Специфика взаимодействия тонкого и наноуровней микроструктурной организации веществ и их влияние на свойства материалов. Монография

- -
- 100%
- +
Аддитивность применяется здесь только к таким характеристикам, которые действительно являются аддитивными (ВДВ объём, молекулярная масса, энергия ММВ и другие).
Как отмечает автор, этот подход позволяет с достаточной точностью оценить многие физические характеристики порядка 60 полимеров. Но при этом отмечает, что точность расчета необходимо повысить.
Однако число свойств, которые могут быть оценены этим методом, меньше, чем методом Ван Кревелена и Бицерано.
По мнению Кынина с сотр. [35] результаты расчетов по методу Ван-Кревелена и методу инкрементов, предложенному Аскадским достаточно близки.
Однако в представленных методах недостаточно полно учтено влияние такой важной характеристики полимеров, как энергия ММВ макромолекул полимера (энергия когезии). Влиянием этого фактора пренебрегают при расчетах плотностей и температурных характеристик полимеров, а при расчете параметра растворимости его влияние учитывается введением энергетических поправок на влияние специфических взаимодействий (например, водородных связей), причем введение таких поправок не имеет строгой регламентации и проводится произвольно.
Кынин с сотр. полагают [35], что достаточно удобной энергетической характеристикой полимеров является параметр растворимости dP. Именно он выступает как связующее звено между химическими свойствами и структурой. Очевидно, что энергия ММВ будет зависеть от природы и количества функциональных групп в элементарном звене полимера, что можно легко показать на примере зависимости параметров растворимости алифатических полиамидов от концентрации функциональных групп.
Также авторам очевидно, что удельная энергия межмолекулярного взаимодействия, а также и связанные с ней плотность энергии когезии и параметр растворимости полимера оказывают существенное влияние на свойства полимеров. Именно от структуры в значительной степени зависят термические, механические и физико-химические свойства материалов [35].
Таким образом, Кыниным с сотр. [35] предлагается физически обоснованный метод оценки изменения физико-химических и физико-механических свойств волокнообразующих полимеров при переменных условиях окружающей среды, изменяющихся в широких пределах, который основан на анализе изменения энергии межмолекулярного взаимодействия в полимере. Использование в качестве характеристики процесса такого универсального показателя, как параметр растворимости, связанный с энергией когезии, позволяет использовать найденные закономерности для новых полимерных материалов и взаимодействия полимеров с любыми низкомолекулярными веществами.
Но, как известно химическое строение вещества определяется, прежде всего, характером (типом) химического связывания атомов и их преобразованием в различные элементы структуры (химические элементы) вещества. Поэтому основу современной теории химического строения составляет учение о химической связи, как основного условия возникновения и существования химического соединения, характеризуемого определенной (химической) структурной организацией [14].
1.4. Тонкая структура материала и ее характеристики
Как следует из табл. 1, тонкий уровень структуры полимерных материалов включает два подуровня: электронно-ядерный и молекулярный. Соответственно под электронно-ядерным подуровнем понимается химическая структура (характер расположения атомных остовов и обобществленных электронов между ними), а под молекулярным – физическая структура (определяемая межмолекулярными взаимодействиями между молекулами низкомолекулярных веществ или фрагментами макромолекул высокомолекулярных соединений).
1.4.1. Характеристика смешанных (промежуточных) типов взаимодействия элементов электронно-ядерной структуры материала
Химическая связь – это совокупность сил, удерживающих нуклиды (ядра) или атомные остовы в химическом соединении. Характеристики химической связи в соединении атомов различных веществ и материалов на их основе определяет его химическую структуру и физико-химические свойства [36]. Различают три предельных вида химической связи: ковалентную, металлическую и ионную. Металлическая связь характерна для металлов, то есть для атомов элементов, характерными свойствами которых являются хорошая теплопроводность, электропроводность, металлический блеск. Для неметаллов характерна ковалентная связь. При взаимодействии неметалла и металла возникает гетероядерная ионная связь.
