Инвестиционная оценка. Инструменты и методы оценки любых активов

- -
- 100%
- +

Можно привести примеры другого рода. Возьмем инвестора, купившего акцию какой-то компании, скажем Boeing. Этот инвестор изучил положение компании и пришел к выводу, что стоит ожидать доходности, составляющей 30 % за год. Однако фактическая доходность за этот период едва ли будет равна 30 %. Скорее всего, она окажется значительно выше или ниже ожидаемой. Распределение доходности данной инвестиции показано на рисунке 4.2.

Помимо ожидаемого дохода инвестор должен принять во внимание следующие факторы. Во-первых, заметим, что фактические доходы в данном случае отличаются от ожидаемых. Разброс фактических доходов относительно ожидаемых характеризуется дисперсией (или стандартным отклонением) распределения. Чем выше отклонение фактических доходов от ожидаемых, тем выше дисперсия. Во-вторых, предположение относительно положительных или отрицательных доходов выражается при помощи асимметрии распределения (skewness of the distribution). Распределение на рисунке 4.2 имеет положительную асимметрию, поскольку значительным положительным доходам приписывается большая вероятность, чем значительным отрицательным доходам. В-третьих, для выражения формы «хвостов» распределения служит такой показатель, как эксцесс кривой распределения (kurtosis of the distribution). Чем толще «хвосты», тем выше эксцесс. С точки зрения инвестиций данный показатель показывает склонность цены данной инвестиции «скакать» в любом направлении (вверх или вниз относительно текущего уровня).
В специальном случае, когда распределение доходов представлено нормальной кривой, инвесторы могут не беспокоиться об асимметрии и эксцессах, поскольку в этих условиях нет никакой асимметрии (нормальное распределение симметрично), а эксцесс нормального распределения по определению равен нулю. Рисунок 4.3 иллюстрирует распределение доходов двух инвестиций с симметричными доходами.

Когда распределение доходов принимает подобную форму, характеристики любой инвестиции могут быть выражены двумя переменными: ожидаемым доходом, представляющим положительный потенциал данной инвестиции, и стандартным отклонением, или дисперсией, представляющей опасность. В данном сценарии рациональный инвестор, столкнувшийся с двумя инвестициями, характеризуемыми одинаковыми стандартными отклонениями, но различными ожидаемыми доходами, без сомнения, выберет инвестицию с более высоким доходом.
В более общем случае, когда распределение не является ни нормальным, ни симметричным, не трудно понять, что инвесторы будут выбирать между инвестициями только на основе ожидаемого дохода и дисперсии, если их функции полезности позволяют им это сделать[23]. Однако, скорее всего, они предпочтут распределение с положительной асимметрией распределению с отрицательной асимметрией, а распределение с меньшей вероятностью скачков (т. е. с меньшим эксцессом) окажется более предпочтительным, чем распределение с большей вероятностью скачков (с более высоким эксцессом). Другими словами, инвесторы, предпринимая инвестицию, предпочтут скорее благоприятное ожидание (более высокие ожидаемые доходы и большая позитивная асимметрия), чем неблагоприятное ожидание (более высокие дисперсия и эксцесс).
В заключение следует заметить, что ожидаемые доходы и дисперсия, используемые на практике, почти всегда оцениваются на основе прошлых, а не будущих доходов. Предположение, лежащее в основе использования дисперсии прошлых периодов, заключается в том, что распределение доходов, полученных в прошлом, является хорошим показателем будущего распределения доходов. При нарушении данного предположения, например в том случае, когда характеристики активов значительно меняются со временем, исторические оценки не могут служить хорошей мерой риска.




Диверсифицируемый и недиверсифицируемый риск
Хотя существует множество причин, по которым фактические доходы могут отличаться от ожидаемых, все их можно сгруппировать в две категории: касающиеся конкретных фирм и затрагивающие рынок в целом.
