Κριτήριο Λάιμπνιτς

- -
- 100%
- +
<Φαίνεται τέλειο. Τα νεύρα, οι πόροι, τα κύτταρα. Απ’ όσο μπορώ να δω, όλα φαίνονται σωστά>.
Ο Ντρου συγκατένευσε ικανοποιημένος.
Δοκίμασαν με λουλούδια, βολβούς, ένα μανιτάρι και ένα μικρό μπονσάι, μέσα σε γλάστρα.
Κάθε δείγμα εμφανιζόταν απολύτως αναλλοίωτο, μετά τη μεταφορά.
Στο μεσοδιάστημα, η Μαόκο είχε μετρήσει ξανά το gap του δεύτερου Μηχανήματος, χρησιμοποιώντας το πιο ακριβές όργανο.
Έβαλαν έναν φασόλι στην πλακέτα του δεύτερου Μηχανήματος και ενεργοποίησαν. Το φασόλι εμφανίστηκε πάλι, περίπου στα τρία μέτρα αριστερά από το μπολ με το νερό, στην ακριβή απόσταση που παρεμβαλλόταν ανάμεσα στα δύο Μηχανήματα.
Η Μπράις εξέτασε γρήγορα τον σπόρο και έκρινε πως ήταν τέλειος.
<Περνάμε στο κρέας>, ανακοίνωσε.
Το είχε ήδη φέρει.
Από μία ισοθερμική τσάντα έβγαλε μία λεκάνη με μπριζόλες.
Ο Μαρρόν τις κοίταξε με απληστία: είχε πεινάσει, ήδη, από τις 11 το πρωί.
Η καθηγήτρια Μπράις τον κοίταξε με ένα πονηρό χαμόγελο και του έδωσε την άδεια τσάντα, να την τοποθετήσει κάπου. Ο φοιτητής έγνεψε καταλαβαίνοντας το αστείο και προσποιούμενος ότι απογοητεύτηκε.
Η Μπράις πήρε ένα μαχαίρι από την κουζίνα του εργαστηρίου κι έκοψε ένα τετράγωνο κομμάτι μπριζόλας, με μήκος πλευράς στα 4 εκατοστά. Το πάχος του ήταν γύρω στα 8 χιλιοστά.
Το μετέφεραν μαζί στο Μηχάνημα 2 και η μικροσκοπική εξέταση έδειξε ότι ήταν σωστό.
Ο Μαρρόν το δοκίμασε.
<Η γεύση ήταν αυτή που περίμενε. Το ίδιο και η υφή του. Θα έλεγα ότι η μεταφορά δεν το άλλαξε με κάποιο τρόπο>.
<Αυτό ακριβώς που έπρεπε να συμβεί, εφόσον η θεωρία μας λέει ότι το Μηχάνημα ανταλλάσσει απευθείας δύο ποσότητες χώρου, ανεξάρτητα από το περιεχόμενό τους>, σχολίασε ο Ντρου. <Τι λέτε, δοκιμάζουμε με κάποια ζωική μορφή;> ρώτησε η Μπράις.
Ο καθηγητής παρέμεινε σκεπτική για λίγο και μετά αποφάσισε.
<Ναι, ας δοκιμάσουμε. Θα πρέπει να κάνουμε βιολογικές εξετάσεις στα προς μεταφορά δείγματα, για να είμαστε εντελώς σίγουροι. Αλλά, ως τώρα, τα αποτελέσματα που πήραμε επιβεβαιώνουν τη θεωρία ανταλλαγής χώρου>.
Σκέφτηκε λίγο ακόμη..
<Για λόγους βιοηθικής, ξεκινούμε με μορφές ζωής χωρίς νευρικό σύστημα. Αν κάτι δεν πάει καλά, τουλάχιστον δεν θα έχουν υποφέρει. Τα λέμε μετά το μεσημεριανό>, είπε κι έφυγε.
Ο Ντρου κι οι άλλοι επικεντρώθηκαν στη θεωρία, στην έρευνα μίας λύσης στο ζήτημα της ισχύος.
<Κάτι μας διαφεύγει>, είπε ο Σουλτς. <Από ό,τι έχουμε καταλάβει ως τώρα, η ενεργοποίηση του Μηχανήματος δημιουργεί έναν Σύνδεσμο εκτός φυσικών διαστάσεων μεταξύ των τμημάτων χώρου από τις πλάκες Α στη Β. Ο Σύνδεσμος διατηρείται για το μήκος του Planck και στο μεσοδιάστημα οι δύο χώροι ανταλλάσσονται>.
<Αν είναι όντως εκτός φυσικής διάστασης, τότε παραμορφώνουμε μία πολύ πυκνή διάσταση>, παρενέβη ο Κομπαγιάσι. <Μόνο έτσι δικαιολογείται η αναγκαιότητα υψηλότερης ισχύος όσο αυξάνει η απόσταση>.
<Έτσι φαίνεται>, συμφώνησε ο Σουλτς.
