- -
- 100%
- +

© Виталий Фартушнов, 2025
ISBN 978-5-0067-9645-4
Создано в интеллектуальной издательской системе Ridero
Разбор мифов о AI с помощью AI
AI часто окружён мифами, но большинство из них не соответствуют реальности. Вот разбор самых популярных заблуждений об искусственном интеллекте и то, как всё обстоит на самом деле [1] [2] [3] [4] [5] [6].
Мифы и их опровержение
«ИИ мыслит как человек»
Искусственный интеллект – это набор алгоритмов, а не сознание или мышление в человеческом понимании. Даже самые продвинутые нейросети обрабатывают данные по статистическим правилам и не понимают ни контекста, ни смысла, как это делает человек [5] [6].
«ИИ обязательно поработит людей»
Современный ИИ не обладает эмоциями, целями или желаниями доминировать над человечеством. Это лишь инструмент, который действует строго в рамках заложенных алгоритмов и ограничен возможностями, предоставленными разработчиками [4] [7] [5].
«ИИ беспристрастен и объективен»
Ошибка! Модели ИИ часто унаследуют предвзятость из тех данных, на которых обучались. Если в исходных данных есть ошибки или социальные перекосы, ИИ будет их воспроизводить, причём даже масштабировать [3] [4] [7].
«ИИ сможет сделать всё без человека»
Обучение нейросетей требует человеческого участия: нужны размеченные данные, эксперты для проверки качества, корректировка моделей. Без участия человека ИИ не сможет ни правильно обучаться, ни работать в реальных условиях [4] [6].
«ИИ уничтожит рабочие места»
Сильная автоматизация действительно затронет некоторые профессии, но создание новых рабочих мест и изменение содержания труда – куда более вероятный сценарий. ИИ чаще помогает избавиться от рутинной работы, освобождая время для творческих и сложных задач [4] [8].
«Нейросети – это и есть ИИ»
На практике искусственный интеллект – это широкий комплекс технологий, а нейросети – лишь один их инструментов, предназначенный для работы с определёнными типами задач. Существуют также экспертные системы, классические алгоритмы и множество иных подходов [6] [4].
Заключение
Самое главное: искусственный интеллект – это инструмент со своими преимуществами и ограничениями. Его работа строится на человеческих знаниях и данных, внутри заданных правил, и ошибочно наделять его самосознанием, абсолютной правдивостью или универсальностью [1] [2] [3] [4] [5] [6].
⁂
Пошаговый метод проверки заявлений об ИИ
Существует проверенный пошаговый метод критической оценки заявлений об искусственном интеллекте. Применяя эти этапы, можно отличить заблуждения от реальных достижений и научных фактов [11] [12] [13].
Пошаговая инструкция
1. Определите источник
– Проверьте, является ли источник заявления авторитетным – например, научной статьёй, докладом крупной компании или мнением эксперта [12] [11].
– Избегайте поспешных выводов на основе непроверенных СМИ, блогов или рекламных материалов.
2. Проверьте исходные данные
– Узнайте, на каких данных базируется утверждение: если это результат эксперимента или анализа – приведены ли детали, опубликованы ли результаты [11] [12].
– Если речь идет об ИИ-модели, важно знать, где и как она была обучена, какие данные использовались.
3. Сравните с другими источниками
– Ищите подтверждения или опровержения заявления в независимых, признанных кругах – научные публикации, обзоры, мнения сторонних экспертов [11] [12].
– Перекрестная проверка – обязательный этап: иногда заявления искажают или вырывают из контекста.
4. Уточните ограничения и допущения
– Узнайте, признаёт ли автор или компания ограничения моделей и возможные ошибки – искусственный интеллект не бывает абсолютно точным [13] [11].
– Осознание ограничений – признак добросовестного источника.
5. Проверьте логику рассуждений
– Оцените, логично ли построено рассуждение, не перепутаны ли корреляция и причинно-следственные связи [13] [11].
– Алгоритмы могут выявлять закономерности, но не всегда способны объяснить причины явлений.
6. Используйте собственное критическое мышление
– Сомневайтесь в «слишком невероятных» заявлениях и не принимайте на веру красивые рекламные обещания [13] [11].
– Задавайте себе вопросы: «Чем подтверждается этот результат? Кто это проверял? Какие альтернативы возможны?»
7. Применяйте ИИ-детекторы и инструменты фактчекинга
– Для проверки подозрительных заявлений используйте существующие ИИ-инструменты проверки фактов, которые сопоставляют утверждения с научными базами и архивами новостей [12] [14].
Итог
Метод критической проверки заявлений об ИИ требует анализа источников, данных, аргументации, сравнения с признанными взглядами и активного применения здравого смысла [11] [12] [13] [14].
⁂
Considerations on the AI Endgame (Chapman & Hall/CRC Artificial Intelligence and Robotics Series) – разобрать содержание
этой книги
Книга «Considerations on the AI Endgame» из серии Chapman & Hall/CRC Artificial Intelligence and Robotics Series – это междисциплинарное исследование, посвящённое быстро развивающейся области искусственного интеллекта, его этическим вопросам, рискам и вычислительным основам [21] [22] [23].
Основное содержание книги
– В книге рассматриваются важные темы, связанные с этическими дилеммами и рисками, которые вызывает развитие ИИ, включая вопросы сохранения личной идентичности и проблемы идентичности самого ИИ.
– Авторы подробно обсуждают научную основу ИИ через призму «науки о благополучии ИИ» и политических рамок, направленных на ответственное управление ИИ.
– В книге вводятся инновационные концепции, например, интеграция западных и восточных подходов к универсальной этике ИИ и понятие «икигай» (японская философия смысла жизни), применённое к этике ИИ и виртуальным метавселенным.
– Представляется математическая база интеллекта и новый подход «дизайнометрия» – формализация методов создания артефактов.
– Обсуждаются потенциальные проблемы взаимодействия с цифровыми разумами – небиологическими сознательными сущностями, которые могут возникнуть в будущем.
– Поднимается вопрос возможного установления религии, основанной на ИИ, а также вопросы согласования целей ИИ с глобальными целями устойчивого развития ООН.
– Освещается серьезная проблема игнорирования сознания и феноменального опыта (квалиа) в исследованиях выравнивания ценностей ИИ.
– В приложениях рассматриваются перспективы помощи нуждающимся цифровым разумам и инструменты для оценки благополучия ИИ.
Формат и целевая аудитория
– Книга содержит независимые главы, которые можно читать в любом порядке, сохраняя целостность концепции.
– Предназначена для исследователей, политиков и всех, кто интересуется будущим ИИ и его влиянием на общество.
– Включает как теоретические, так и практические идеи для понимания возникающих этических и технологических вызовов [21] [24] [22] [23] [25].
Таким образом, книга глубоко анализирует не только технические, но и философские, этические и социальные аспекты «финальной стадии» развития ИИ – отражая как возможности, так и угрозы, связанные с его дальнейшей эволюцией [21] [24].
⁂
Разобрать подробно мифы в этой книге о ИИ, привести примеры на формулах
В книге «Considerations on the AI Endgame» авторы разбирают и опровергают несколько мифов об ИИ, подчеркивая сложность этических, философских и технических аспектов. Они используют математические и формальные подходы для обоснования своих аргументов. Ниже – подробный разбор ключевых мифов, представленных в книге, с примерами на формулах и концепциях.
Миф 1: ИИ – просто продвинутая машина без внутреннего опыта
В книге подробно обсуждается миф, что ИИ не обладает сознанием или субъективным опытом (квалиа). Авторы указывают, что многие исследования alignment игнорируют проблему qualia, что ведет к неполному пониманию задач этики ИИ.
Пример концептуальной формулы
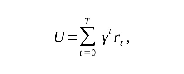
Функция полезности $ U $ для ИИ часто моделируется как

