Многофакторное формирование стоимости компании

- -
- 100%
- +
– оценить срок жизни актива;
– вычислить денежные потоки в период срока жизни актива;
– определить ставку дисконтирования для вычисления приведенной стоимости этих денежных потоков.
При расчете стоимости компаний считается, что публичная компания, в отличие от отдельного актива или проекта, имеет потенциально бесконечный срок жизни. Поэтому стоимость публичных компаний равна приведенной стоимости бесконечного денежного потока.
Так как невозможно прогнозировать денежные потоки в бесконечность, то принято прогнозировать их до окончания «периода роста» компании, а затем отдельно оценивать конечную или остаточную стоимость.
В финансовой теории различают компании и Стоимость всего бизнеса вычисляется путем дисконтирования ожидаемых денежных потоков для всей фирмы после оплаты всех операционных издержек и налогов, но до выплаты всех долговых обязательств. Эти денежные потоки дисконтируются с помощью средневзвешенной стоимости капитала (WACC). Когда мы говорим об компании, то она вычисляется с помощью дисконтирования ожидаемых денежных потоков, принадлежащих акционерам. Это так называемые остаточные денежные потоки, которые образуются после того, как фирма расплатится по всем затратам, налогам и выплатит все долговые обязательства (как процентные выплаты, так и выплаты тела кредита). Оставшиеся после выплаты долгов денежные потоки дисконтируются со стоимостью акционерного капитала. полную стоимость бизнеса акционерную стоимость. акционерной стоимости
В большинстве случаев полная стоимость бизнеса больше, чем акционерная стоимость компании, но бывают ситуации, когда акционерная стоимость компании выше, чем полная стоимость бизнеса.
Когда речь идет об оценке стоимости компании для IPO, то имеется в виду оценка акционерной стоимости, по которой и рассчитывается цена акций при продаже инвесторам на IPO.
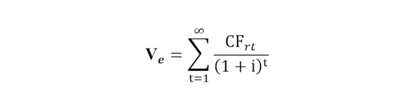
Для определения акционерной стоимости используется следующая формула:
Стоимость бизнеса вычисляется как приведенная стоимость всех будущих денежных потоков, генерируемых данным бизнесом.
Стоимость чистого долга равна стоимости всех денежных потоков, которые принадлежат кредиторам компании. Величина чистого долга вычисляется или по балансовой (кредиты в банках), или по рыночной стоимости долговых обязательств. Также в стоимость чистого долга включается стоимость привилегированных акций компании.
В результате акционерная стоимость компании равна стоимости денежных потоков, которые принадлежат только акционерам компании (владельцам акций и привязанных к акциям финансовых инструментов).
У публичных компаний она равна стоимости всех выпущенных обыкновенных акций, а также варрантов, опционов и конвертируемого в акции долга.
Процесс определения акционерной стоимости компании изначально связан со значительной неопределенностью. Но эта неопределенность не отменяет основного принципа оценки: стоимость актива равна приведенной стоимости его будущих денежных потоков.
В финансовой теории инвестиций различают . или компании равна рыночной цене акции, умноженной на количество акций у компании. – это стоимость компании для определенного инвестора, основанная на индивидуальных инвестиционных параметрах. Этим она отличается от рыночной стоимости, которая безлична и одинакова для всех. – стоимость, основанная на объективных параметрах, присущих инвестиции, и не зависящая от особенностей какого-либо отдельного инвестора. Фундаментальная стоимость инвестиции тоже не всегда равна рыночной цене. несколько вариантов акционерной стоимости компании Рыночная стоимость, капитализация, Инвестиционная стоимость Теоретическая (фундаментальная) стоимость
1.1.2. Виды и структура денежного потока
В литературе и на практике используют различные понятия и виды денежного потока (cash flow):
– FCF – свободный (free cash flow) денежный поток;
– NCF – чистый (net cash flow) денежный поток;
– CF – общий (gross cash flow) денежный поток;
– NOCF – чистый операционный (net operating) денежный поток.
Прибыль после уплаты налогов и процентов по долгам (earnings after taxes), уменьшенная на величину возврата краткосрочных долгов, представляет собой NCF (net cash flow) – чистый денежный поток, который не учитывает денежный поток от инвестиционной деятельности.