<Ας προσπαθήσουμε να το οπτικοποιήσουμε, ίσως μας βοηθήσει>, παρενέβη ο Καμαράντα. Έπειτα, πήρε το ύφος καθηγητή που έκανε μάθημα στους φοιτητές του. <Όλοι εμείς ζούμε σε έναν χώρο που τον αντιλαμβανόμαστε ως τρισδιάστατο, με τις γνωστές διαστάσεις μήκους, πλάτους και ύψους. Ξέρουμε, όμως, ότι η βαρύτητα αλλοιώνει τον χώρο κι αυτό ήδη μας δυσκολεύει, γιατί δεν μπορούμε να συλλάβουμε αυτή την κατάσταση. Έτσι, χρησιμοποιούμε την κλασσική παρομοίωση του τραμπολίνο, στο οποίο μία ελαστική επιφάνεια, ο τάπητας, αντιπροσωπεύει τον τρισδιάστατο χώρο. Αν ακουμπήσουμε ένα αντικείμενο στον τάπητα, θα αλλοιωθεί η μορφή του, πέφτοντας κάτω από το βάρος του ίδιου του αντικειμένου. Όσο πιο βαρύ είναι το αντικείμενο τόσο πιο μεγάλη θα είναι η αλλοίωση, δηλαδή η πτώση του τάπητα. Στη θέση του βάρους λέμε μάζα, η οποία είναι ανεξάρτητη από τη βαρύτητα αλλά, αντίθετα, παράγει βαρύτητα. Έτσι βλέπουμε ότι όσο μεγαλώνει η μάζα, μεγαλώνει κι η αλλοίωση. Αν ακουμπούσαμε στον τάπητα ένα δεύτερο αντικείμενο, μικρότερης μάζας από το πρώτο, εκείνο θα κυλούσε μέσα στην αλλοίωση, πλησιάζοντας το αντικείμενο με τη μεγαλύτερη μάζα. Αυτή τη συμπεριφορά την ορίζουμε ως έλξη βαρύτητας. Στην πραγματικότητα και το αντικείμενο με τη μικρότερη μάζα αλλοιώνει τον χώρο, με τη σειρά του, έτσι ασκεί έλξη βαρύτητας στα αντικείμενο με τη μεγαλύτερη μάζα, παρόλο που είναι μικρότερο. Με το παράδειγμα του τραμπολίνο, που είναι δυσδιάστατο, μπορούμε να συλλάβουμε την έννοια της αλλοίωσης του χώρου, λόγω βαρύτητας. Πράγματι, εκείνη αλλοιώνει τον τάπητα προς μία κατεύθυνση κάθετη προς επιφάνειά του, προσθέτοντας μία επιπλέον διάσταση στη γεωμετρία του. Υποθέτουμε, τώρα, ότι παίρνουμε το δικό μας τραμπολίνο και το ακουμπάμε σε μία πλάκα από γέλη, που ξέρουμε ότι είναι ένα στερεό κολλοειδές ελαστικό, του οποίου η μορφή αλλοιώνεται κατά βούληση. Το Μηχάνημα με το οποίο πειραματιζόμαστε υφίσταται στον τρισδιάστατο χώρο, που εκπροσωπείται από το τραμπολίνο και, φαίνεται, πως όταν ενεργοποιείται μπαίνει κατευθείαν στην πλάκα με τη γέλη, η οποία αντιπροσωπεύει μία πρόσθετη διάσταση. Για να συμπυκνωθεί αλλοιώνουμε μία ποσότητα γέλης, δημιουργώντας ένα κανάλι, τον Σύνδεσμο, στις άκρες του οποίου είναι συνδεδεμένο το τραμπολίνο- ο κανονικός χώρος- και ανταλλάσσουν μεταξύ τους ποσότητες χώρου με τις οποίες συνδέεται. Μετά την Ανταλλαγή, ο Σύνδεσμος διαλύεται και η γέλη επιστρέφει στην κανονική της κατάσταση>.
Ο Καμαράντα έκανε μία παύση μετά την μακρά έκθεση, μετά συνέχισε το συλλογισμό του.
<Προφανώς, η γέλη είναι πολύ πηχτή, έτσι χρειάζεται πολύ ενέργεια για να το συμπυκνώσει. Για κάποιο λόγο, τον οποίο δεν γνωρίζουμε, ο Σύνδεσμος διατηρείται μόνο για το μήκος Planck, παρόλο που η προμήθεια ενέργειας είναι πολύ μεγαλύτερη από αυτό. Την κρατάμε για μισό δευτερόλεπτο, σωστά;> ρώτησε απευθυνόμενος στον Κομπαγιάσι, που συγκατένευσε.