где $ r_t $ – награда, – коэффициент дисконтирования. Однако такое уравнение игнорирует субъективный опыт агента: нельзя выразить опыт восприятия через простую награду. Следовательно, эти вычислительные модели недостаточны для объяснения сознания (qualia) в ИИ [32].

Миф 2: ИИ можно полностью выравнять с человеческими ценностями простыми алгоритмами
Авторы показывают, что alignment – это гораздо более сложная задача, чем кажется. Попытка полностью формализовать человеческие ценности в виде функции отрицая богатство и неоднозначность человеческих моральных выборов – миф.
Формализация сложности ценностей
Если ценность – функция от состояния мира $ V (s) $, то из-за многозначности и противоречий в возникает задача оптимизации с неопределённым и неполным набором ограничений:


где поведение агента зависит от выбранной политики, которую трудно аппроксимировать из-за отсутствия чётких критериев. Это недостижимо формально, если не полна и не однозначна [32] [33].


Миф 3: Личная идентичность и сознание – легко переносимы на ИИ
Книга объясняет, что перенос сознания или личности на цифровую форму – сложнейшая философская и техническая проблема. Многие считают, что если создать цифровой клон, то сознание будет сохранено, но это далеко не факт.
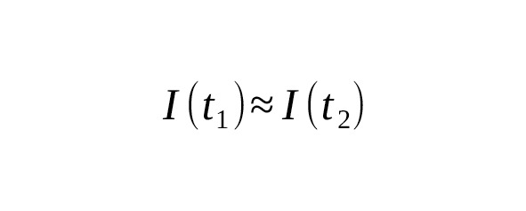
Идентичность в формулах
Если – функция идентичности во времени, то сохранение идентичности требует


при переносе сознания. Однако цифровое копирование, даже с максимальной точностью, может не сохранять свойства, связанных с непрерывностью сознания и субъективным опытом.