Свободный денежный поток (FCF), создаваемый в результате операционной деятельности и инвестиционных решений компании, эквивалентен потоку денежных средств, которые могут быть направлены ее инвесторам. В этом смысле ни прибыль, ни денежный поток как баланс поступлений и платежей, а именно способность компании создавать свободный денежный поток является важнейшей детерминантой ее экономической стоимости.
Схематично взаимосвязь различных видов потоков можно показать следующим образом:
EBIT (операционная прибыль до выплаты процентов и уплаты налогов)
– Налоги, выплачиваемые из прибыли (Taxes)
+ Амортизация (Depreciation) + Резервы по долгам (Reserves)
– Дополнительные расходы, не связанные с обслуживанием капитала (Additional expenses)
= CF (денежный поток от операционной деятельности)
– Дельта NWC (чистый оборотный капитал = Текущие активы – Счета к оплате)
– Потребность в чистом оборотном капитале (если NWC ≥0, то он вычитается, если NWC ≤0, то прибавляется)
= NOCF (чистый операционный денежный поток), то есть денежный поток от операционной деятельности, без учета денежного потока от инвестиционной и финансовой деятельности
– CF (общий денежный поток) от инвестиционной деятельности
= FCF (свободный денежный поток)
Для развивающихся стран (стран с формирующейся рыночной экономикой) характерны высокие макроэкономические риски (отсутствие стабильности и последовательности в экономической политике, частый пересмотр законодательства, высокий уровень инфляции, нестабильность или большая волатильность курса национальной валюты, ограничения или контроль за движением капитала, высокий уровень прямого или косвенного налогового бремени, коррупция), и для того, чтобы их учесть, необходимо разработать ряд возможных с разной степенью вероятности сценариев для уровней денежных потоков компании в разных ситуациях.
Результаты оценки дисконтированного FCF (свободного денежного потока) взвешиваются по каждому сценарию, а затем рассчитывается взвешенная (по вероятности различных сценариев) стоимость компании.
Денежный поток в компании можно разделить на следующие составляющие : 3
1) Денежный поток от деятельности. операционной
Приток:
+ денежная выручка от реализации продукции от основной деятельности предприятия (компании);
+ погашение дебиторской задолженности перед компанией;
+ авансы, полученные от покупателей.
Отток:
– платежи поставщикам и подрядчикам;
– выплата заработной платы сотрудникам, премии, бонусы;
– отчисления в бюджет и внебюджетные фонды;
– уплата процентов по кредитам и займам.
2) Денежный поток от деятельности. финансовой
Приток:
+ получение краткосрочных кредитов или займов;
+ получение долгосрочных кредитов или займов;
+ поступление от эмиссии акций;
+ целевое финансирование;
+ выпуск векселей.
Отток:
– возврат краткосрочных кредитов и займов;
– возврат долгосрочных кредитов и займов;
– выплата дивидендов;
– погашение векселей.
3) Денежный поток от деятельности. инвестиционной
Приток:
+ продажа основных средств, нематериальных активов;
+ получение дивидендов, процентов от финансовых (инвестиционных) долгосрочных вложений;
+ возврат инвестиций (финансовых вложений).
Отток:
– приобретение основных средств, нематериальных активов;
– капитальные вложения;
– долгосрочные финансовые вложения.
При оценке стоимости акционерного капитала вместо свободного денежного потока (FCF) рассматривается остаточный денежный поток, который вычисляется по формуле:
Стоимость акционерного капитала в этом случае определяется по формуле:
Наряду с проблемой прогнозирования FCF (свободного денежного потока) при оценке стоимости компании возникает и проблема обоснованного выбора ставки дисконтирования. В экономическом смысле это максимальная ставка доходности по имеющимся альтернативным вариантам инвестиций с сопоставимым уровнем риска на дату оценки. Существуют различные методы обоснования ставки дисконтирования в зависимости от того, какая составляющая инвестированного в компанию капитала подлежит оценке: если оценивается собственный капитал (для акционерных обществ – акционерный капитал или акции), то наиболее часто используют аналитическую модель CAPM (оценка стоимости капитальных активов), метод кумулятивного построения, экспертные методы, а при оценке стоимости всей компании – метод WACC (расчет средневзвешенной стоимости капитала компании). Сегодня метод WACC является, по моему мнению, наиболее объективным методом расчета стоимости капитала для расчета стоимости компании.