<Πρέπει να υπάρχει κάτι που απαγορεύει την ύπαρξη του Συνδέσμου για διάρκεια μεγαλύτερης του μήκους Planck. Αν διατηρούταν για μεγαλύτερο διάστημα τι θα συνέβαινε; Ίσως, οι δύο ανταλλασσόμενοι χώροι να ανταλλάσσονταν ξανά; Θα προκαλούσε συνεχή ταλάντωση ανταλλαγής των δύο χώρων; Δεν το βλέπω σαν πρόβλημα για τη γεωμετρία του χώρου. Απλά, απενεργοποιώντας το Μηχάνημα, οι δύο χώροι θα βρίσκονταν στον τελευταίο σχηματισμό που απέκτησαν. Μπορεί όμως να ισχύει, ότι ο αν Σύνδεσμος διαρκέσει περισσότερο από το μήκος Planck, να εκδηλωθεί ένα παράδοξο, τα χαρακτηριστικά του οποίου δεν μπορώ να φανταστώ τώρα και κάποιος, άγνωστος ως τώρα, Νόμος της Φύσης να παρέμβει για να τον εμποδίσει>.
Έμειναν όλοι σιωπηλοί, για να σκεφτούν τους συλλογισμούς του Ινδού μαθηματικού.
Μετά από μερικά λεπτά, η Νόβακ σηκώθηκε, ξαφνικά, χλωμή στο πρόσωπο.
<Ω, Θεέ μου!> αναφώνησε με πνιχτή φωνή.
Όλοι την κοίταξαν τρομαγμένοι.
<Δεν υπάρχει παράδοξο>, συνέχισε με ζοφερό τόνο. <Αντίθετα, υπάρχει παραβίαση>.
Πήγε στον πίνακα και έσβησε ένα μέρος των εξισώσεων που με τόσο κόπο είχαν βρει, σαν να ήταν μουτζούρες κάποιου κακού φοιτητή. Σχεδίασε το τραμπολίνο του Καμαράντα, με οπτική ¾ κι έναν καλοσχηματισμένη σωλήνα, που περνώντας από κάτω ένωνε δύο σημεία του τάπητα.
<Αυτός είναι ο Σύνδεσμος, όπως τον ονομάσαμε>, έδειξε τον σωλήνα. <Και μόλις δημιουργήθηκε και η Ανταλλαγή ξεκίνησε. Είμαστε στο σημείο μηδέν της διαδικασίας. Ο όγκος του χώρου Α φεύγει κι έρχεται ο Σύνδεσμος, πώς και με ποια μορφή δεν γνωρίζουμε ακόμη, και ξεκινά να ταξιδεύει προς την αντίθετη κατεύθυνση. Ταυτόχρονα, ο όγκος του χώρου Β κάνει το ίδιο πράγμα στη δική του μεριά και ξεκινά να ταξιδεύει προς την αντίθετη έξοδο του Συνδέσμου. Διανύει το μήκος Planck και οι δύο χώροι φτάνουν στον προορισμό τους, βγαίνουν από τον Σύνδεσμο και τοποθετούνται εκεί που ήταν ο άλλος χώρος. Είμαστε στο πρώτο διάστημακαι η διαδικασία έχει τελειώσει.>
Έκανε μία παύση για εντυπωσιασμό.
<Αλλά, μεταξύ του διαστήματος 0 και του διαστήματος 1>, είπε με αυξανόμενη ένταση στη φωνή της, <τι υπάρχει στη θέση των διαστημάτων που ταξιδεύουν μέσα στον Σύνδεσμο;> κατέληξε με μία υστερική φωνή.
Για μία στιγμή, ο χρόνος φάνηκε να σταματά.
<Όχι…> είπε ο Καμαράντα με το βλέμμα θολό.
<Κι όμως, ναι!>, φώναξε εκείνη, ακόμη πιο δυνατά. <Υπάρχει το «Τίποτα»>, ανακοίνωσε με άγριο τρόπο.
Τα μαλλιά στο κεφάλι του Ντρου σηκώθηκαν.
Ο Κομπαγιάσι άνοιξε το στόμα του και το σαγόνι του κρέμασε.
Το πρόσωπο του Σουλτς ήταν ένα σκληρό προσωπείο με την έκφραση της απόλυτης αμηχανίας.
Ο Μαρρόν κοιτούσε σταθερά μπροστά του, σαν να τα είχε χαμένα.
Η Μαόκο, αντίθετα, παρατηρούσε ευχαριστημένη τη Νόβακ και είχε ένα περίεργο χαμόγελο.
<Το «Τίποτα», καταλαβαίνετε;> συνέχισε η Νορβηγίδα. <Κι ίσως εκεί τελειώνει όλη η ενέργεια που προκύπτει από τους υπολογισμούς, η ενέργεια που βγαίνει από το Σύμπαν μας αλλάζοντας την ενεργειακή του ισορροπία. Είναι μία παραβίαση του αξιώματος του Λαβουαζιέ, σύμφωνα με το οποίο τίποτα δεν δημιουργείται και τίποτα δεν καταστρέφεται, αλλά όλα αλλάζουν μορφή. Κι ίσως γι΄αυτό ο Σύνδεσμος μπορεί να διατηρηθεί κατά μέγιστο, μέχρι το μήκος του Planck18, γιατί αλλιώς το «Τίποτα» θα απορροφούσε όλη την ενέργεια που έχει μέσα του. Αν του δίναμε αρκετό χρόνο, ίσως να απορροφούσε την ενέργεια όλου του Σύμπαντος!>
Στο εργαστήριο έπεσε νεκρική σιγή.
