Вместо тысячи солнц. История ядерной бомбы, рассказанная ее создателями

- -
- 100%
- +

О. Фриш
Открытие деления ядер
Успехи, ошибки и явные неудачи нескольких ученых из различных стран придали своеобразный колорит начальному периоду изучения деления ядер. Удачное сочетание пытливой мысли и счастливого случая превратило эту волнующую идею в реальность.
Это начиналось так
В 1932 г. был открыт нейтрон. Почему, спрашивается, прошло семь лет, прежде чем было обнаружено деление ядер? Ведь деление ядер поистине поразительное явление: оно сопровождается сильной радиоактивностью, а полная ионизация от осколков деления превосходит в десятки раз ионизацию от ранее известных процессов. Почему же так долго не могли открыть деление ядер? Для ответа на этот вопрос лучше всего рассмотреть ситуацию в Европе с точки зрения физика-экспериментатора.
Исследования в Европе
В Европе было несколько лабораторий, занимавшихся ядерной физикой, но я думаю, что термин «группа» не успел еще войти в научный обиход. В то время наука развивалась благодаря разрозненным усилиям отдельных ученых, каждый из которых работал только с одним или двумя студентами и ассистентами.
В Париже имелось несколько лабораторий из числа самых активных исследовательских учреждений в Европе. Здесь была открыта радиоактивность. В Париже работала Мария Кюри (до самой кончины в 1934 г.). Ее влияние было огромным. В то время техника измерений – ионизационные камеры и электрометры – была совсем проста, та же, что и на рубеже двух столетий. Этого было вполне достаточно при измерении естественной радиоактивности элементов, но такое оборудование совершенно не отвечало требованиям, которые возникали при выполнении многих работ, посвященных исследованию деления ядер. К теории Мария Кюри относилась без особого уважения. Однажды, когда один из ее студентов, предлагая эксперимент, добавил, что физики-теоретики уверены в том, что он будет успешным, она ответила: «Это не важно, мы поставили бы этот опыт в любом случае». Возможно, из-за такого отношения к теории в этой лаборатории не открыли нейтрон.
Вторым местом, представляющим интерес, был Кембридж. Эрнесту Резерфорду, который стоит за всеми исследованиями, выполненными в Кембридже, удалось расщепить в 1919 г. атомное ядро. С 1909 г. он с особым интересом занимался вопросами обнаружения и счета отдельных ядерных частиц. Им впервые был введен сцинтилляционный метод, который был его любимым детищем. Главные достоинства работ Резерфорда заключались в простоте и безыскусственности применяемых им методов; этим можно объяснить то недоверие, с которым он относился к сложным приборам. Даже в 1932 г., когда Джон Кокрофт и Эрнест Уолтон впервые расщепили ядро с помощью искусственно ускоренных протонов, для регистрации была использована сцинтилляционная методика. К этому времени Резерфорд понял необходимость развития электронных методов счета частиц. Причиной этого явились очевидные недостатки сцинтилляционного метода: он оказался непригодным как при очень больших, так и при очень малых скоростях счета, а его надежность оставляла желать лучшего. Эти недостатки еще более заметны, если вспомнить о результатах, полученных в третьей лаборатории, а именно в венской.
В Вене начиналась моя деятельность. В то время это место было enfant terrible ядерной физики. Например, некоторые физики там утверждали, что не только азот и еще одно или два легких ядра, но практически каждое из легких ядер может быть расщеплено α-частицами и при этом вылетает значительно большее количество протонов, чем то, которое до сих пор удалось наблюдать. Я до сих пор не понимаю, как они могли прийти к таким ошибочным заключениям. Очевидно, они заставили вести подсчет числа сцинтилляций студентов, которым ничего не говорилось о предполагаемом числе отсчетов. На первый взгляд такая методика измерений кажется весьма объективной, потому что студенты свободны от каких бы то ни было предубеждений. Однако у них быстро выявилась тенденция в пользу больших чисел, так как они чувствовали, что заслужат одобрение, если обнаружат много частиц. Вполне вероятно, что неверные результаты были получены как в силу такой тенденции, так и вследствие некритического отношения к собственным результатам и желания во что бы то ни стало победить англичан.