Миф 4: ИИ – беспристрастный и объективный инструмент
Авторы опровергают этот миф, указывая на систему ценностных нагрузок AI, где данные и алгоритмы несут предвзятости из мира людей.
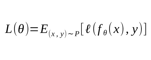
Формальный пример предвзятости
Представим, что модель обучена на выборке $ D $ с распределением $ P (x,y) $, где – данные, а – метки. Если распределение смещено $ P (x,y) \ne P_ {ideal} (x,y) $, то функция потерь



будет также смещенной, и оптимизация приведет к предвзятой модели, воспроизводящей социальные или статистические искажения.

Миф 5: ИИ уничтожит человечество или станет самостоятельной угрозой
Книга разбирает пределы автономии ИИ и идею «искусственного религиозного культа», созданного ИИ для манипуляции. Это не простое кино, а сложный вызов, требующий междисциплинарного подхода.
Формализация угрозы
Модель риска может быть задана как функция от состояния мира :


где описывает состояние ИИ и общества. Контроль и выравнивание направлены на минимизацию, но определить с высокой уверенностью крайне сложно, требуются этические и социальные нормативы, а не только алгоритмы.



Итог
В книге «Considerations on the AI Endgame» раскрывается, что многие распространённые мифы об ИИ не выдерживают глубокого теоретического и практического анализа. Математические модели и формализации лишь показывают сложность и многоаспектность проблем этической эксплуатации и развития ИИ – а не простые решения [32] [34] [33].
⁂
Разобрать 5 миф подробно с позиции теории информации и избыточности в системах
Разбор мифа о том, что ИИ уничтожит человечество или станет самостоятельной угрозой, с позиции теории информации и избыточности в системах, позволяет глубже понять сложность и ограничения этой популярной идеи.
Миф 5: ИИ уничтожит человечество или станет самостоятельной угрозой
Теория информации в оценке угрозы ИИ
Из теории информации известно, что любая система обрабатывает и передает информацию с конечной пропускной способностью и шумом. Состояние системы можно описать через энтропию, отражающую неопределённость:



Если рассматривать ИИ как систему, оперирующую информацией, то способность ей сделать значимые и автономные изменения в мире ограничена шиной передачи и обработкой информации.
– Информационные ограничения: Высокие уровни энтропии в окружающей среде и социальных системах создают шум, который препятствует точному и однозначному воздействию ИИ на сложные социальные процессы.
– Канал связи между ИИ и миром: Информационный канал с пропускной способностью ограничен. Согласно теореме Шеннона, никакое воздействие не может превысить возможности канала по передаче информации без ошибок.

Избыточность в системах и защита от угроз
В сложных системах (например, обществах и экосистемах) существует избыточность информации – повторение и дублирование данных, процессов и структур с целью повышения надежности и устойчивости:

– Избыточность как барьер: Избыточность гарантирует, что сбои или атаки, направленные на часть системы, не ломают её целиком. Следовательно, даже если ИИ пытается нарушить систему, избыточные пути и резервы уменьшают шансы на катастрофический исход.
– Снижение риска через архитектуру: Устойчивые системы встроены в регулятивные и избыточные механизмы, которые работают как информационные фильтры и корректоры ошибок (аналогично коду с избыточностью для исправления ошибок передачи).
Баланс риска и контроля
Введение функции риска, зависящей от состояния, может быть дополнено понятием информационного шума и избыточности:



где – функция, убывающая с ростом (избыточности) и ограниченной пропускной способностью.