Ήταν σαν η παγωνιά από ένα σκοτάδι πιο βαθύ από ό,τι θα μπορούσε να φανταστεί ο άνθρωπος, να έπεσε πάνω τους και να κρυστάλωσε τα μυαλά και τις συνειδήσεις τους.
Η Νόβακ έμεινε όρθια στον πίνακα, με την κιμωλία στο χέρι.
Πέρασε ένα ολόκληρο λεπτό, όπου κανείς δεν κινήθηκε και μετά ο Κομπαγιάσι πλησίασε στον πίνακα, πήρε μία κιμωλία κι έκανε μερικούς υπολογισμούς σε ένα ελεύθερο τμήμα της επιφάνειας του πίνακα.
<Όχι>, είπε στο τέλος. <Δεν μπορεί να είναι έτσι. Η συνάρτηση της τριάδας μετατόπισης δείχνει ότι η ισχύς αυξάνεται μόνο κατά το τετράγωνο της απόστασης, ανεξάρτητα από τον όγκο του χώρου που ανταλλάσσεται. Υποθέτοντας, λοιπόν, ότι διατηρείται σταθερά αυτός ο όγκος, αυτό θα καθορίσει ακόμη και αυτό που θα απορροφήσει το «Τίποτα» από την ενέργεια που εισάγουμε στο πείραμα, ενόσω οι δύο χώροι ταξιδεύουν προς τον νέο τους προορισμό. Δεν βλέπω γιατί αυξάνοντας την απόσταση ανταλλαγής και διατηρώντας σταθερό τον όγκο, το «Τίποτα» θα μπορούσε να αυξήσει τη δυνατότητα απορρόφησής του>.
Η Νόβακ κοίταξε με μάτια ορθάνοιχτα, σκεπτόμενη μανιωδώς.
Μετά από μερικά ατελείωτα δευτερόλεπτα ρίγησε ολοφάνερα, χλομιάζοντας ακόμη περισσότερο.
<Όχι…όχι…είναι τρέλα, ασύλληπτο>, τραύλισε, <Δεν είναι δυνατόν>.
<Τι πράγμα, καθηγήτρια Νόβακ;> ρώτησε θορυβημένος ο Κομπαγιάσι.
<Αυτό!> κι η Νόβακ έδειξε τον Σύνδεσμο που είχε σχεδιάσει στον πίνακα.
Οι άλλοι κοιτούσαν σαν χαζοί.
<Μα δεν καταλαβαίνετε;> φώναξε. <Αλλοιώνουμε απευθείας το «Τίποτα»! Ο Σύνδεσμος σχηματίζεται από το «Τίποτα»! Γίνεται από το «Τίποτα»! Ο χώρος Α μπαίνει στο «Τίποτα» και ξαναβγαίνει στη θέση του χώρου Β, ο οποίος καταλήγει στη θέση του χώρου Α, περνώντας από το «Τίποτα»!>
Αυτό αποπροσανατόλισε εντελώς τους παρευρισκόμενους. Ήταν σαν να έχαναν τη γη κάτω από τα πόδια τους. Σαν κάθε τους βεβαιότητα, κάθε βάση πάνω στην οποία είχαν χτίσει τις γνώσεις τους να πετάγονταν, έτσι ξαφνικά.
<Μα πώς γίνεται…πώς μπορεί κάτι που υπάρχει…>, τόλμησε να πει ο Ντρου<…κάτι που υπάρχει…να μπει στο «Τίποτα», παύοντας έτσι απλά να υπάρχει και να ξαναβγαίνει από το «Τίποτα», ξεκινώντας πάλι να υπάρχει με τις ίδιες αρχικές ιδιότητες, αλλά σε κάποιο άλλο μέρος;>
Η Νόβακ ακούμπησε ένα χέρι στο μέτωπο και ακούμπησε στον πίνακα. Φαινόταν να ζαλίζεται. Η Μαόκο την πλησίασε και την πήρε από το μπράτσο, πηγαίνοντάς την να καθίσει στην πλησιέστερη καρέκλα. Πήγε να της φέρει ένα ποτήρι νερό, το οποίο η Νορβηγίδα δέχτηκε με ένα βλέμμα ευγνωμοσύνης.