Я хорошо помню, как в момент моего отъезда из Вены (после того как мне удалось избежать обычной участи студентов – подсчета числа сцинтилляций) мой руководитель, Карл Пшибрам, сказал мне унылым голосом: «Не сомневаюсь, что Вы скажете „им“ в Берлине, что мы вовсе не так плохи, как они о нас думают». Убедить «их» мне не удалось.
В Германии исследования по ядерной физике велись в нескольких местах. Группа Отто Гана и Лизе Мейтнер (это была одна их первых групп, где начали изучать радиоактивные элементы) к этому времени разделилась на две группы, проводившие независимые исследования. Ган работал над различными приложениями радиоактивности для изучения химических реакций, структуры осадков и аналогичных явлений; Лизе Мейтнер использовала радиоактивные материалы в основном для изучения процессов β- и γ-излучения и взаимодействий γ-лучей с веществом.
Кроме того, в Германии работал Ганс Гейгер. Еще до 1909 г. в дни, предшествовавшие открытию ядра, он работал у Резерфорда. Резерфорд чувствовал ненадежность сцинтилляционного метода и попросил Гейгера разработать для проверки этого метода электрический счетчик. Но как только Резерфорд увидел, что эти два метода дают один и тот же результат, он вернулся к сцинтилляционной методике, которая казалась ему более простой и надежной, если применять ее с соответствующими мерами предосторожности. Гейгер, возвратившись в Германию, продолжал улучшать электрические счетчики и в 1928 г. вместе с В. Мюллером разработал счетчик для регистрации β-лучей. Ранее созданные счетчики были непригодны для этой цели, а регистрировать β-лучи сцинтилляционным методом нельзя было. Однако и новые счетчики никак нельзя было назвать быстродействующими, так как разряд между центральным электродом и цилиндрической оболочкой гасился на большом сопротивлении (многомегомном), включенном в цепь; соответственно скорость счета была ненамного больше, чем у сцинтилляционного метода. Даже при нескольких сотнях частиц в минуту необходимы были существенные поправки.
Вальтер Боте первым применил метод совпадений, как при попытках исследовать некоторые характеристики космических лучей, так и для измерения энергии γ-лучей по образовавшимся вторичным электронам. Фактически это был первый надежный метод измерения энергии слабого γ-излучения.
До 1932 г. единственными источниками, применявшимися для расщепления атомного ядра, были элементы, обладающие естественной α-радиоактивностью. К ним относились: полоний, достать который было очень трудно (практически весь его запас был в Париже), и один из короткоживущих продуктов распада радия. Хотя последний получался без примесей, он обладал малым временем жизни и давал сильное γ-излучение.
Год открытий
В 1932 г., который с полным правом можно назвать «годом чудес», был открыт нейтрон и, кроме того, произошли два других важнейших события. В США Эрнест О. Лоуренс запустил первый циклотрон, перспективы которого казались многообещающими, а в Англии Кокрофт и Уолтон построили первый ускоритель протонов, которые были способны расщеплять ядра. Нет необходимости говорить, что эти машины положили начало огромному скачку в развитии ядерной физики. Большинство физиков, занимавшихся ядром, впоследствии не могли обойтись по крайней мере без одного из этих двух инструментов для исследования ядра. Однако самое интересное заключается в том, что оба эти прибора практически не смогли указать тот путь, который привел к открытию деления ядер.
Я не хочу очень подробно останавливаться на истории открытия нейтрона, потому что этому было посвящено несколько интересных лекций на Конгрессе по истории науки, состоявшемся в 1962 г. в Итаке (штат Нью-Йорк). В опубликованном сборнике трудов этого конгресса есть интересные доклады Нормана Фэзера и сэра Джеймса Чадвика. Там сказано, что открытие нейтрона в Кембридже было не просто удачей, которая может выпасть на долю каждого исследователя, а явилось результатом поисков нейтрона, проводившихся в Кембридже (несмотря на ошибочные теоретические идеи). Это открытие окрылило ученых Кембриджа. Они обнаружили важное явление, которое могло бы остаться незамеченным. X. К. Вебстер нашел, что интенсивность странных проникающих лучей, испускаемых бериллием при облучении его α-частицами, была больше в направлении движения падающих α-частиц, чем в противоположном. Этот результат был абсолютно непонятен, если бы испускались γ-лучи, как думали в то время. Даже французские физики Кюри и Жолио разделяли эту точку зрения, которая существенно подкреплялась всеми теоретическими предсказаниями. Затем эксперименты Чадвика ясно показали, что мистическое излучение состоит из частиц с массой, приблизительно равной массе протона. Возникло некоторое замешательство, так как Энрико Ферми и Вольфганг Паули уже назвали «нейтроном» частицу, позже переименованную в «нейтрино».