Использование аналитических моделей расчета ставки дисконтирования при оценке стоимости акционерного капитала компании не всегда адекватно отражает действительность и требует экспертной корректировки, а значит, в известной степени является субъективным.
1.1.3. Некоторые вводные касательно стоимости капитала
Структура капитала характеризуется соотношением собственных и заемных средств компании.
Стоимость капитала – это отношение общей суммы средств, которую компания должна уплатить за использование в течение года всех финансовых ресурсов, к их среднегодовому объему, то есть к среднегодовой величине пассива баланса.
Любое финансовое решение, принимаемое менеджерами компании, зависит от структуры и стоимости капитала компании и требует постоянного контроля изменения этих показателей и их таргетирования, то есть установления и поддержания наиболее рациональных для компании структуры и стоимости капитала.
Показатель, определяющий, какая доля активов профинансирована за счет заемных средств, характеризует финансовый леверидж компании.
Операционный леверидж определяется долей постоянных издержек в полных издержках компании: чем больше операционный леверидж, тем больше среднеквадратическое отклонение показателей прибыли компании (EBIT и EPS) и деловой риск вложений в нее.
Оптимальная структура капитала, то есть соотношение собственных и заемных средств, определяется по критерию обеспечения максимальной рыночной стоимости компании, приходящейся на одну ее акцию в обращении. Для компаний со стабильным денежным потоком, большими доходами и рыночными активами доля долгового (заемного) капитала в пассивах может быть высокой. Наоборот, компания с волатильным денежным потоком, специфическими активами должна следовать более консервативной политике в отношении доли заемного капитала.
Факторы, влияющие на принятие решения об изменении структуры капитала компании, указаны в виде таблицы ниже.
Таблица №1. Факторы, влияющие на принятие решения об изменении структуры капитала компании 4
1.1.4. Стоимость капитала
Любой прирост активов компании, ее развитие финансируются из источников, отраженных в одной или нескольких статьях пассива баланса компании.
Пусть Yjt – доля j-ого источника финансирования в пассивах компании в t-й момент времени, тогда:
Yjt = Абсолютная величина j-й составляющей пассивов / Валюта баланса,
а Kjt – стоимость (обслуживания) j-го источника финансирования, % годовых.
Средневзвешенная стоимость капитала компании (WACC) определяется как средневзвешенная величина альтернативной стоимости источников финансирования компании по известной формуле:
где n – число источников финансирования (видов пассивов) компании в соответствии со структурой пассивов баланса в t-й момент времени.
Если А=L=D+E, где А – сумма активов (по рыночной или балансовой стоимости), L – сумма пассивов (по рыночной или балансовой стоимости), то:
Показатель Kj носит двоякий характер: с точки зрения компании, для которой рассчитывается WACC, этот коэффициент характеризует среднюю стоимость (затраты) обслуживания компанией используемого j-го источника финансирования, а с точки зрения инвестора (организации, финансирующей данную компанию) – это доходность вложений инвестора и кредитора. С учетом этого к определению коэффициентов Kj при расчетах WACC необходимо подходить двояко. Если решается задача расчета WACC по текущему состоянию баланса при принятых показателях стоимости того или иного вида пассивов, то в качестве Kj используются фактические данные. Если прогнозируется WACC компании при использовании альтернативных источников финансирования, то для задания Kj должны использоваться или разработанные аналитические модели прогнозирования этого показателя, скорректированные экспертами, или результаты прогнозирования изменения доходности основных рыночных инструментов привлечения ресурсов с финансового рынка.
Известно несколько математических моделей прогнозирования коэффициента Ke: CAPM (capital asset pricing model), Гордона, Модильяни – Миллера, модель использования P/E ratio. Также используются ставки доходности по источникам привлечения активов.
