Рожденные побеждать. Создаем жизненный сценарий с помощью транзактного анализа и гештальттерапии

- -
- 100%
- +
Иными словами, сон неотделим от спящего. Вымышленные люди и предметы отображают тот или иной аспект спящего. Проигрывая роли людей, предметов и даже целого сюжетного отрывка из сна, можно выявить его экзистенциальный смысл, не анализируя, а проживая видение.
Например, одному человеку приходил повторяющийся сон, в котором всегда присутствовал письменный стол. Когда его попросили представить себя в виде этого предмета, он пробормотал: «Что за чушь, я же не стол». Но при поддержке психотерапевта преодолел страх сцены и начал играть роль: «Я большой стол. На мне куча чужого. Люди наваливают на меня свои вещи, садятся за меня и пишут, тычут в меня своими ручками. Они меня используют, а я не могу даже пошевелиться». Позже он добавил: «Все верно, это я! Как стол, я всем разрешаю себя использовать, а сам просто сижу и ничего не делаю!»
В гештальттерапии у пациентов случаются эмоциональные и интеллектуальные прозрения, но суть метода – в поднятии эмоционального пласта. Осознание эмоций наступает, когда человек произносит или думает: так вот в чем дело! Вот как описывает это переживание Перлз: «Что-то словно щелкает и встает на свое место; всякий раз, когда закрывается гештальт, раздается щелчок и человек испытывает шок узнавания». Интеллектуальное осознание случается, когда встают на место недостающие части головоломки.
ЭРИК БЕРН И ТРАНЗАКТНЫЙ АНАЛИЗВ транзактном анализе пациенты также приходят к эмоциональному и интеллектуальному осознанию, но упор делается на второе. Это мыслительный процесс, нередко аналитический, который часто заканчивается тем же осознанием: так вот в чем дело!
Эрик Берн разработал свою теорию, наблюдая за поведенческими изменениями у пациента, подвергавшегося воздействию нового стимула: слова, жеста, звука. Эти перемены включали выражение лица, голосовые интонации, структуру фраз, телесные движения, жесты, тики, изменения позы и осанки. Внутри человека будто обнаруживались несколько разных людей. Иногда казалось, что один из них полностью контролирует личность пациента.
Берн заметил, что эти «я» по-разному взаимодействуют с окружающими и эти контакты – транзакции – можно проанализировать. Он понял, что у некоторых транзакций есть подспудные мотивы; человек с их помощью пытается манипулировать людьми, вовлечь в психологические игры и шантаж. Берн также обратил внимание, что поведение людей нередко предопределено; они будто играют на сцене и читают заготовленный сценарий. На основе этих наблюдений Берн вывел уникальную теорию транзактного анализа – ТА.
Изначально транзактный анализ возник как метод психотерапии. Его использовали в группах как технику гештальттерапии. Группа становилась средой, где люди учились лучше осознавать себя, постигать структуру своей личности и паттерны взаимодействия с окружающими, замечать, в какие игры они играют и каким сценариям следуют. Подобная осознанность приводила к более ясному самовосприятию и закладывала возможность изменений; человек мог изменить определенные качества и усилить другие.
Процесс изменений всегда начинается с двустороннего контракта между терапевтом и клиентом. Целью может быть облегчение симптомов – покраснения лица, зажатости мышц, мигреней. Либо контроль над проблемным поведением – злоупотреблением алкоголем, дурным обращением с детьми, школьной неуспеваемостью. Психотерапевт может делать упор на детские переживания, объясняющие текущие специфические симптомы и поведение: пережитые в детстве унижения или, напротив, чрезмерное потакание; уход родителя, равнодушие, жестокость. Контрактный подход сохраняет внутреннюю мотивацию клиента и позволяет понять, когда условия контракта соблюдены.
Транзактный анализ – полезный инструмент не только для тех, кто проходит психотерапию; он позволяет взглянуть на человеческое поведение с интересного угла и прийти к открытиям, которые будут понятны и полезны большинству людей. В ТА применяется простой, прямолинейный и даже разговорный язык в противовес научному и психологическим жаргонизмам. Например, части личности – или состояния эго – называются Родитель, Взрослый и Ребенок.