В зависимости от преобладания в веществе того или иного типа связи существуют три типа химических структур: преимущественно металлическая, преимущественно ионная и преимущественно ковалентная. Элементами металлической структуры являются катионы в узлах кристаллической решётки и обобществлённые электроны между ними. В металле максимальная стабильность структуры связана с максимальным координационным числом. Характерные структуры металлов представляют два типа плотной упаковки элементов с координационным числом, равным 12 и центрированной кубической структуры с координационным числом, равным 14 [37,38].
Элементами ионной структуры служат катионы и анионы в узлах кристаллической решётки, обобществленные электроны которой максимально смещены в сторону электроотрицательного элемента. Ионная связь обеспечивается кулоновским притяжением избыточных электрических зарядов противоположно заряженных ионов. Атомы металлов легко теряют свои внешние электроны, которые стремятся присоединить атомы неметаллов. Таким образом, могут возникнуть стабильные катионы и анионы, которые могут в основном сохранить свои электронные структуры при приближении друг к другу и образовании стабильной молекулы или кристалла [37]. В структуре ковалентных соединений элементами являются пара обобществленных электронов и ядра (в случае водорода – протоны) или атомные остовы, состоящие из ядра и внутренних электронов (в случае остальных атомов) [37].
В работе [39] рассмотрена связь между структурой и свойствами соединений на основе полимеров. Способность элементов образовывать полимеры зависит от таких факторов, как электроотрицательность (ЭО), гибридизация, электронная конфигурация, степень ковалентности (СК) связи между элементами, стерические факторы, координационным числом атомов элементов. Полимерным считается вещество, в котором наличествуют цепи с преимущественно ковалентными связями. Связь между цепями может быть ван-дер-ваальсовой, водородной, ионной, металлической или ковалентной [39].
Гетероцепные полимеры в своей структуре удерживаются в основном двумя типами химических связий преимущественно ковалентной внутри цепей и преимущественно ионной между цепями и лигандами. Исходя из этого все элементы Периодической системы (ПС) подразделяются на каркасообразующие (B, O, Se, S), мостиковые (O) и модифицирующие (H, Li, Na, K, Rb, Cs) элементы. Это зависит от их расположения в ПС и их электронной конфигурации и специфики химической связи [64].
Однако такое разделение на основные предельные типы связи весьма условно. При рассмотрении реальных соединений говорят о смешанном типе химического взаимодействия [40,41]. Однако правильнее считать, что химические связи в реальных молекулах и кристаллах имеет не идеальный – ионный, ковалентный или металлический характер, а какой-то промежуточный. Другими словами, если в ковалентных связях электронная плотность (ЭП) распределена совершенно симметрично между партнёрами и её центр тяжести находится в середине межъядерного расстояния, то в теоретически чисто ионных соединениях он совпадает с центром одного из атомов [42].
Таким образом, из вышеизложенного видно, что тип химической и межмолекулярной связи определяет тонкую структуру вещества, а от нее в свою очередь зависят физические, химические и механические свойства веществ и материалов. Другими словами, тонкий (электронно-ядерный и молекулярный) уровень строения вещества является базовым для всех типов веществ и материалов на их основе и влияет на следующие за ним уровни структурной организации материала.
1.5. Электроотрицательность элементов тонкой электронно-ядерной структуры материала
1.5.1. Шкалы электроотрицательностей
Само понятие электроотрицательность впервые было применено Берцелиусом в 1811 г. для классификации элементов, в 1858 г. ЭО и валентности атомов использовал Канницаро для характеристики элементов, в 1903 г. Штарк предложил определять ЭО атома по энергиям его ионизации и сродства к электрону, наконец, Льюис (1916) в теории ковалентной связи рассматривал полярность как смещение центра тяжести валентного электронного облака в сторону одного из атомов – именно он в данной связи является электроотрицательным. Отсюда следует, что этот параметр отражает способность атома притягивать электроны от связанных с ним атомов (Инголд, 1929 год). В этом ряду блестящих имён Полингу принадлежит честь создания первой количественной шкалы ЭО, основанной на термохимических данных [43].
