- -
- 100%
- +

P – первоначальная сумма
S – наращенная сумма
I – процентный доход владельца денег (interest)
n – период времени, лет
i – процентная ставка, % или доли единицы
m – количество начислений процентов в год, раз
PV – текущая стоимость (present value)
FV – будущая стоимость (future value)
Введение
В современной экономике денежные средства играют огромную роль. Пройдя сложный исторический путь от слитков драгоценных металлов к бумажным купюрам и электронным деньгам, они стали всеобщим эквивалентом стоимости и оценки эффективности (доходности) проектов.
В настоящем учебном пособии излагаются основы финансовой математики – сведения, без которых невозможно провести сложные экономические расчеты.
1. Временная стоимость денег
Зададимся вопросом, эквивалентна ли для владельца денег одна и та же денежная сумма в два различных момента времени, например, сегодня и завтра?
Очевидно, что нет. Большинство незамедлительно ответит, что деньги сегодня предпочтительнее денег завтра. Это связано с тем, что получения той же самой суммы денег в будущем необходимо подождать до наступления этого будущего, т.е., во-первых, отказаться от возможности получить удовольствие от траты этих денег сегодня, а, во-вторых, принять на себя риск неполучения этих денег в будущем.
Значит, сознательно отказываясь от получения денег сегодня в пользу получения денег в будущем, т.е. разрешая кому-то другому пользоваться своими деньгами некоторый период времени, владелец денег имеет экономически обоснованное право получить вознаграждение за:
– время своего ожидания, т.е. за длящийся во времени отказ от своего права пользования денежными средствами, и
– за принятый на себя риск того, что обязательство может быть не выполнено в будущем.
Это вознаграждение, в свою очередь, может быть выражено в денежных единицах.
Пусть владелец денег отдает их в кредит в размере Р в момент времени t = 0, а получает их обратно вместе с вознаграждением в размере S в момент времени t = n, где под n будем понимать временной срок, выраженный в годах, n может быть нецелым. Тогда:
S = P + I, где:
P – первоначальная сумма вложений;
S – наращенная сумма;
I – процентный доход владельца денег (interest).
2. Простые и сложные проценты
Процентная ставка
Обычно процентный доход выражается не в виде конкретной суммы I, а с помощью так называемой процентной ставки i. Ставка i используется как некоторый показатель, индикатор, применимый для множества различных ситуаций и позволяющий проводить сравнения, что объясняет удобство его использования.
Простые и сложные проценты
Исторически сложилось два разных вида используемых процентов: простые и сложные.
Простые проценты представляют собой равномерный по времени способ начисления процентного дохода на первоначальную сумму кредита:
S = P (1 + in).
Процентный доход прямо пропорционален сроку кредита:
I = inP.
Такие проценты являются наиболее простыми и исторически возникли первыми. Но если срок рассматриваемого кредита велик (например, составляет несколько лет), то возникает следующий вопрос. По прошествии года кредитор уже получил право на получение процентного дохода за прошедший год. Но согласно условиям сделки фактического получения этих денежных средств нужно ждать еще n – 1 лет. Значит, на эти денежные средства также должны начисляться проценты. Таким образом, по истечении двух лет кредитор должен получить
S = [ P (1 + i) ] (1 + i).
Рассуждая аналогично получим, что через n лет наращенная сумма составит:
S = P (1 + i)n.
Это и есть формула начисления сложных процентов. Их основным отличием от простых процентов является начисление процентов на уже начисленные за прошедшие периоды проценты. Присоединение процентов к основной сумме долга для дальнейшего наращения называется капитализацией.
Годовая процентная ставка
В приведенных выше формулах процентная ставка i предполагается годовой, т.е. срок необходимо выражать в годах.
Процентная ставка всегда считается годовой, если не указано противное.
Отметим, что при рассмотрении сложных процентов выше считалось, что они начисляются один раз в год (после истечения года, собственно, их можно капитализировать). Начисление сложным процентов считается начислением один раз в год, если не указано противное.
Нецелые значения срока
В формулах наращения простых и сложных процентов срок n может быть как целым числом (целое число лет), так и нецелым.
Действительно, для простых процентов процентных доход прямо пропорционален сроку. Соответственно, срок может быть любым: год, полтора, любая доля года и др.
Для сложных процентов нецелое число лет является логичным обобщением концепции капитализации. Например, срок в 2,5 года означает два полных года и еще половину, то есть два годовых начисления процентов и еще одно «половинное» начисление по истечении полугода.
Сравнение простых и сложных процентов
Предположим, что выдаются два кредита с одинаковой начальной суммой P и одинаковой процентной ставкой i на одинаковый срок n лет, но для первого кредита проценты начисляются по формуле простых процентов, а для второго – по формуле сложных процентов. Давайте сравним суммы начисленного процентного дохода.
Для простых процентов функция
S = P (1 + in)
представляет собой линейную функцию от n, а для сложных:
S = P (1 + i)n –
показательную.
Сделаем иллюстративной расчет для случая P = 100 руб., различных сроков n и значений процентной ставки i. Полученные значения наращенной суммы S приведены в Таблице 1.