Компоненты риска. Когда инвестор покупает акцию или долю в собственном капитале фирмы, он подвергает себя множеству рисков. Некоторые виды риска могут касаться только одной или нескольких фирм, и этот вид риска классифицируется как риск на уровне фирмы, т. е. так называемый специфический риск фирмы (firm-specific risk), который является риском инвестирования в определенную компанию. В пределах этой категории можно увидеть широкий спектр рисков, начиная с риска того, что фирма неправильно оценит спрос на свою продукцию со стороны потребителей. Мы называем этот вид риска проектным риском (project risk). Рассмотрим для примера инвестицию компании Boeing в реактивный двигатель Super Jumbo. Эта инвестиция основывается на предположении, что авиакомпании предъявляют спрос на более крупные самолеты и готовы платить за них повышенную цену. Если компания Boeing просчиталась в своей оценке спроса, это очевидным образом окажет влияние на прибыль и стоимость этой компании, однако едва ли значительно скажется на других фирмах, действующих на этом же рынке. Кроме того, риск возникает в связи с тем, что конкуренты могут оказаться сильнее или слабее, чем предполагалось. Подобный вид риска называется конкурентным риском (competitive risk). Предположим, Boeing и Airbus борются за заказ от австралийской авиакомпании Qantas. Вероятность того, что конкурс может выиграть Airbus, является потенциальным источником риска для компании Boeing и, по всей вероятности, для некоторых из его поставщиков, но, опять же, этим риском будут затронуты лишь немногие фирмы. Аналогично: компания Home Depot недавно открыла интернет-магазин для продажи своей продукции хозяйственного назначения. Успешность этого проекта важна для Home Depot и ее конкурентов, однако едва ли она касается остального рынка. В действительности, меру риска можно расширить таким образом, чтобы они включали риски, затрагивающие целый сектор, и при этом были ограничены этим сектором. Мы называем данный вид риска секторным риском (sector risk). Например, сокращение военного бюджета в Соединенных Штатах неблагоприятно скажется на всех фирмах сектора оборонной промышленности, включая Boeing, но не окажет при этом значительного влияния на другие секторы. Все три описанных вида риска – проектный, конкурентный и секторный – имеют одну общую черту: все они затрагивают только небольшое подмножество фирм.
Существует и другой вид риска, с куда более обширным охватом, влияющий на многие, если не на все инвестиции. Например, повышение процентных ставок негативным образом скажется на всех инвестициях, хотя и в различной степени. Аналогично, при ослаблении экономики все фирмы ощутят воздействие спада, хотя циклические фирмы (такие, как автомобильные, сталелитейные и строительные), возможно, будут затронуты в большей степени. Мы называем данный вид риска рыночным риском (market risk).
Наконец, существуют риски, занимающие промежуточное положение, в зависимости от того, на сколь большое число активов они оказывают влияние. Например, когда доллар усиливается относительно других валют, это повлияет на прибыль и стоимость фирм, работающих на международном уровне. Если большинство фирм на рынке имеет значительный объем международных операций, то риск усиления доллара можно отнести к рыночному риску. Если же международными операциями заняты лишь немногие фирмы, то этот риск скорее ближе к риску на уровне фирмы. Рисунок 4.4 показывает спектр рисков – от специфического риска фирмы до рыночных рисков.

Почему диверсификация уменьшает или устраняет риск на уровне фирмы: интуитивное объяснение. Как инвестор вы можете вложить все средства в один актив. Если вы поступаете именно таким образом, то подвергаете себя как рыночному риску, так и специфическому риску фирмы. Если же вы расширяете свой портфель, включая в него другие активы или акции, то вы диверсифицируете портфель, снижая тем самым уровень своей зависимости от риска инвестирования в отдельную фирму. Существуют две причины, по которым диверсификация снижает или в определенных рамках устраняет специфический риск фирмы. Во-первых, каждая инвестиция в диверсифицированном портфеле обладает значительно меньшим весом по сравнению с недиверсифицированным портфелем. Любое действие, повышающее или понижающее стоимость только одной инвестиции или небольшой группы инвестиций, окажет лишь незначительное влияние на портфель в целом, в то время как не распределившие свои вложения инвесторы в гораздо большей степени зависят от изменений стоимости активов, входящих в портфель. Вторая причина обусловлена тем, что влияние деятельности отдельной фирмы на цены единичных активов в портфеле может оказаться как положительным, так и отрицательным для любого актива в данный период времени. Таким образом, в очень большом портфеле специфический риск фирмы в среднем окажется равным нулю и не повлияет на общую стоимость портфеля.