<Αυτό είναι ένα καθαρά φιλοσοφικό ζήτημα>, απάντησε η Νόβακ στον Ντρου, με χαμηλή και ήρεμη φωνή, ενώ έπινε. <Ή καλύτερα, θα ήταν ένα καθαρά φιλοσοφικό ζήτημα αν δεν είχαμε μπροστά μας μία πειραματική εκδήλωση εκμετάλλευσης του «Τίποτα». Το «Τίποτα» δεν υπάρχει και ούτε μπορεί να οριστεί, αλλιώς ο ίδιος ο ορισμός θα το έκανε να παύει να είναι το «Τίποτα». Κι εμείς το εκμεταλλευτήκαμε. Νιώθω πως έτσι είναι. Δεν βλέπω άλλες λύσεις. Αυξάνοντας την απόσταση ανταλλαγής, αυξάνεται και το μήκος του Συνδέσμου που έχει κατασκευαστεί από το «Τίποτα» κι αποτελείται από το «Τίποτα». Εφόσον, προφανώς, το «Τίποτα» απορροφά με τη μέγιστη αποτελεσματικότητα την ενέργεια που του παρουσιάζεται, τότε ο Σύνδεσμος είναι εκείνος που κατασπαράσσει όλη αυτή την ενέργεια. Αυξάνοντας το μήκος του Συνδέσμου, αυξάνεται υπερβολικά και η ενέργεια που είναι απαραίτητη για να τον δημιουργήσει και να τον διατηρήσει για το διάστημα Planck. Ο Σύνδεσμος ακολουθεί την ανταλλαγή, αυτό ναι, αλλά σε μία άφταστη τιμή σε όχι ασήμαντες αποστάσεις>.
Και πάλι σιωπή, αλλά αυτή τη φορά στα πρόσωπα του Ντρου, του Σουλτς, του Καμαράντα, του Μαρρόν και του Κομπαγιάσι διάβαζε κανείς ξεκάθαρα το θαυμασμό για τη διορατικότητα της Νόβακ. Είχαν δει ότι το μυαλό αυτής της γυναίκας έβλεπε εκεί που εκείνοι δεν μπορούσαν να δουν κι έφτανε εκεί που εκείνοι δεν μπορούσαν να φτάσουν.
Την ίδια στιγμή, τα πρόσωπά τους εξέφρασαν, επίσης, την απελπισία για την ήττα που επέβαλλαν αυτές οι ιδέες και για τα ανυπέρβλητα εμπόδια που ύψωναν.
«Είναι τρέλα ...καθαρή τρέλα...> μουρμούρισε ο Σουλτς, κουνώντας το κεφάλι του αρνούμενος.
Πέρασαν έτσι μερικά λεπτά, στη συνέχεια, ήσυχα και άνετα. Η Μαόκο πήγε και κάθισε στη γωνία του πάγκου κοντά στη Νόβακ, η οποία καθόταν. Την κοίταξε από πάνω ως κάτω και της μίλησε σε φιλικό τόνο, εκπλήσσοντας τους παρευρισκόμενους, οι οποίοι πριν δεν είχαν προσέξει καν το ποτήρι με το νερό που της είχε προσφέρει.
<Καθηγήτρια Νόβακ, η ανάλυσή σας δείχνει ότι δεν υπάρχουν βιώσιμες λύσεις στο πρόβλημα, δεδομένου ότι το Σύμπαν μας είναι ένα απομονωμένο σύστημα και το Μηχάνημα, ουσιαστικά, σπαταλά ενέργεια εκτός αυτού του συστήματος, αλλάζοντας το ενεργειακό ισοζύγιο>.
Η Νόβακ συγκατένευσε αργά.
<Αλλά αν, αντί να θεωρούμε το Σύμπαν μας ένα απομονωμένο σύστημα, το θεωρούσαμε ως απλά ένα κλειστό σύστημα19, τοποθετημένο μέσα σε ένα μεγαλύτερο σύστημα, δεν πιστεύετε ότι θα μπορούσαμε να μελετήσουμε πιο εύκολα τη συμπεριφορά του;>
Η Μαόκο κοίταξε τη Νόβακ με μάτια ορθάνοικτα, έκπληκτη.
Κανείς δεν τολμούσε να μιλήσει, δεδομένης της σπουδαιότητας της υπόθεσης.
Μετά από λίγο, όμως, Σουλτς στάθηκε συνοφρυωμένος και πήγε στον πίνακα, παίρνοντας μαζί του στυλό και χαρτί. Αντέγραψε σε ένα χαρτί όλες τις βασικές εξισώσεις και στη συνέχεια διαγράφοντάς τες όλες από την επιφάνεια του πίνακα.
Άρχισε να γράφει μανιωδώς με την κιμωλία, αρχίζοντας με τις θεμελιώδεις εξισώσεις της θερμοδυναμικής και, στη συνέχεια, την αντικαθιστώντας τους παράγοντες με τμήματα που προέρχονταν από τα αποτελέσματα της θεωρίας τους.
Ο Ντρου κι ο Μαρρόν πήγαν σύντομα κοντά του για να βοηθήσουν, ενώ ο Καμαράντα πίσω τους ήταν προσεκτικός στην επίσημη ορθότητα αυτού του μαθηματικού συλλογισμού. Ο Κομπαγιάσι κοιτούσε απορροφημένος τον πίνακα, στον οποίο διαμορφωνόταν μια νέα, συγκλονιστική αντίληψη του Σύμπαντος.