Транзактный анализ – рациональный подход к пониманию поведения, основанный на предположении, что люди могут научиться себе доверять, мыслить независимо, принимать самостоятельные решения и выражать свои чувства. Принципы ТА можно применять в профессиональной деятельности, семье, обучении, общении с окружающими – везде, где люди взаимодействуют друг с другом.
Берн называет важной целью ТА установление максимально открытой и естественной коммуникации между аффективными и интеллектуальными компонентами личности. Когда это происходит, человек интегрирует эмоции и интеллект и задействует их сообща, а не один в ущерб другому. Техники гештальттерапии способны ускорить этот процесс, особенно на уровне чувств.
Каждая глава этой книги содержит упражнения и эксперименты, которые помогут применить теорию к себе. Предлагаем сначала читать главу, затем раздел с упражнениями. Если какая-то техника заинтересует и покажется простой, выполните ее немедленно. Позже можно выполнить и остальные.
ИТОГИЧеловек, не осознающий свои чувства и поступки, многим обделен. Ему не хватает глубинной опоры; он мечется между конфликтующими внутренними силами. Такой человек не цельный, в нем живут разрозненные части «я», не взаимодействующие друг с другом: интеллект, эмоции, творческое начало, телесные ощущения, особенности поведения. Начиная осознавать их и делая шаг навстречу их интеграции в единое целое, человек многое приобретает.
Люди, которые решают быть победителями и не хотят быть неудачниками, позволяют себе прийти к подобным осознаниям. Постепенно они понимают, что могут положиться на собственные ощущения и суждения. Процесс узнавания себя и обновления продолжается. Смыслом жизни становится не накопление внешних благ, а внутренняя проявленность. Для победителя сама жизнь оказывается источником радости.
ЭКСПЕРИМЕНТЫ И УПРАЖНЕНИЯ1. Список качеств
Просмотрите список качеств. Отметьте галочками те качества, которые соответствуют вашему самоощущению, крестиками те, которые не соответствуют, и знак вопроса, если сомневаетесь.
Я люблю себя ___
Я обижен на окружающих и боюсь их ___
Мне можно доверять ___
Я хорошо умею притворяться ___
Обычно я прав ___
Я себе не нравлюсь ___
Я тревожусь о будущем ___
Я ничего не могу придумать сам ___
Я прокрастинатор ___
Я использую свои способности ___
Я мыслю независимо ___
Я разбираюсь в своих чувствах ___
Я себя не понимаю ___
Я как в тупике ___
Я трачу время с умом ___
Я люблю природу ___
Моя работа не приносит удовольствия ___
Я умею себя контролировать ___
Мне не удается задержаться ни на одном месте работы ___
Я себе доверяю ___
Я вечно говорю что-то не то ___
Мне нравится общество людей ___
Мне не нравится быть женщиной/мужчиной ___
Я разочарован(а) в жизни ___
Я не реализовал(а) свои способности ___
Я рад(а), что я мужчина/женщина ___
Я часто все делаю не так ___
Я вовлечен(а) в решение общественных проблем ___
Людям нравится со мной общаться ___
Я компетентный профессионал ___
Люди меня избегают ___
Меня не интересуют общественные проблемы ___
Мне нравится моя работа ___
Я получаю удовольствие от жизни ___
Я с трудом себя контролирую ___
Я себе не нравлюсь ___
Теперь взгляните на качества, которые вы отметили.
Можете ли вы проследить закономерность?
Каких качеств больше: победителя, неудачника или и тех и других поровну?
Какие качества вы хотели бы в себе изменить?
Читайте книгу и время от времени возвращайтесь к этому списку. Обращайте внимание на качества, которые вы отметили, и меняйте то, что решите изменить.
2. Ось победителя – неудачника
Найдите свое место на этой оси в зависимости от самоощущения, жизненных достижений и взаимоотношений с людьми. Представьте, что на одном конце оси – полный провал, а на другом – абсолютный успех.
ОЦЕНИТЕ СВОЕ САМООЩУЩЕНИЕНеудачник ________________________ Победитель
