Gold Trader. Связь между чётными степенями интеграла Гаусса, гамма-функцией и уровнями Фибоначчи

- -
- 100%
- +
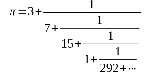
2. Разложение в цепную дробь
Число π можно представить в виде цепной дроби (continued fraction), что раскрывает его слоистую приближенную структуру:

Этот ряд важен, потому что даёт лучшее из возможных приближений числом (например, 22/7, 333/106 и т.д.) [20] [21].
3. Разложения через бесконечные ряды
Существует множество разложений π в виде бесконечных рядов. Так, например, формула Лейбница:
или формула Грегори:
Того же типа – формулы Рамануджана, Чудновских и др., часто включающие факториалы, радикалы и числа Гамма-функции [22] [23].
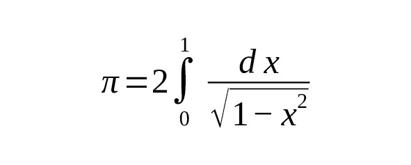
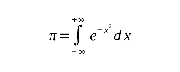
4. Расслоение через интегралы и связанные функции
π можно определять как значение определённого интеграла, что приводит к его представлению через «слоистую» структуру функций:

или

где роль слоёв играют элементарные и специальные функции – экспоненциальные, тригонометрические, а также Гамма-функция (например,) [22].

5. Связь с Гамма-функцией и функциональным анализом
Обобщённые разложения позволяют представить π как результат действия определённых операторов и преобразований:
– — связь с интегралом Гаусса.

– Появление π в резонансных условиях (спектры колец, круговые интегралы и др.).
6. Алгебраическая и топологическая «структура» π
– Иррациональность: у π нет алгебраического представления в виде дроби (это иррациональное и, более того, трансцендентное число), его слой – вне «простых» чисел.
– Трансцендентность: π нельзя выразить с помощью корней и целых коэффициентов – это слой более высокой сложности, чем у большинства чисел [24] [22].
Конец ознакомительного фрагмента.
Текст предоставлен ООО «Литрес».
Прочитайте эту книгу целиком, купив полную легальную версию на Литрес.
Безопасно оплатить книгу можно банковской картой Visa, MasterCard, Maestro, со счета мобильного телефона, с платежного терминала, в салоне МТС или Связной, через PayPal, WebMoney, Яндекс.Деньги, QIWI Кошелек, бонусными картами или другим удобным Вам способом.