Изучив таблицу, легко увидеть, что при сроке меньше года наращенная сумма при расчете по формуле простых процентов превышает наращенную сумму при расчете по формуле сложных процентов, а при сроке более года – наоборот.
Для полного понимания изобразим на Рис. 1 график зависимости S(n) для сложных и простых процентов.

Из графика видно, что при сроке меньше года простые проценты превышают сложные, а при сроке более года – наоборот. Пользуясь этим, банки иногда в кредитных договорах устанавливают начисление процентов по формуле простых процентов при сроках до года и по формуле сложных процентов – в остальных случаях.
Различные процентные ставки
Процентная ставка рассматриваемого кредита может быть как фиксированной (постоянной), так и переменной, в зависимости от условий договора. Примером переменной ставки является ставка вида «LIBOR1 + 1,5%». Ставки такого рода часто применяются на западных рынках. Произведем расчет наращенной суммы в случае переменной ставки.
Предположим, что ставка кредита меняется в течение его срока. Пусть полный срок кредита n разбит на периоды длины n1, …, nk лет, причем в течение первого периода действовала процентная ставка i1, в течение второго периода – i2, …, в течение k-ого периода – ik.
Тогда в случае расчета по формуле простых процентов процентный доход за промежуток времени n1 будет:
I = in1 P,
…,
за промежуток времени nk :
I = ink P.
В итоге наращенная сумма составит:

Из полученной формулы можно сделать следующие выводы. Размер наращенной суммы не зависит от порядка чередования периодов с различными процентными ставками. Кроме того, если в два или более периода имело место одна и та же процентная ставка, то для целей расчета наращенной суммы их можно объединить в один период, длительность которого равна сумме длительностей исходных.
Формулу можно переписать еще и так:

где νm = nm / n – доля промежутка nm в полном сроке n рассматриваемого кредита. Получается, что для случая с переменной процентной ставкой можно ввести понятие эффективной процентной ставки простых процентов (см. об эффективных ставках подробнее ниже)

рассчитываемой как взвешенная сумма процентных ставок каждого периода. Эту ставку можно использовать как единый эквивалент для расчета наращенной суммы:
S = P (1 + iэфф n).
Теперь перейдем к аналогичному расчету с использованием методики сложных процентов. По истечении первого периода n1 наращенная сумма составит:

.
Поскольку сложные проценты начисляются на капитализированную сумму, после второго периода n2 наращенная сумма составит:

После k-ого периода nk найдем требуемую наращенную сумму:

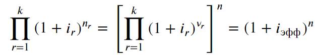
Из полученной формулы можно сделать следующие выводы, аналогичные тем, что были сделаны ранее для простых процентов: размер наращенной суммы не зависит от порядка чередования периодов с различными процентными ставками. Кроме того, если в два или более периода имело место одна и та же процентная ставка, то для целей расчета наращенной суммы их можно объединить в один, длительность которого равна сумме длительностей исходных промежутков.
Аналогично предыдущему можно ввести понятие эффективной ставки сложных процентов (см. подробнее об этом ниже):