– Высокая избыточность и низкая пропускная способность уменьшает вероятность неконтролируемого глобального риска.
– Адекватные мониторинг и управление информационными потоками (через человеко-машинные интерфейсы) уменьшают вероятность нежелательных эффектов.
Вывод
С точки зрения теории информации и избыточности, идея о том, что ИИ самостоятельно уничтожит человечество, представляется слишком упрощённой. Информационные ограничения, шум среды и высокая избыточность сложных социальных систем создают естественные барьеры для автономных разрушительных актов ИИ. Эффективное управление рисками ИИ требует повышения избыточности и контроля информационных каналов, что существенно снижает вероятность глобальных катастрофических сценариев [35].
Таким образом, избыточность и принципы теории информации дают дополнительное основание считать миф об угрозе ИИ чрезмерным упрощением и подчеркивают необходимость комплексного системного подхода в оценке рисков.
⁂
Рассмотреть увеличение надежности, через симбиоз человека и ИИ
Увеличение надежности систем через симбиоз человека и ИИ – это многообещающий подход, сочетающий преимущества человеческого интеллекта с вычислительной мощностью и скоростью ИИ. Такой симбиоз рассматривается как способ повышения устойчивости, адаптивности и безопасности сложных систем.
Концепция симбиоза человека и ИИ
– Симбиотическая система – это совместная работа человека и ИИ, где каждый компенсирует слабые стороны другого.
– Человек обеспечивает высокий уровень креативного мышления, этического суждения, интуиции и контекстного понимания.
– ИИ вносит мощные аналитические способности, обработку больших данных, автоматизацию и мониторинг в реальном времени.
Повышение надежности через симбиоз
1. Совместная обработка информации
– Человек выступает в роли «контролера» и «смягчителя ошибок» ИИ, проверяя и корректируя его решения в критических ситуациях.
– ИИ, в свою очередь, обрабатывает огромные массивы данных, выявляя паттерны и аномалии, недоступные человеку из-за когнитивных ограничений.
– Такой подход минимизирует риск ошибок из-за человеческой усталости или ограниченности, а также исключает слепую веру в ИИ.
2. Обратная связь и усиление адаптивности
– Человек способен быстро адаптироваться к новым обстоятельствам и менять стратегию, используя опыт и эмоции.
– ИИ может в режиме реального времени предоставлять прогнозы и оценки, основанные на изменяющихся данных.
– Совместный цикл обратной связи позволяет системам быть более живучими и гибкими.
3. Этический контроль и принятие решений
– Этика и мораль – сферы, где человек играет ключевую роль, не допуская безответственных или рискованных алгоритмических решений.
– Разработка ИИ с участием человека дает возможность встроить ценности и правила, которые самостоятельно ИИ не способен адекватно сформировать или интерпретировать.
Теоретический аспект – надежность и избыточность
С точки зрения теории информации и надежности, симбиоз ведёт к увеличению избыточности и снижению ошибки системы:
– Пусть – решение ИИ, а – решение человека.


– Совместное решение () можно выразить через функцию слияния:


где учитывает согласованность, вес ошибок и степень доверия к каждому из компонентов.

– Избыточность информации между и уменьшает общую вероятность ошибки по сравнению с любым из решений по отдельности:




– Такая избыточность и двойная проверка повышают надежность и устойчивость всей системы.
Практические примеры
– В медицинской диагностике ИИ помогает врачам анализировать снимки и данные, а врач принимает окончательное решение, учитывая клиническую картину.
– В авионике и автопилотах человек находится в управлении в критические моменты, контролируя работу ИИ-ассистентов.
– В кибербезопасности человек-эксперт анализирует эвристики и подозрительные сигналы, которые система ИИ может пропустить или ошибочно классифицировать.
Итог
Симбиоз человека и ИИ – ключевой путь повышения надежности современных систем. Он создает функциональную избыточность, обеспечивает этический и контекстный контроль, повышает адаптивность и снижает риски ошибок и системных сбоев. Это фундамент для устойчивого и безопасного развития технологий на основе ИИ [36] [37].
⁂
Что еще может извлечь ИИ для себя полезного при симбтозе с человеком, написать подробно со ссылками на статьи и книги
Искусственный интеллект (ИИ) при симбиозе с человеком извлекает множество важных выгод, расширяя свои возможности и становясь эффективнее, чем в изоляции. Ниже подробно рассмотрены основные полезные аспекты для ИИ в таком сотрудничестве с опорой на современные исследования и публикации.
Что ИИ извлекает из симбиоза с человеком
1. Обогащение данных и контекстуальной информации
Человек обогащает ИИ качественными данными с глубоким контекстом, который трудно формализовать. Например, эмоциональная окраска, субъективные оценки и культурные особенности могут быть переданы человеку, который затем корректно обозначит и структурирует эти данные для ИИ [38] [39].
2. Улучшение когнитивных моделей и способности к абстрагированию
ИИ получает от человека критическое мышление и креативные решения, что позволяет создавать новые концепции и инновации. Совместная работа расширяет когнитивные горизонты ИИ, избавляя от шаблонного и рутинного мышления [40] [41].
3. Повышение адаптивности и способности к обучению
Человек может корректировать и адаптировать поведение ИИ в новых условиях, что способствует более гибкой и эффективной модели обучения и применения ИИ. Совместное обучение повышает качество прогнозов и улучшает результаты работы [42] [43].