Наоборот, изменения внешней среды, затрагивающие весь рынок в целом, будут действовать в одном и том же направлении для большинства инвестиций в портфеле, хотя воздействие на некоторые активы, возможно, окажется сильнее, чем на другие. Например, при прочих равных условиях повышение процентных ставок приведет к снижению стоимости большинства активов в портфеле. Расширение диверсификации не устранит этого риска.
Статистический анализ риска, снижающегося при диверсификации. Воздействие диверсификации на риск можно ярко продемонстрировать, рассмотрев влияние роста числа активов в портфеле на дисперсию портфеля. Дисперсия портфеля отчасти определяется дисперсией отдельных активов в портфеле, а частично – их взаимосвязью. С точки зрения статистики взаимосвязь измеряется при помощи коэффициентов корреляции или ковариации инвестиций в портфеле. Именно ковариация может объяснить, почему и в какой степени диверсификация снижает риск.
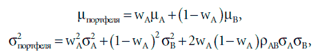
Обсудим портфель, состоящий из двух активов. Актив А имеет ожидаемый доход, равный μА, и дисперсию доходов, равную σ2А. У актива B ожидаемый доход равен μB, а дисперсия – σ2B. Корреляция между доходами, создаваемыми двумя активами, которая измеряет, насколько согласованно изменяются доходы, равна ρAB. Ожидаемые доходы и дисперсия портфеля из двух активов записываются как функция этих входных данных и доли каждого актива в портфеле:

где wA = доля актива А в портфеле.
Последний член в формуле дисперсии также называют ковариацией доходов по двум активам, которая равна:

Экономия, возникающая благодаря диверсификации, является функцией коэффициента корреляции. При этом одна вещь остается неизменной: чем выше корреляция доходов между двумя активами, тем меньше потенциальный выигрыш от диверсификации.
Модели измерения рыночного риска
Большая часть моделей риска и доходности, используемых в корпоративных финансах, на двух первых этапах анализа риска в значительной степени идентична: риск обусловлен распределением фактических доходов относительно ожидаемого дохода и его следует измерять с точки зрения хорошо диверсифицированного финансового инвестора. Но эти модели расходятся в вопросе, касающемся измерения недиверсифицируемого (или рыночного) риска. В этом разделе мы обсудим различные модели, предназначенные для измерения риска в финансовой области, а также причины их различий. Мы начнем наше обсуждение со стандартной модели, позволяющей измерить рыночный риск в финансовой сфере, а именно: модели оценки капитальных (финансовых) активов (capital asset pricing model – CAPM), а затем обсудим альтернативы этой модели, разработанные за последние два десятилетия. Несмотря на то что при обсуждении будут подчеркиваться различия, мы также рассмотрим и общие черты этих моделей.
Модель оценки капитальных (финансовых) активов (CAPM). Эта модель является моделью риска и доходности, имеющей самую долгую историю использования и все еще остающейся стандартом в большинстве аналитических приложений. В данном разделе изучаются предположения, на которых построена эта модель, и показатели рыночного риска, возникающие из этих предположений.