ОЦЕНИТЕ СВОИ ЖИЗНЕННЫЕ ДОСТИЖЕНИЯНеудачник ________________________ Победитель
ОЦЕНИТЕ СВОИ ОТНОШЕНИЯ С ОКРУЖАЮЩИМИНеудачник ________________________ Победитель
Довольны ли вы своим местом на оси координат?
Если нет, что бы вам хотелось изменить?
3. Проигрывание внутреннего диалога по ролям
Когда в следующий раз не сможете уснуть, сосредоточиться или внимательно слушать собеседника из-за внутреннего диалога в голове, прислушайтесь к этим голосам.
Слушайте внимательно. Кто говорит? Разговариваете ли вы с конкретным человеком?
Поговорите со своим воображаемым собеседником лицом к лицу. Поставьте друг напротив друга два стула. Используя метод ролевой игры Перлза, повторите диалог вслух по ролям. При этом пересаживайтесь со стула на стул.
Постарайтесь привести диалог к завершению.
Глава 2. Знакомство с транзактным анализом
Сумасшедший говорит: «Я – Авраам Линкольн», невротик заявляет: «Жаль, что я не Авраам Линкольн», а здоровый человек: «Я – это я, а ты – это ты».
Фредерик ПерлзУ многих в жизни наступает момент, когда возникает необходимость определить: кто я? В такие моменты транзактный анализ становится удобной системой самоопределения, понятной и доступной большинству. В этой главе представлен краткий обзор теории и практических применений. В последующих подробно рассматривается каждая из составляющих ТА.
Транзактный анализ включает четыре подхода.
• Структурный анализ: анализ личности.
• Транзактный анализ: анализ поступков и высказываний людей в ходе взаимодействия.
• Игровой анализ: анализ скрытых взаимодействий, приводящих к определенному предсказуемому итогу.
• Сценарный анализ: анализ специфических жизненных сценариев, которые человек компульсивно воспроизводит раз за разом.
ВВЕДЕНИЕ В СТРУКТУРНЫЙ АНАЛИЗСтруктурный анализ позволяет ответить на вопросы: «Кто я? Почему веду себя так? Как я таким стал?» Это метод анализа мыслей, эмоций и поведения человека, основанный на феномене эго-состояний.
Представьте мать, которая громко отчитывает детей за то, что те шумят и ссорятся. Она нахмурена. Говорит на повышенных тонах. Ее рука напряжена и поднята высоко. Внезапно звонит телефон, и она слышит голос подруги. Ее поза и выражение мгновенно меняются. Голос успокаивается. Напряженная рука спокойно опускается на колени.
Теперь представьте двух заводских рабочих, которые спорят по поводу ситуации на производстве: оживленно, ожесточенно. Они похожи на детей, не поделивших конфету. Внезапно раздаются грохот металла и ужасный крик. Их поведение тут же становится иным. Они забывают о ссоре. Гнев на лицах сменяется тревогой. Один бежит посмотреть, что случилось, другой вызывает скорую. Теория транзактного анализа объясняет такую смену в поведении рабочих и матери сменой эго-состояний.
Берн определяет эго-состояние как «устойчивый паттерн эмоций и переживаний, напрямую связанный с соответствующим устойчивым паттерном поведения».
В этом смысле мозг работает, как диктофон, записывая опыт целиком в серийной последовательности в виде так называемых эго-состояний – это естественные способы переживания действительности, отображающие опыт в его целостности. Разумеется, опыт тоже может быть записан в виде фрагментов…
Берн подразумевает, что человеческий опыт записывается в тканях головного мозга и нервной ткани. Под «опытом» подразумевается все, что человек пережил в детстве и перенял от родительских фигур, восприятие связанных с этим событий и эмоций и искажения воспоминаний. Эти записи хранятся, как на кинопленке. Их можно проигрывать бессчетное количество раз, вспоминать о событии и даже переживать его заново.
Человек обладает тремя эго-состояниями, существующими отдельно друг от друга и характеризующимися определенным поведением: Родитель, Взрослый и Ребенок. Эго-состояния – не абстрактные концепции, а объективная реальность. Они олицетворяют реальных людей, существующих в настоящем или существовавших в прошлом; у них есть имена и социальная идентичность.
Эго-структура личности представлена на рис. 2.1.