Κανείς δεν είδε ότι η Μαόκο εξακολουθώντας να κάθεται στον πάγκο λίγα μέτρα πιο πίσω από εκείνους, πέρασε απαλά το μικρό χέρι της μέσα στα ξανθά μαλλιά της Νόβακ, χαϊδεύοντας την.
Κεφάλαιο XIV
Στις δύο το απόγευμα, η καθηγήτρια Μπράις μπήκε στο εργαστήριο μεταφέροντας ένα κουτί από το οποίο κατά καιρούς έβγαιναν ξαφνικοί θόρυβοι.
Αμέσως παρατήρησε ότι κανείς δεν είχε μετακινηθεί από εκεί, κανείς δεν είχε πάει να φάει ακόμη. Κάποιοι στον πίνακα έλυναν ξανά εξισώσεις και διόρθωναν γραφήματα, άλλοι στους ελεύθερους πάγκους έγραφαν με μανία σε φύλλα χαρτιού και έκαναν υπολογισμούς με την αριθμομηχανή. Κάθε τόσο, κάποιος συμβουλευόταν το φυλλάδιο του Μηχανήματος, έπαιρνε από εκεί έναν αριθμό και τον έβαζε στις εξισώσεις τους και στη συνέχεια ανέπτυσσε τα επόμενα βήματα.
Η Μπράις άφησε το κουτί σε ένα ράφι και κάθισε σε μια γωνιά, περιμένοντας. Θα έπρεπε να είναι ένα κρίσιμο στάδιο, το κατάλαβε από τους έντονους ρυθμούς με τους οποίους εργάζονταν οι συνάδελφοί της και από τα αδυνατισμένα πρόσωπά τους, λόγω της υπερβολικής συγκέντρωσης και αφοσίωσης.
Ο Καμαράντα ήταν σε έναν πάγκο, σκυμμένος πάνω σε ένα φύλλο χαρτί. Τελείωσε το τελευταίο βήμα και έγραψε το αποτέλεσμα μετά το ίσον. Έριξε μία γρήγορη ματιά στην ανάπτυξη και συγκατένευσε, ενώ στη συνέχεια σηκώθηκε και πήγε στον Σουλτς με το φύλλο.
<Η εντροπία είναι 415J / Κ>.20
Ο Σουλτς έβαλε την τιμή σε μια συνάρτηση, στον πίνακα.
<Κομπαγιάσι, έχετε την ενέργεια;>
Ο Ιάπωνας ήταν απορροφημένος με τη λύση ενός μάλλον πολύπλοκου ολοκληρώματος. Σήκωσε το χέρι, για να δείξει να περιμένουν μια στιγμή, ενόσω έδινε τιμές στην αριθμομηχανή. Έκανε τους τελευταίους υπολογισμούς και μετέφερε το αποτέλεσμα σε ένα χαρτί. Έλεγξε και πάλι και τα βρήκε όλα σωστά.
<163000J>,21 ανακοίνωσε.
Ο Σουλτς έβαλε και αυτή την τιμή, ενώ ο Ντρου τους έφερε τα αποτελέσματα των εργασιών που είχε κάνει με τον Μαρρόν.
<Θεωρείστε το πάχος του επιχρίσματος ίσο με δύο δισεκατομμύρια έτη φωτός. Είναι η καλύτερη προσέγγιση που μπορούμε να σας δώσουμε αυτή τη στιγμή>.
Ο Γερμανός έγραψε τον αριθμό σε μια εξίσωση κοντά στο τυποποιημένο σχέδιο μιας σφαίρας η οποία καλυπτόταν από έναν ομόκεντρο κέλυφος.
Η Νόβακ ήταν στον πίνακα με τον Σουλτς και άρχισε να αναπτύσσει τις εξισώσεις με τα καινούργια δεδομένα.
Από έναν πάγκο η Μαόκο σηκώθηκε ακτινοβολώντας, πήγε στον πίνακα με το φυλλάδιο στο ένα χέρι και τις σημειώσεις της στο άλλο. Με το δάχτυλο επεσήμανε σε έναν πίνακα στο φυλλάδιο.
<Υπάρχει! Είναι η παράμετρος R6!>, δήλωσε θριαμβευτικά. <Διατηρείται έως τα 190 μV>.
Ο Σουλτς έγραφε 190*10-6 στη θέση του x σε έναν τύπο και έκανε τους υπολογισμούς. Στη συνέχεια περίμενε τη Νόβακ η οποία, μόλις έφτασε στο τέλος των δικών της υπολογισμών και σε κάποια αποτελέσματα. Ο Σουλτς τα χρησιμοποίησε αμέσως μαζί με τα δικά του σε μια νέα εξίσωση.
Εργάστηκε πυρετωδώς, για αρκετά λεπτά, ενώ οι συνάδελφοί του τον παρατηρούσαν.