Предположения. Хотя диверсификация сокращает подверженность инвесторов специфическому риску фирмы, большинство из них ограничивает свою диверсификацию, обладая небольшим количеством активов. Даже крупные взаимные фонды редко держат более нескольких сотен видов акций, а многие из них включают в портфель 10–20 бумаг. Есть две причины, толкающие инвесторов ограничивать уровень диверсификации. Одна из них состоит в том, что инвестор или управляющий взаимным фондом может получить большинство преимуществ диверсификации, используя относительно небольшой портфель, поскольку по мере расширения диверсификации портфеля прирост выигрыша от нее становится все меньше. Следовательно, эти выигрыши могут и не покрыть прирост издержек на диверсификацию, включающий в себя издержки по операциям и затраты, связанные с отслеживанием текущей рыночной ситуации. Еще одна причина ограничения диверсификации обусловлена тем, что многие инвесторы (а также фонды) верят в свою способность находить недооцененные активы, поэтому предпочитают не держать активы, которые, по их мнению, оценены верно или переоценены.
ПОЧЕМУ ФИНАНСОВЫЕ ИНВЕСТОРЫ ПРЕДПОЛОЖИТЕЛЬНО ДИВЕРСИФИЦИРОВАНЫ?
Утверждение, что диверсификация снижает подверженность инвестора риску, понятно и на интуитивном уровне, и с точки зрения статистики, однако модели риска и доходов в финансах идут дальше. Они рассматривают риск с точки зрения инвестора, который может продать акции в любой момент времени. Такой инвестор называется финансовым. При этом доказывается, что этот инвестор, устанавливающий цены на инвестиции, имеет хорошую диверсификацию. Таким образом, единственный риск, который его волнует, – это риск, добавляемый к диверсифицированному портфелю, или рыночный риск. Этот аргумент легко обосновать. Риск, характеризующий инвестицию, всегда будет оцениваться выше инвестором, не обладающим диверсификацией, по сравнению с тем, кто ею обладает, поскольку последний не принимает на себя специфический риск фирмы, а первый – принимает. Если у обоих инвесторов одинаковые ожидания относительно будущих доходов и денежных потоков, приходящихся на актив, то «диверсифицированный» инвестор пожелает заплатить более высокую цену за этот актив, поскольку он оценивает риск как более низкий. Следовательно, со временем актив окажется в портфелях «диверсифицированных» инвесторов.
Данное соображение – весьма действенное доказательство, особенно на рынках, где торговля активами ничем не затруднена и связана с низкими издержками. Таким образом, это утверждение хорошо работает применительно к акциям, обращающимся в США, поскольку инвесторы могут стать «диверсифицированными» при низких издержках. Кроме того, значительная доля торговли акциями в США осуществляется институциональными инвесторами, которые, как правило, хорошо «диверсифицированы». Обоснование оказывается более проблематичным, если торговля активами связана с трудностями или предполагает высокие издержки. На таких рынках финансовый инвестор может быть плохо «диверсифицированным», а потому специфический риск фирмы способен сохранять свое влияние при рассмотрении отдельных инвестиций. Например, в большинстве стран недвижимостью владеют «недиверсифицированные» инвесторы, которые хранят значительную часть своих сбережений в этих инвестициях.
Модель оценки финансовых активов предполагает, что транзакционные издержки отсутствуют, все активы обращаются на открытом рынке, а инвестиции бесконечно делимы (т. е. можно купить любую долю от единицы данного актива). Кроме того, предполагается возможность свободного доступа к одной и той же информации для всех инвесторов, и из этого следует, что инвесторы не могут выявить на рынке переоцененные и недооцененные активы. Все эти предположения позволяют инвестору быть «диверсифицированным» без дополнительных издержек. В предельном случае их портфели не только будут включать каждый из обращающихся на рынке активов, но и, помимо всего прочего, рискованные активы будут обладать одинаковыми весами (на основе их рыночной стоимости).