Рис. 2.1. Эго-структура личности
В книге, когда мы пишем эти слова с заглавной буквы, подразумеваются именно эго-состояния, а не собственно родители, взрослые и дети. Этим состояниям можно дать такие определения.
Вы в эго-состоянии Родителя, когда повторяете действия, мысли и эмоции своих родителей, как наблюдали их в детстве.
Вы в эго-состоянии Взрослого, когда исходите из обстоятельств текущей реальности, оперируете фактами и даете объективную оценку.
Вы в эго-состоянии Ребенка, когда ведете и чувствуете себя как в детстве.
КЕЙСКлиенту необходимо было собрать информацию о частной школе, куда он планировал отдать сына. Когда он рассказал, что там практикуется неформальный подход к обучению и поощряется творчество, можно было отчетливо наблюдать за тремя различными реакциями. Сначала он нахмурился и произнес: «Не понимаю, как можно чему-то научиться в этой школе. Там грязные полы!» Затем он откинулся на спинку стула, лоб его разгладился, и он задумчиво проговорил: «Но прежде чем решить, надо узнать академический рейтинг школы и пообщаться с другими родителями». Уже через миг его лицо расплылось в широкой улыбке, и он добавил: «Вот бы у меня в детстве была такая школа!»
Когда клиента расспросили о его реакциях, он легко их проанализировал и пришел к выводу, что первая сродни подходу его отца. Второй была реакция Взрослого: потребность собрать больше данных. Третья – реакция Ребенка, вспомнившего о собственном несчастливом опыте и вообразившем, как весело было бы учиться в школе, где он побывал.
Прежде чем принять окончательное решение, он ответил на вопросы, интересовавшие Взрослого. Он отправил сына в эту школу, и тот учится с удовольствием; его успеваемость повысилась.
В рамках структурного анализа каждое эго-состояние личности реагирует на специфические стимулы характерным образом. Иногда реакции не противоречат друг другу, а порой вступают в конфликт. Рассмотрим следующие примеры.
Реакция на произведение современного искусства
Родитель. Господи! Что за чушь?
Взрослый. Эта картина стоит 350 долларов.
Ребенок. Какой красивый цвет!
Реакция на просьбу составить отчет
Родитель. Браун – никчемный руководитель.
Взрослый. Отчет нужен Брауну к пяти.
Ребенок. Что бы я ни делал, Брауну не угодить.
Реакция на нападение на улице
Родитель. Сама виновата, не надо было гулять по ночам.
Взрослый. Надо вызвать полицию.
Ребенок. Ух, как интересно!
Реакция на предложение съесть шоколадный торт, хотя вы на диете
Родитель. Конечно, съешь, надо же откуда-то брать силы.
Взрослый. В этом куске минимум 400 калорий. Лучше не буду.
Ребенок. Какой вкусный тортик! Дайте еще.
Реакция на громкую рок-музыку
Родитель. Как можно это слушать? Ну и молодежь пошла!
Взрослый. Громкая музыка мешает думать и разговаривать.
Ребенок. Хочу танцевать!
Реакция на опоздание молодой секретарши
Родитель. Бедняжка, кажется, она не выспалась.
Взрослый. Если она не научится приходить вовремя, другие сотрудники будут недовольны.
Ребенок. Я бы тоже хотел не ходить на работу, а заниматься чем-то другим!
Реакция на мат из уст лектора
Родитель. Только неучи ругаются матом.
Взрослый. Зачем он использует такие слова? Как это воздействует на слушателей?
Ребенок. Тоже так хочу, а нельзя.
Реакция на запах капусты
Родитель. Ешь капусту, будь здоров.
Взрослый. Капуста – продукт с высоким содержанием витамина С.
Ребенок. Сами ешьте эту гадость.
Реакция на объятия нового знакомого
Родитель. Никогда не разрешай незнакомцам тебя трогать.
Взрослый. Зачем он это делает?
Ребенок. Он меня пугает.
У каждого человека есть все три эго-состояния. Критичное поведение обычно исходит от Родителя. Взрослый стремится решить проблему. Ребенок радуется и смеется. Три эго-состояния есть даже у детей. Стремление опекать исходит от Родителя. Рациональное мышление – от Взрослого. Бунтарство – от Ребенка.
В каждом из эго-состояний человек чувствует, ощущает запахи и прикосновения, говорит, слушает, смотрит и действует определенным образом. У каждого эго-состояния своя программа. Некоторые люди чаще реагируют из одного эго-состояния и реже – из других. Например, те, кто чаще реагирует из состояния Родителя, смотрят на мир так же, как смотрели их мама или папа. Это отчасти лишает их способности самостоятельно постигать мир и искажает восприятие.
КАК ФОРМИРУЮТСЯ ЭГО-СОСТОЯНИЯВнимание новорожденного целиком поглощено его личными потребностями и комфортом. Младенец стремится избежать болезненного опыта и реагирует на уровне ощущений. Уникальное эго-состояние Ребенка возникает почти с рождения (влияние пренатальной стадии на него пока не установлено).
Далее развивается эго-состояние Родителя. Его часто можно наблюдать, когда ребенок играет в дочки-матери и подражает поведению взрослых. Иногда родители с потрясением узнают себя в играх малыша. Порой им нравится, какими их изображают.
Эго-состояние Взрослого формируется, когда ребенок пытается осмыслить мир и узнает, что окружающими можно манипулировать. Так, он может задаваться вопросом: «Почему я должен есть, если не голоден?» – и пытаться управлять окружающими, притворяясь, что у него болит живот, чтобы его не заставляли есть.
КЕЙСШери год и десять месяцев. На Рождество ей подарили игрушечную коляску. Сначала она пыталась сама забраться в коляску, повторяя: «Я малыш». Но та оказалась слишком маленькой для нее. Тогда она попыталась положить в коляску куклу. Кукла поместилась. Шерри восторженно закричала: «Я мама!» – и начала возить коляску, но эта роль вскоре ей наскучила. Она сердито выбросила куклу, опрокинула коляску, потом подняла ее и снова попыталась сама в нее забраться. Но у нее опять ничего не получилось. В отчаянии она снова положила в коляску куклу. Так она пыталась поменяться ролями четыре раза. Затем, видимо, все-таки поняла, что слишком большая, решила остаться «мамой» и далее вела себя с куклой так, как ее мать вела себя с ней.
«Материнское» поведение Шери – подражание ее реальной матери – возникало в эго-состоянии Родителя. В эго-состоянии Ребенка девочке хотелось самой быть малышом. Но ее эго-состояние Взрослого получило и обработало объективную информацию: она не помещается в коляску.
Любая ситуация может активизировать определенное эго-состояние; как показано в примере Шери, порой разные эго-состояния борются за главенство. В общении двух людей один «малыш», столкнувшись с другим, может взять на себя функцию родителя или стать «старшим малышом».
ВВЕДЕНИЕ В ТРАНЗАКТНЫЙ АНАЛИЗУлыбка, кивок, приветствие, хмурый взгляд – все эти виды взаимодействия между людьми на языке транзактного анализа называются поглаживаниями. Два и более поглаживаний – это уже транзакция. Любую из них можно отнести к одной из трех категорий: комплементарной, перекрестной, скрытой.
Комплементарные транзакции
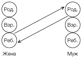
Комплементарная транзакция осуществляется, когда человек обращается к другому из определенного эго-состояния, рассчитывая на конкретную реакцию, и получает предсказуемую реакцию из того эго-состояния, к которому обращается. Берн описывает ее как «адекватную, ожидаемую и соответствующую естественному порядку здоровых отношений между людьми». Например, если жена оплакивает смерть подруги, а муж с сочувствием ее утешает, временная потребность в зависимости адекватно удовлетворяется (это показано на рис. 2.2).

