица может вращаться вокруг собственной оси, обладать орбитальным и поступательным движением. Перемещение сферы, обеспечивает увеличение или уменьшение разницы потенциала объекта с окружающим пространством, следствием чего явится его распад при попадании в измерение высшего порядка, превышающего предположительно величину отношения весов атома и звездной системы, а пространство измерения низшего порядка поглотит его.
В качестве примера можно привести химические элементы периодической системы с большой атомарной массой, подверженные радиоактивному распаду на более устойчивые элементы с выделением энергии в виде излучения волнового и корпускулярного. В качестве прототипа элементарной частицы измерения высшего порядка в нашем Мире, не боясь ошибиться, можно представить шаровую молнию, которая способна, помимо обладания электрическим зарядом, просто исчезнуть, растворившись в пространстве, став его частью.

Наличие внутри сферы пространства низшего порядка стремящегося к выравниванию значений с окружающим его пространством, будет причиной возникновения сил гравитации, старающихся как бы втянуть в себя объекты своего измерения и расшириться до размера окружающего пространства. Очевидно, эти силы будут пропорциональны её энергии равной разнице потенциала частицы и окружающего пространства соответствующих измерений. Возможно, она будет обладать магнитными свойствами, природа которых нам известна, с полюсами и силовыми линиями в зависимости от структуры внутреннего пространства.

Мы понимаем, что при изменении времени, стремящемся к нулю, образование одной частицы сопряжено с образованием других, отличных друг от друга по размерам, о многообразии которых ярко свидетельствует существование изотопов химических элементов, имеющих разные атомарные веса, но одинаковые по свойствам. Наиболее наглядно это отражено в периодической системе Менделеева на основе лантаноидов и актиноидов по сути своей, являющихся изотопами соответствующих химических элементов.
Они также будут отличаться по свойствам, обусловленным плотностью пространства внутри тела, определяющим его потенциал, уровень гравитации и магнитные характеристики, влияющие на дальнейшее взаимодействие, как при образовании, так и при дальнейшем существовании в пространстве. Это подтверждается, в том числе наличием в Мире нашего измерения объектов, начиная от элементарных частиц и заканчивая галактиками очевидно соответствующими молекулярным образованиям измерения следующего порядка.

Надо сказать, что мы будем не первыми, кто станет говорить о планетарном строении атомов химических элементов и пространственно – волновом характере передачи электроэнергии. Конечно же, в первую очередь это были Резерфорд и Тесла, которые к сожалению не смогли убедительно обосновать свои теории, доведя их до логического финала. И научный мир пошёл по другому пути, переступая через глубочайшие противоречия в теориях, связанных с наличием в ядре атома нескольких положительно заряженных частиц в качестве протонов, образующих положительный заряд ядра атома, которые исходя, опять же из теории одноимённо-заряженных частиц должны отталкиваться друг от друга, что должно приводить к невозможности образования ядра на их основе. Отрицательно заряженные электроны на орбитах атомов, образующие соединения на основе перекрытия электронных орбит, неминуемо должны сталкиваться.


Катушка Тесла, создающая индуктивное магнитное поле, сжимающее пространство, скручивая его как пружину, приводя к разряду в виде молнии.

Не надо ничего придумывать, достаточно просто посмотреть в космос, там есть ответы на все вопросы, связанные со строением атома.
Определение электрического тока, как потока электронов, не даёт нам понять волновой характер передачи электроэнергии на основе волновой модуляции в проводниках электрического тока, хотя всё говорит нам именно об этом. Когда при движении в магнитных полях, образуется разница потенциалов на концах проводника, вызывая возникновение электродвижущей силы. Или же возникновение шаровой и иных молний в диэлектрической среде, носящих пространственно – волновой характер, более соответствующий действительности. Когда при столкновении грозовых туч происходит сжатие пространства, ведущее к повышению плотности измерения определённой области среды, состоящей из водяных паров и воздуха, увеличивая её потенциал, возникает электромагнитная волна в виде разряда молнии, направленная в сторону активной магнитной среды, способной поглотить это волновое излучение, приводя к выравниванию потенциала или же плотности измерения пространства.
Конец ознакомительного фрагмента.
Текст предоставлен ООО «Литрес».
Прочитайте эту книгу целиком, купив полную легальную версию на Литрес.
Безопасно оплатить книгу можно банковской картой Visa, MasterCard, Maestro, со счета мобильного телефона, с платежного терминала, в салоне МТС или Связной, через PayPal, WebMoney, Яндекс.Деньги, QIWI Кошелек, бонусными картами или другим удобным Вам способом.