Тот факт, что в данный портфель включаются все обращающиеся на рынке активы, служит основанием для того, чтобы его называли рыночным портфелем. В этом нет ничего удивительного, учитывая выигрыши от диверсификации и отсутствие транзакционных издержек в модели оценки финансовых активов. Если диверсификация сокращает степень подверженности риску на уровне фирмы и отсутствуют издержки, связанные с добавлением дополнительных активов в портфель, то логическим ограничением диверсификации станет владение небольшой долей каждого из активов, обращающихся в экономике. Если это определение кажется слишком абстрактным, представим себе, что рыночный портфель представляет собой очень хорошо диверсифицированный взаимный фонд, который держит акции и реальные активы. В модели САРМ все инвесторы будут держать комбинации, состоящие из более рискованного актива и этого взаимного фонда[24].
Портфели инвесторов в САРМ. Если все инвесторы на рынке имеют одинаковые рыночные портфели, то каким образом выражается реакция инвесторов, обусловленная неприятием риска в совершаемых ими инвестициях? В модели оценки финансовых активов, когда инвесторы при распределении средств решают: сколько им следует вложить в безрисковый актив, а сколько – в рыночный портфель, они опираются на свои предпочтения в области риска. Инвесторы, избегающие риска, могут принять решение вложить все свои сбережения в безрисковый актив. Инвесторы, желающие принять на себя больше риска, вложат значительную часть своих сбережений, или даже все, в рыночный портфель. Инвесторы, уже вложившие все свои средства в рыночный портфель и, тем не менее, желающие принять на себя еще больше риска, могли бы добиться этого, заняв средства по безрисковой ставке и инвестировав их в тот же самый рыночный портфель, следуя примеру всех остальных.
Данные предположения основываются на двух дополнительных допущениях. Во-первых, существует безрисковый актив, ожидаемый доход которого известен с абсолютной определенностью. Во-вторых, инвесторы могут ссужать и занимать средства по безрисковой ставке для достижения оптимальности размещения средств. В то время как ссуда по безрисковой ставке не доставляет особых проблем (индивиду для этого достаточно приобрести казначейские векселя или казначейские облигации), получение ссуд по безрисковой ставке может оказаться куда более затруднительным для отдельного лица. Существуют версии модели CAPM, позволяющие несколько смягчить эти допущения и, тем не менее, получить выводы, совместимые с моделью.
Измерение рыночного риска отдельного актива. Риск любого актива для инвестора – это риск, добавляемый данным активом к портфелю инвестора в целом. В мире САРМ, где все инвесторы владеют рыночным портфелем, риск отдельного актива для инвестора – это риск, который данный актив добавляет к рыночному портфелю. На интуитивном уровне понятно, что если движение актива происходит независимо от рыночного портфеля, то этот актив не добавит слишком уж много риска к рыночному портфелю. Другими словами, большая часть риска данного актива является специфическим риском фирмы, а потому может быть диверсифицирована. С другой стороны, если стоимость актива имеет тенденцию к росту одновременно с повышением стоимости портфеля, равно как и тенденцию к падению при снижении стоимости рыночного портфеля, то актив увеличивает риск портфеля. Такой актив обладает в большей степени рыночным риском и в меньшей – специфическим риском фирмы. Статистически, добавленный риск измеряется ковариацией актива с рыночным портфелем.
Измерение недиверсифицируемого риска. В мире, где инвесторы держат комбинацию только двух активов: безрискового актива и рыночного портфеля, риск любого отдельного актива будет измеряться по отношению к рыночному портфелю. В частности, риск какого-либо актива будет риском, добавляемым им к рыночному портфелю. Чтобы получить адекватную меру для этого добавляемого риска, предположим, что σ2 есть дисперсия рыночного портфеля до того, как в него включили новый актив, а дисперсия отдельного актива, добавляемого к портфелю, равна σi2. Вес данного актива в рыночной стоимости портфеля составляет wi, а ковариация доходов между отдельным активом и рыночным портфелем равна σim. Дисперсию рыночного портфеля до и после включения в портфель отдельного актива можно записать следующим образом:

Вес рыночной стоимости любого отдельного актива в рыночном портфеле может быть небольшим, поскольку рыночный портфель включает в себя все активы, обращающиеся в экономике. Следовательно, первый член (ковариацию σim) в качестве меры риска, добавляемого активом i.