Έφτασε στο τελικό στάδιο και δίστασε.
Η εξίσωση τώρα περιορίστηκε σε λίγους παράγοντες κι εκείνος φοβόταν πολύ να κάνει το τελικό βήμα και να μάθει το αποτέλεσμα.
Έτριψε τα μάτια του που ήταν κόκκινα και γύρω τους είχαν μαύρους κύκλους, πήρε μια βαθιά ανάσα και έλυσε εκείνο το απόσπασμα.
Έμεινε να κοιτά τον τελευταίο αριθμό που είχε γράψει στα δεξιά του ίσον, σαν να μην το έβλεπε πραγματικά.
Δεν μπορούσε να το πιστέψει.
Αλλά, όντως, ήταν έτσι.
Η Νόβακ συγκατένευσε, ενώ τη μιμήθηκαν κι ο Καμαράντα με τον Ντρου. Η Μαόκο κι ο Κομπαγιάσι χαμογέλασαν ο ένας στον άλλον κοιτάζοντας μία τον πίνακα, μία τους συναδέλφους τους. Ο Μαρρόν έγειρε σε έναν πάγκο εξαντλημένος.
<Το θερμοδυναμικό σύστημα είναι σε ισορροπία>, ανακοίνωσε ο Σουλτς με καθαρό κι επίσημο τόνο. <Θεωρώντας το Σύμπαν ως ένα κλειστό θερμοδυναμικό σύστημα, τοποθετημένο μέσα σε ένα περίβλημα πάχους δύο δισεκατομμυρίων ετών φωτός, και ρυθμίζοντας κατάλληλα την παράμετρο R6, την οποία προσδιόρισε η δεσποινίς Γιαμαζάκι, μπορούμε να μετρήσουμε την τριάδα μετατόπισης, έτσι ώστε να ανταλλάσσουμε όγκους του χώρου από εδώ σε οποιοδήποτε σημείο στο γνωστό Σύμπαν, με την ανάλυση που εισήχθη με το μήκος Planck. Ο όγκος, τώρα, εισέρχεται στην εξίσωση, σε αντίθεση με πριν, αλλά τώρα η μέγιστη ισχύς που απαιτείται για την ανταλλαγή ενός όγκου ενός κυβικού μέτρου, σε μια απόσταση 10 δισεκατομμυρίων ετών φωτός, είναι 5 GW. Μια αξιοσημείωτη ισχύς, φυσικά, και η οποία απαιτεί μια ειδική μονάδα παραγωγής ενέργειας, προφανώς, αλλά που στο σύνολό της είναι εφικτή>.
Η καθηγήτρια Μπράις πλησίασε.
<Μπορώ να μάθω τι συνέβη;>
<Αναδιαρθρώσαμε την αντίληψη του Σύμπαντος> είπε ο Ντρου, με φωνή γεμάτη συγκίνηση. <Η ιδιόμορφη λειτουργία του Μηχανήματος μεταφοράς μας οδήγησε στην εξέλιξη του μοντέλου πάνω στο οποίο βασιζόταν η Επιστήμη, ως τώρα. Από τώρα και στο εξής, το θερμοδυναμικό σύστημα πρέπει να θεωρηθεί ότι αποτελείται από ένα παχύ περίβλημα εντός οποίου υπάρχει το Σύμπαν που ξέρουμε. Το περίβλημα και το Σύμπαν μας θα μπορούν να ανταλλάσσουν ενέργεια και στις δύο κατευθύνσεις, διατηρώντας ένα σταθερό ενεργειακό ισοζύγιο. Ο νόμος της διατήρησης της ενέργειας τηρείται, με ένα παρόμοιο μοντέλο. Σε αυτό το μοντέλο, το περίβλημα είναι ένα απλό μεταφορικό σχήμα που επιτρέπει το χειρισμό των θερμοδυναμικής του όλου συστήματος, και το κάνει να λειτουργήσει. Από την άποψη του χωροχρόνου, ωστόσο, δεν θα πρέπει να θεωρείται ως φυσική οντότητα, εννοώ όπως ένα κέλυφος, δεδομένου ότι σε επίπεδο διάστασης είναι πραγματικά δίπλα στο χωροχρονικό ιστό του γνωστού Σύμπαντος. Αυτό επιτρέπει στο Μηχάνημα να λειτουργεί, επειδή κάθε σημείο του Σύμπαντός μας είναι δίπλα σε ένα σημείο του περιβλήματος. Όταν το Μηχάνημα ενεργοποιείται, ως εκ τούτου, η πλάκα οδηγείται στο σημείο Α του περιβλήματος δίπλα σε αυτό, σαν να άνοιγε μια πόρτα, και δημιουργεί ένα κανάλι μεταφοράς το οποίο έχουμε ονομάσει Σύνδεσμο, το οποίο έχει το άλλο άκρο συνδεδεμένο σε άλλο το σημείο του Σύμπαντος, που ορίζεται από τις παραμέτρους που έχουμε θέσει. Μια κρίσιμη παράμετρος, η R6, σημαίνει ότι ο όγκος των ανταλλαγών μεταξύ των χώρων Α και Β μπορεί να πραγματοποιηθεί με μία βιώσιμη ποσότητα ενέργειας>.