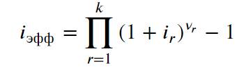
Здесь νr = nr / n – доля промежутка nr в полном сроке рассматриваемого кредита. Получается, что для случая с переменной процентной ставкой можно ввести понятие эффективной процентной ставки сложных процентов, рассчитываемой как взвешенное произведение процентных ставок каждого периода, и которую можно использовать как единый эквивалент для расчета наращенной суммы:
S = P (1 + iэфф)n .
Сложные проценты с начислением чаще, чем раз в год
Во всех рассуждениях ранее при использовании сложных процентов предполагалось, что они начисляются один раз в год. Однако на практике встречаются случаи, когда начисление происходит чаще. Пусть оно происходит m раз в год, где m – натуральное число. Например, начисление может происходить ежемесячно (m = 12).
Для сложных процентов с начислением один раз в год была получена формула:
S = P (1 + i)n .
Теперь мысленно предположим, что в рассуждениях, из которых была выведена эта формула, период времени «год» будет заменен на период времени «1/m года» или «m-ая доля года». Поскольку все рассуждения останутся в силе, получим формулу:

где if – процентная ставка за «m-ую часть года», nf – срок, отраженный в «m-ых частях года» (а не в годах, как ранее). Для того, чтобы вернуться к используемым ранее обозначениям выразим if и nf через годовые переменные:
if = i / m, nf = mn.
Последнее соотношение легко интерпретируемо: при сроке n лет количество периодов размером «1/m года» равно mn.
Тогда с использованием годовой процентной ставки итоговую формулу расчета наращенной суммы с использованием сложных процентов с начислением m раз в год можно записать как:
S = P (1 + i / m)mn .
Поскольку, как было выяснено, формула сложных процентов с начислением m раз в год верна и для нецелого числа лет n, то и полученная формула верна для нецелого n. Более того, можно показать, что она остается верной и для нецелого m.
Отметим, что всегда предполагается, что сложные проценты начисляются один раз в год, если не указано противное.
Дня того, чтобы продемонстрировать зависимость наращенной суммы от количества начислений m раз в год, сведем в Таблицы 2 и 3 результаты расчетов при Р = 100 руб. и ставке i = 10% в Таблице 2 и ставке i = 25% в Таблице 3.


Дискретное и непрерывное начисление процентов
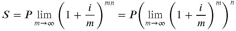
Зададимся вопросом: как изменится формула начисления процентов, если увеличивать количество m начислений процентов в год.
Например, сначала предполагать, что m = 12, затем 24, 365 (ежедневное начисление), 365*24 (ежечасное) и др. При m, стремящемся к бесконечности, получим непрерывные проценты (проценты с непрерывным начислением):

Сделаем замену z = m / i.

Вспомним, что замечательный предел внутри скобок равен e. Тогда:
S = Peni.
Обычно годовую ставку начисления непрерывных процентов обозначают δ. Итоговая формула непрерывных процентов выглядит как:
Конец ознакомительного фрагмента.
Текст предоставлен ООО «ЛитРес».
Прочитайте эту книгу целиком, купив полную легальную версию на ЛитРес.
Безопасно оплатить книгу можно банковской картой Visa, MasterCard, Maestro, со счета мобильного телефона, с платежного терминала, в салоне МТС или Связной, через PayPal, WebMoney, Яндекс.Деньги, QIWI Кошелек, бонусными картами или другим удобным Вам способом.
Примечания
1
Лондонская межбанковская ставка предложения (англ. London Interbank Offered Rate, LIBOR) – средневзвешенная процентная ставка по межбанковским кредитам, предоставляемым банками, выступающими на лондонском межбанковском рынке с предложением средств в разных валютах и на разные сроки – от одного дня до 12 месяцев. Ставка фиксируется Британской Банковской Ассоциацией, начиная с 1985 года ежедневно в 11:00 по западноевропейскому времени на основании данных, предоставляемых избранными банками.