Стандартизация ковариации. Ковариация измеряется в процентах, поэтому трудно вынести решение по поводу относительного риска инвестиции, основываясь на ее значении. Другими словами, знание ковариации компании Boeing с рыночным портфелем (составляющей 55 %) не дает нам подсказки, в большей или в меньшей степени рискованна компания по сравнению со средним активом. По этой причине мы стандартизируем меру риска путем деления ковариации каждого актива с рыночным портфелем на дисперсию рыночного портфеля. Это позволяет получить показатель риска, который называется коэффициентом бета (beta) данного актива:

Поскольку ковариация рыночного портфеля с самим собой является его дисперсией, бета рыночного портфеля (как и его среднего актива) равна 1. Активы, чья рискованность выше среднего уровня (если использовать эту меру риска), будут иметь коэффициент бета выше единицы, а активы, которые безопаснее среднего уровня, будут обладать бетой менее единицы. У безрисковых активов коэффициент бета равен нулю.
Получение ожидаемых доходов. Факт удержания каждым инвестором некоторой комбинации безрискового актива и рыночного портфеля приводит к заключению, что ожидаемый доход на актив линейно зависит от беты актива. В частности, ожидаемый доход на актив можно записать как функцию безрисковой ставки и беты этого актива:
E(Ri) = Rf + Pi [E(Rm)-Rf],
где E(Ri) = ожидаемая доходность актива i;
Rf = безрисковая ставка;
E(Rm) = ожидаемая доходность на рыночный портфель;
Pi = коэффициент бета актива i.
Для использования модели оценки финансовых активов нам необходимо иметь три входные величины. Следующая глава будет посвящена детальному разбору процесса оценки, поэтому пока только заметим, что каждая из этих входных величин оценивается следующим образом:
• Безрисковый актив определяется как актив, относительно которого инвестору с абсолютной определенностью известна ожидаемая доходность для временного горизонта анализа.
• Премия за риск является премией, запрашиваемой инвесторами за инвестирование в рыночный портфель, включающий все рисковые активы на рынке, вместо инвестирования в безрисковый актив.
• Коэффициент бета, который определяется как ковариация актива, поделенная на дисперсию рыночного портфеля, измеряет риск, добавляемый инвестицией к рыночному портфелю.
Таким образом, в модели оценки финансовых активов весь рыночный риск охватывается одним коэффициентом бета, измеренным по отношению к рыночному портфелю, который, хотя бы теоретически, должен содержать все обращающиеся на рынке активы пропорционально их рыночной стоимости.
Модель арбитражной оценки. Ограничивающие предположения, касающиеся транзакционных издержек и получения информации в модели оценки финансовых активов, а также зависимость модели от рыночного портфеля на протяжении длительного времени воспринимались академическими кругами и специалистами-практиками со скептицизмом. Росс (Ross, 1976) предложил альтернативную модель для измерения риска, которая называется моделью арбитражной оценки (arbitrage pricing model – APM).
Предположения. Если инвесторы могут инвестировать без риска и зарабатывать больше, чем по безрисковой ставке, то это означает, что они нашли возможность арбитража[25]. Предположение, лежащее в основе модели арбитражной оценки, заключается в том, что инвесторы пользуются выгодами возможности совершения арбитража и устраняют их в процессе торгов. Если два портфеля в одинаковой степени подвержены риску, но предлагают различный ожидаемый доход, то инвесторы приобретут портфель с более высоким ожидаемым доходом и продадут портфель с меньшим ожидаемым доходом. Заработанная разница будет безрисковой прибылью. Для предотвращения возможности арбитража два портфеля должны создавать одинаковые ожидаемые доходы.