Таким образом, электроотрицательность отражает способность атомов притягивать к себе электроны. Чем выше электроотрицательность, тем сильнее эта способность [43]. На протяжении более 50 лет концепция электроотрицательности модифицировалась, расширялась. К 1988 году уже стало возможно связать электроотрицательность составных элементов со свойствами сотен соединений, а также вычислить значение энергий полярных ковалентных связей.
Электроотрицательность является мерой эффективного заряда ядра. Сандерсон [44] отмечает, что непосредственной мерой ЭО является не средняя ЭП, а отношение ЭП атома к средней ЭП атома «благородного» газа. Также автор приходит к выводу о чередовании значений ЭО вниз по группе.
Сандерсон критикует систему ЭО Полинга, мотивируя это тем, что полярную связь невозможно представить простым суммированием «100%-ной ковалентности + Х%-ной ионности» и говорит о том, что сумма ионности и ковалетности должна в сумме составлять 100%. Он делает вывод, что «концепция ЭО, как свойства атома доказала свою целесообразность чрезвычайно широким распространением и точным количественным применением» [44], а также о том, что электроны, не участвующие в образовании связи, «уменьшают электроотрицательность исходных элементов, усиливают полярность связи с более ЭО элементами, за счет чего прочность связи возрастает по сравнению с нормальной валентностью» [44].
Концепция ЭО решает задачу количественной характеристики химической связи. Она много критиковалась в свете существующих неэмпирических методов распределения ЭП в молекулах. Однако эта теория оказалась жизнеспособной. В пользу этого свидетельствуют такие факты «исключительной живучести» концепции ЭО, как [159]:
Формализация электроотрицательности на языке орбитальных свойств атомов и ионов делает её необходимым звеном полуэмпирического описания и моделирования химической связи.
ЭО позволяет наблюдать отчётливую периодичность и подчёркнутую контрастность свойств (электроположительные и электроотрицательные элементы, мягкие и жёсткие основания и кислоты), которая является основой природы химического взаимодействия.
В настоящее время существует десятки шкал ЭО, в основу расчётов которых положены различные свойства веществ и элементов, составляющих их. Значения ЭО разных шкал отличаются, но относительное расположение в ряду ЭО примерно одинаково. ЭО элемента зависит от многих факторов, в частности, от валентного состояния элемента, типа соединения, в которое он входит, но, тем не менее, это понятие необходимо для качественного объяснения свойств химической связи, химических соединений и материалов на их основе [40].
В работе [45] делается фундаментальный вывод о постоянстве ЭО в данном валентном состоянии «на начальный момент взаимодействия» и приводится следующая ее формулировка: «эта зависящая от природы и валентного состояния, присущая элементу способность притягивать электроны при образовании химической связи».
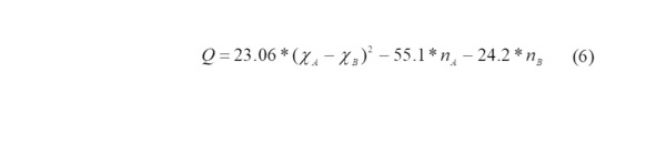
Полинг, предположив, что энергия связи равна теплоте, выделяемой при реакции, предложил использовать непосредственно тепловые эффекты Q, минуя данные об энергиях связи. Использование значений Q для расчётов основано на том, что большинство элементов в их стандартных состояниях содержат одинарные ковалентные связи.
Однако если же исходные элементы находятся в жидком или твёрдом состоянии, то кроме энергий ковалентных связей им присущ некоторый запас ВДВ энергии, которую шкала Полинга не учитывает. Полинг предложил в качестве первого приближения формулу вычисления ЭО элементов из тепловых эффектов [46]:
где nA и nB – числа атомов, образующих молекулу.

Таким образом, Полинг сформулировал зависимость полярности связи только от энергии химической связи, найденной из теплоты, выделяемой при реакции в виде термохимической концепции электроотрицательности атомов.
Вместе с тем, основная идея Полинга – зависимость энергии связи только от теплоты, выделяемой при реакции – требует корректировки. Очевидно, что энергия связи в немалой степени зависит и от её длины [46].