Ο Βιολόγος καταλάβει μόνο σε γενικές γραμμές την ομιλία του Ντρου, αλλά της αρκούσε. Το σημαντικό ήταν ότι λειτουργούσε.
<Πρέπει να δώσουμε ένα όνομα σε αυτό το νέο μοντέλο>, είπε ο Μαρρόν.
<Σωστά!> ενέκρινε ο Καμαράντα, ο γκουρού των μαθηματικών μοντέλων. <Προτείνω να το ονομάσουμε απλά «το Σύστημα». Είναι εύκολο να το θυμόμαστε και γρήγορα να το πεις>.
<Συμφωνώ>, είπε ο Ντρου. <Τι λέτε γι’ αυτό;> ρώτησε τους άλλους.
<Από μεριάς μου, εντάξει>, είπε ο Σουλτς, και οι άλλοι συμμερίστηκαν την άποψή του γνέφοντας ικανοποιημένοι.
<Τέλεια>, δήλωσε ο Ντρου. <Τώρα, όμως, όλοι για φαγητό!> διέταξε εγκάρδια.
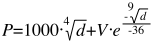
Ο Μαρρόν ήταν η τελευταίος που βγήκε. Στο κατώφλι της πόρτας γύρισε να κοιτάξει τον πίνακα, στον οποίο η τελική εξίσωση για τον υπολογισμό της ισχύος φαινόταν ξεκάθαρα. Ήταν απίστευτα απλή, παρά την τρομερή δουλειά που είχε χρειαστεί και στην απλοποιημένη μορφή της παρουσιαζόταν ως εξής22:

όπου:
P = ισχύς σε Watt
d = απόσταση ανταλλαγής, σε μέτρα
V = όγκος ανταλλαγής, σε κυβικά μέτρα
Η Μπράις είχε ήδη φάει, φυσικά, έτσι παρέμεινε στο εργαστήριο για να διορθώσει κάποιες εργασίες των φοιτητών της, που είχε στην τσάντα της.
Όλοι οι άλλοι πήγαν τρέχοντας προς το εστιατόριο του Πανεπιστημίου, εξαντλημένοι και πεινασμένοι.
Μπαίνοντας και βλέποντας την σχεδόν άδεια αίθουσα, ο Μαρρόν θυμήθηκε ότι, εφόσον δεν πήγε στο μεσημεριανό γεύμα στην ώρα του, δεν θα μπορούσε να συναντήσει τη Σαρλίν. Ίσως να ήταν θυμωμένη, αλλά ήλπιζε ότι εξηγώντας της πως ήταν απασχολημένος με το «ευαίσθητο πείραμά» του, θα της περνούσε.
Το εστιατόριο προσέφερε ακόμα μια αξιοπρεπή ποικιλία και όλοι σερβιρίστηκαν απλόχερα. Μοιράστηκαν σε κάποια τραπέζια για να αποβάλλουν την ένταση της ολοκληρωτικής βύθισης, που είχαν ζήσει όντες ο ένας δίπλα στον άλλον για πολλές ώρες. Έτρωγαν ως επί το πλείστον σιωπηλοί, και οι λίγες φράσεις που αντάλλασσαν αφορούσαν το κλίμα, το κλασικό θέμα συζήτησης που ήταν χαλαρωτικό και δεν κούραζε.
Έφαγαν ήρεμα και, μόνο γύρω στις τέσσερις, επέστρεψαν νωθρά στο εργαστήριο. Εκείνη την ημέρα είχαν φέρει επανάσταση στην Επιστήμη, δεν υπήρχε λόγος να βιαστούν άλλο.
Βρήκαν την Μπράις που κουνούσε το κεφάλι της λυπημένη, ενώ τραβούσε κόκκινες γραμμές στο γραπτό ενός φοιτητή.
Γύρισε προς την ομάδα που μπήκε και κούνησε στον αέρα το γραπτό.
<Σύμφωνα με αυτόν τον φοιτητή, ένα διάλυμα νερού και 15% χλωριούχο νάτριο είναι ένα εκρηκτικό μίγμα, αν αυτό θερμανθεί στους 38 βαθμούς Κελσίου, σε ατμοσφαιρική πίεση. Τα προϊόντα της αντίδρασης που υπολογίζει είναι τόσο λανθασμένα που δεν ξέρω αν έχω εμπιστοσύνη να τον αφήσω να εκτελέσει τα υπόλοιπα πειράματα που απαιτούνται για το μάθημα. Φοβάμαι ότι θα μπορούσε να ανταγωνιστεί με κάποιον που ξέρω, έναν ειδικό στις ξαφνικές εκρήξεις>, είπε κι έκλεισε το μάτι στον Ντρου.