Рис. 2.2. Схема взаимодействия супругов. Комплементарная транзакция
Комплементарная транзакция возможна между любыми двумя эго-состояниями. Пример транзакции Родитель – Родитель: пара с грустью обсуждает отъезд детей из дома; Взрослый – Взрослый: решение задачи; Ребенок – Ребенок или Родитель – Ребенок: совместное развлечение. Находясь в эго-состоянии Родителя, человек может взаимодействовать с другим человеком в любом эго-состоянии; то же касается состояний Взрослого и Ребенка. Если реакция ожидаемая, мы имеем дело с комплементарной транзакцией. Линии коммуникации в ней открыты, и люди могут продолжать взаимодействие.
Жесты, мимика, поза, тон голоса – тоже часть транзакции. Если адресат хочет понять все нюансы сказанного, необходимо принимать во внимание не только слова, но и невербальные аспекты коммуникации.
Чтобы лучше понять следующие схемы, предположим, что у транзакции недвусмысленный посыл, а вербальная и невербальная ее составляющие не противоречат друг другу. Впрочем, любая схема транзакции – это всего лишь догадка, хоть и не совсем наобум. Для точного анализа транзакции необходимо иметь представление обо всех трех эго-состояниях каждого участника (примеры приведены на рис. 2.3–2.7).