Вслед за Полингом термомеханические расчёты были произведены рядом авторов, из которых можно сделать вывод, что увеличение положительной валентности повышает ЭО атомов [47,48].
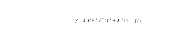
Другое направление расчёта ЭО – исходя из величин ковалентных радиусов (rК). Например, Оллред и Рохов [49,50] разработали альтернативный метод расчёта, исходя из эффективного заряда и rК атома:

ЭО, как по Полингу, так и по Оллреду, как правило, безразмерные величины.
Пирсон [51,52] предложил шкалу абсолютной ЭО, которая определяется как среднее из первого потенциала ионизации и сродства к электрону для нейтрального атома. Обе последние величины были взяты Пирсоном в электрон-вольтах (эВ), следовательно, и значения абсолютной ЭО получились в электрон-вольтах, в то время как в других шкалах ЭО есть величины безразмерные [51,52].
Анализируя все известные на сегодня шкалы ЭО, можно заметить их недостатки. Оригинальная шкала Полинга ограничена валентными состояниями атомов с максимальной «нормальной» валентностью. Тем не менее, в пределах области своей применимости формальный подход Полинга является стройной логически замкнутой феноменологической теорией [45].
Сироткиным О. С. и д.р. [53] была разработана скорректированная шкала ЭО, лишенная недостатков шкал Полинга и Оллреда-Рохова, то есть было устранено присутствие элементов с одинаковыми значениями ЭО за счет использования не только ковалентных, но и металлических радиусов, а также других характеристик основных элементов ПС [53] (табл. 2).
1.5.2. Практическое использование электроотрицательностей

ЭО элементов традиционно используются для определения типа гетероядерной химической связи [54,55]. Их использование базируется на концепции поляризации химической связи, усиливающейся по мере увеличения разности ЭО элементов (ионов), образующих данное соединение. Эта концепция базируется на как будто весьма очевидном допущении – увеличение разности ЭО приводит к «перетягиванию» локализованного электронного облака связывающих электронов к более электроотрицательному элементу. Но этот подход не учитывает металлическую составляющую гетероядерной химической связи, которая в общем случае должна рассматриваться как ионно-ковалентно-металлическая. Необходимость учитывать «степень металличности» (СМ) в соединениях отметили Музер и Пирсон [56,57—59]. Однако в последующие годы на это обстоятельство обращали внимание лишь отдельные исследователи [51, 60, 61—64], тогда как подавляющее число авторов оставались на ортодоксальных поляризационных позициях рассмотрения ХСв, ограничивая ее вариации определением степени ионности (СИ) (степени ковалентности (СК)), считая ее прямо зависящей только от разности ЭО атомов (ионов), образующих то или иное определенное вещество.
Также от ЭО зависит такая фундаментальная характеристика ХСв, как ее СК, а, следовательно, прочность связи, тип структуры, особенности химического состава. ЭО в сочетании с другими факторами является решающей в формировании конкретных значений большинства физических и физико-химических свойств. СК возрастает при уменьшении разности ЭО соответствующих элементов [65].
С помощью ЭО вычисляются, например, такие характеристики, как температура Кюри [66]. Увеличение температуры Кюри по мере увеличения ЭО ионов объясняется усилением СК образуемой ими химической связи, а также их различий, связанных с числом валентных электронов с орбитальным квантовым числом l≥1 и интегралом перекрывания орбиталей этих электронов с валентными орбиталями кислорода [66]. Все это обеспечивает повышенную устойчивость таких связей к воздействию дестабилизирующих факторов, в частности, температуры. Установленные зависимости могут рассматриваться как основа для прогнозирования свойств и поиска новых высокотемпературных сегнетопьезокерамических материалов [67].
В 1991 году была предпринята попытка использовать концепцию ЭО Полинга применительно к анализу сверхпроводящих веществ [68].