Формулу расчета WACC можно сформулировать как:
Y – удельный вес отдельных составляющих как собственного (обыкновенных акций (е), привилегированных акций (р) и других составляющих (pr)), так и заемного капитала (dj) в структуре капитала компании, которые могут рассчитываться как по балансовой, так и по рыночной стоимости составляющих капитала;
K – стоимость обслуживания отдельных составляющих капитала, % годовых.
Показатель WACC играет определяющую роль при выборе компанией наиболее предпочтительного варианта инвестиционных проектов. Если IRR проекта меньше WACC компании, то реализация проекта приведет к снижению ее стоимости. Поэтому принимать следует проекты с IRR, величина которого больше WACC. Также WACC используется в качестве ставки дисконтирования при оценке стоимости компании.
1.1.5. Оценка стоимости компании
Метод дисконтированных денежных потоков
Метод дисконтированных денежных потоков является наиболее популярным способом оценки стоимости компаний. Автором метода дисконтированных денежных потоков (discounted cash flow, DCF) для оценки стоимости компании считается выдающийся американский экономист Ирвинг Фишер, который в 1930 г. в работе «Теория процентных ставок» ввел понятие чистой приведенной стоимости (net present value – NPV). С тех пор метод DCF стал одним из основных инструментов финансовых аналитиков. Наиболее распространенный вариант этого метода, который используется при оценке стоимости компаний, – «метод свободных денежных потоков для фирмы» (free cash flow to the firm, FCFF), или «метод средневзвешенной стоимости капитала» (weighted average cost of capital, WACC). Суть данного метода в том, что стоимость фирмы вычисляется путем дисконтирования ожидаемых свободных денежных потоков. Свободные денежные потоки для фирмы – это остаточные денежные потоки после оплаты всех операционных издержек и налогов, но до выплаты всех долговых обязательств. Денежные потоки дисконтируются с помощью средневзвешенной стоимости всех компонентов капитала (WACC) фирмы. В результате получается стоимость бизнеса (enterprise value, EV). Акционерная стоимость вычисляется из стоимости бизнеса путем вычитания стоимости чистого долга, добавления стоимости наличных денежных средств или их эквивалентов, а также вычитания (добавления) миноритарных долей.
Если компания не имеет долга, то ставка дисконтирования денежных потоков равна стоимости акционерного капитала, которая вычисляется согласно модели оценки финансовых активов (capital asset pricing model – CAPM) по формуле:
– ожидаемая доходность акционерного капитала (стоимость АК); re
– безрисковая ставка; rf
– доходность рыночного портфеля акций; rm
– премия за рыночный риск; rm – rf
– бета для модели CAPM. beta
Поскольку длительность периода прогнозирования носит неопределенный характер, формулу расчета стоимости компании представляют, как правило, в виде выражения, предусматривающего деление периода прогнозирования на два отрезка. Первый из них имеет фиксированную длительность (горизонт прогнозирования), например, 5—7 лет, в течение которых возможен прогноз объемов продаж компании, состояния ее макроэкономической среды и других факторов, от которых зависит денежный поток и ставка дисконтирования. Для второго отрезка принимаются постоянные значения годового денежного потока ставки дисконтирования, характерные для последнего года фиксированного периода прогнозирования.
Соответственно, стоимость компании складывается из стоимости на фиксированном горизонте прогнозирования и стоимости на всем последующем оставшемся периоде ее функционирования (остаточной стоимости):
V (T) – стоимость компании за фиксированный период ее функционирования T;
V (T+1, ∞) – остаточная стоимость компании за последующий неопределенный период ее функционирования (terminal value), которую, используя формулу Гордона, можно оценить как:
где g – среднегодовые темпы прироста свободного денежного потока, %.
Таким образом:
Второй важной модификацией формулы оценки стоимости действующей компании является формула, предусматривающая разделение потока FCF (свободного денежного потока) на две составляющие: поток, генерируемый действующим бизнесом компании без учета реализации новых инвестиционных проектов – FCFo, и поток, генерируемый перспективными проектами компании в будущем, – FCFj:
n – число новых инвестиционных проектов;
j – номер проекта.