Рис. 2.3. Обмен данными при транзакции Взрослый – Взрослый

Рис. 2.4. Сочувствующий Родитель – Родитель

Рис. 2.5. Игривый Ребенок – Ребенок

Рис. 2.6. Ребенок – опекающий Родитель

Рис. 2.7. Рассерженный Ребенок – внимательный Взрослый, предлагающий обратную связь
В каждой из описанных транзакций мы имеем дело с открытой коммуникацией: отвечающий реагирует так, как от него ждут, реакция адекватна стимулу. Но так бывает не всегда. Иногда за стимулом следует неожиданная или неадекватная реакция. Тогда линии коммуникации перекрещиваются.
Перекрестные транзакции
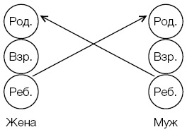
Когда двое собеседников стоят и мечут друг в друга молнии, поворачиваются друг к другу спиной и расходятся, не желая продолжать взаимодействие, или недоумевают из-за общения, вероятно, речь идет о перекрестной транзакции. Тут второй участник реагирует на стимул неожиданно. Активируется эго-состояние, отличное от того, к которому обращался первый участник, и линии коммуникации перекрещиваются. Результатом становятся уход от общения, нежелание продолжать коммуникацию или смена темы. Так, если муж не проявляет сочувствия к жене, чья подруга умерла, и говорит что-то вроде «А кому сейчас легко!» – он, скорее всего, оттолкнет ее (рис. 2.8).

Рис. 2.8. Схема взаимодействия супругов. Перекрестная транзакция
Перекрестные транзакции – частый источник неприятных эмоций в отношениях родителей и детей, супругов, руководителей и подчиненных, учителей и учеников и т. д. Инициатор рассчитывает услышать определенный ответ и не получает его. Его будто «затыкают», он чувствует, что столкнулся с обесцениванием и непониманием (примеры приведены на рис. 2.9–2.15).

Рис. 2.9

Рис. 2.10

Рис. 2.11

Рис. 2.12

Рис. 2.13