Таким образом, из выше изложенного видно, что от ЭО зависит такая фундаментальная характеристика химической связи, как ее СК, а, следовательно, прочность связи, тип структуры, особенности химического состава. ЭО в сочетании с другими факторами является решающей в формировании конкретных значений большинства физических, физико-химических и физико-механических свойств. СК возрастает при уменьшении разности ЭО соответствующих элементов.
1.6. Расчет компонент химических связей
1.6.1. Гомоядерные (металло-ковалентные) химические связи
Законы движения микрочастиц в квантовой механике выражаются уравнением Шредингера. В квантово-механической теории одновременно развивались два разных метода приближённого решения уравнения Шредингера для случая молекул:
Метод валентных связей (ВС), который рассматривает волновую функцию, описывающую движение обобществлённой пары электронов с противоположно направленными спинами, образующих связь в молекуле.
Теория молекулярных орбиталей (МО), которая исходит из положения, что любая молекула характеризуется набором молекулярных орбиталей, охватывающих всю молекулу в целом и делокализованных между атомами. Обе теории в своих приближениях дают достаточно верные результаты. Каждая из этих теорий при описании имеет свои преимущества и недостатки [69]. Сначала квантово-механические расчеты производились с использованием метода МО, так как его расчётная схема удобна и универсальна. Затем стало укрепляться мнение, что локализованное описание более удобно с расчётной точки зрения. К тому же в ряде случаев открывались новые возможности для структурно-химического исследования отдельных взаимодействий, например, в изучении механизмов химических реакций, где локализованное описание облегчает идентификацию отдельных структурно выделенных стадий химического превращения [70]. В последнее время наблюдается сближение обоих методов.
Учёт резонансных структур вводит в метод ВС элементы делокализации; учёт конфигурационного взаимодействия в методе МО приводит к более локализованным структурам. Так в методе молекулярных орбиталей линейной комбинации атомных орбиталей (МО ЛКАО) упорядоченные по энергии МО образуют канонический номер орбиталей. Канонические МО можно преобразовывать в локализованные орбитали, применяя различные критерии локализации [71].
При квантово—механическом изучении структуры молекул широко применяют фрагментарный подход, когда молекула рассматривается как система связанных между собой фрагментов, в качестве которых выбираются такие химические частицы, которые сохраняют в основном свои свойства и геометрическую структуру в разных молекулах. Тогда образование химических связей между фрагментами описывается через взаимодействие фрагментальных орбиталей. Ещё одним методом получения информации о локализуемости электронов из электронной волновой функции, описывающих систему, является теория лоджий [71], согласно которой химическая связь представляет собой некоторую область общего объёма молекулы, окружающую два или более соседних атомных остова, в которых флуктуация числа электронов мала. В металлах кроме катионов, связанных «электронным газом», присутствуют электронейтральные атомы, которые могут объединяться частью «электронного облака» с определенной локализацией ЭП между ними и в результате непрерывного обмена валентных электронов, позволяющей образовывать в структуре металлических соединений связи между электронейтральными атомами. Это означает, что даже «чисто металлические связи» обладают некоторой СК [7]. Таким образом, можно сделать вывод, что большинство гомоядерных химической связи может одновременно характеризоваться определенной степенью локализации и делокализации, то есть не может рассматриваться как «чисто металлическая» или «чисто ковалентная». Можно вести речь лишь о соотношении локализации и делокализации, например, соотношении ковалентности и металличности [36,72], где для оценки СК или СМ соединения в качестве индивидуальной характеристики природы атома элемента возможно использования ЭО – Х или первого ПИ – I1 [36,72]. Отмечается, что увеличение суммарного атомного номера атомов соединения приводит к увеличению СМ
Конец ознакомительного фрагмента.
Текст предоставлен ООО «ЛитРес».
Прочитайте эту книгу целиком, купив полную легальную версию на ЛитРес.
Безопасно оплатить книгу можно банковской картой Visa, MasterCard, Maestro, со счета мобильного телефона, с платежного терминала, в салоне МТС или Связной, через PayPal, WebMoney, Яндекс.Деньги, QIWI Кошелек, бонусными картами или другим удобным Вам способом.