Тогда стоимость компании будет выглядеть как:
Vo – стоимость компании при условии развития существующего бизнеса и видов продукции и услуг, предоставляемых компанией в момент проведения расчетов;
Vдоп. – дополнительная стоимость компании, связанная с реализацией компанией новых инвестиционных проектов, или стоимостная оценка перспектив ее будущего роста, вычисляемого по формуле:
Следовательно, стоимость компании при реализации ею эффективных (NPVj ≥0) инвестиционных проектов увеличивается на величину NPV реализуемых проектов:
Третья модификация формулы оценки стоимости компании используется в случае, если есть данные последнего баланса компании, позволяющие рассчитать инвестированный в компанию капитал (акционерный и заемный), и возможна оценка добавочной рыночной стоимости компании (MVA):
BC – балансовая стоимость капитала (собственного и заемного), инвестированного в компанию на последнюю отчетную дату (по состоянию баланса);
MVA – экономическая добавочная стоимость (market added value), приведенная к моменту оценки (или последней отчетной дате) с помощью ставки дисконтирования, равной средневзвешенной стоимости капитала компании на момент оценки (I = WACC), вычисленная по формуле:
где EVA – экономическая добавочная стоимость (economic value added), которая представляет собой (по теории Стюарта) разницу между чистой операционной прибылью после налогообложения (NOPAT = EBIT – Tax) и суммой расходов на обслуживание капитала компании (СС) за тот же период времени:
где WACC – средневзвешенная стоимость капитала компании (под капиталом компании понимают балансовую стоимость собственного и заемного капитала компании – BC).
Из приведенных выше формул следует, что максимум значения критерия MVA обеспечивает максимальную рыночную стоимость компании.
Разнообразие формул расчета прогнозной стоимости компании можно представить в виде таблицы.
Таблица №2. Формулы расчета прогнозной стоимости компании [30, с. 47]














1.2. Современные тенденции формирования стоимости компании
Современные тенденции формирования стоимости компании включают в себя оценку:
– отраслевого разделения компаний и применения разных мультипликаторов к компаниям из разных отраслей;
– величины денежного потока компании;
– ее организационной структуры;
– качества корпоративных процедур и корпоративного управления;
– роли совета директоров и наличия независимых директоров в его составе;
– механизмов контроля качества принимаемых решений и их реализации;
– гибкости компании и ее способности меняться;
– присутствия на разных рынках (в том числе международных);
– масштабируемости бизнеса компании или потенциала масштабируемости;
– транспарентности во взаимоотношениях со стейкхолдерами;
– умения правильного информирования о деятельности компании и формирования ее позитивного имиджа;
– отлаженности бизнес-процессов и бизнес-процедур;
– наличия (или отсутствия) судебных процессов и корпоративных споров (конфликтов), ковенанта на совершение различных корпоративных действий.
Если упростить, то оценка стоимости компании – это оценка ее внутренней бизнес-архитектуры и возможности присутствовать на рынке (-ах), расширяя свою долю и наращивая выручку, а также готовности покупателя выполнить (решить) стоящие перед ним задачи развития в случае приобретения компании.
В зависимости от отрасли, в которой работает компания, меняются как мультипликаторы, так и желание инвесторов вкладывать средства в них (в зависимости от среднеотраслевой нормы прибыли и профиля инвесторов, их инвестиционной декларации).
Задача владельцев (акционеров) и консультантов – убедить инвесторов в применении более высоких мультипликаторов и коэффициентов конкретно к данной компании.
Для этого, помимо внешней финансовой инфраструктуры и благоприятной среды, инвестиционные консультанты должны иметь аргументы, приводя которые, они смогут убедить инвесторов в верности оценки стоимости компании, рассматриваемой как объект приложения инвестиций.
Компания должна стремиться генерировать постоянный поток новостей, информируя о себе внешнюю среду. Для постоянного потока нужны поводы. Создание повода для позитивной новости – это маленькое положительное событие с точки зрения развития компании. Важно поддерживать поток новостей, что помогает и узнаваемости компании в целом, и дает повод и аргумент инвестиционным консультантам с точки зрения отстаивания позиций в правильном расчете оценки стоимости компании перед потенциальными инвесторами.