Конечно, после открытия нейтронов интерес к ним заметно возрос, но никто не знал, что именно надо делать. Нейтроны, в конце концов, были вторичными продуктами расщепления ядер, число их было невелико. Выход нейтронов был мал, так как для облучения использовались элементы с естественной α-радиоактивностью.
Кроме того, одним из главных детекторов была камера Вильсона, с помощью которой удается обнаружить лишь незначительное число реакций, в которых участвует нейтрон. Это довольно утомительно – пытаться восстановить истинную картину по нескольким детектированным трекам ядер отдачи.
Лео Сциллард однажды в шутку сказал, что если мужчина совершает какой-нибудь неожиданный поступок, то за этим кроется женщина, ну а если в атомном ядре внезапно что-то произошло, то в этом чаще всего виноват нейтрон.
Электронная методика счета тогда только развивалась. Основным поводом для ее развития послужили неверные результаты, полученные в Вене; оказалось, что никто не мог их подтвердить. Поэтому необходимость разработки электронных счетчиков и усилителей стала очевидной. Венские ученые сами начали вести работы в этом направлении, но без особого успеха. Некоторые результаты были получены Германом Грейнахером в Швейцарии.
Однако, как я думаю, путь, который привел к созданию хороших счетчиков, был найден в Англии Чарльзом Вином-Вильямсом, использовавшим для изготовления электронных счетчиков хорошую защиту, электронные лампы с низким уровнем шумов и т. д. Тем не менее эти счетчики – хотя они и были использованы с большим успехом Чадвиком в опытах с нейтронами – обладали высоким уровнем шумов, что мешало их более широкому применению.
Искусственная радиоактивность
По-настоящему все пришло в движение в 1934 г., когда Кюри и Жолио открыли искусственную радиоактивность. Я думаю, что они должны были быть очень счастливы, так как им удалось наверстать то, что они упустили при открытии нейтрона. Эти открытия разделяют два года; они были сделаны чуть ли не в один и тот же день в середине января. За много месяцев до этого Кюри и Жолио знали, что алюминий, облучаемый α-частицами, излучает позитроны, но им никогда не приходило в голову, что здесь может играть какую- то роль процесс распада. Они наблюдали испускание позитронов только во время облучения мишени. Лоуренс со своей группой, работавшей на циклотроне в Калифорнии, допустил такую же ошибку. Более того, в Калифорнии заметили, что счетчик ведет себя несколько «странно» после выключения циклотрона, и даже разработали специальное приспособление, автоматически выключавшее счетчик одновременно с циклотроном. Будь они повнимательнее, они могли бы открыть искусственную радиоактивность раньше, чем это было сделано во Франции.
Удивительно, что никому для этого не пришла в голову мысль о том, что в результате ядерного расщепления может возникнуть нестабильное ядро, хотя о существовании нестабильных ядер было, конечно, известно уже лет тридцать или более того. Мне говорили, что после открытия искусственной радиоактивности Резерфорд написал Жолио и, поздравляя его, заметил, что сам не раз думал о том, что образующиеся ядра могли быть нестабильными, но сам он всегда искал только α-частицы, потому что β-частицы его никогда не интересовали.
В январе 1934 г., как только стала известна эта работа, многие ученые стали повторять и расширять эксперимент. К сожалению, большинство из них ринулось по пути тривиального воспроизведения опытов Кюри и Жолио, бомбардируя α-частицами другие элементы. (По тому же пути пошел и я в лаборатории Блэкетта в Лондоне.)
Но в Риме в это время Ферми уже решил, что в ядерной физике есть еще важные и интересные направления исследований. У него уже были наготове некоторые экспериментальные установки. Поэтому, когда было сделано это открытие, он быстро поставил эксперименты с целью понять, могут ли ядра становиться радиоактивными под действием нейтронов.
Я помню, что моя реакция, как, возможно, и реакция многих других, была скептической: эксперимент Ферми казался бессмысленным, потому что нейтронов было много меньше, чем α-частиц. Этот простой аргумент, конечно, не учитывал значительно большую эффективность нейтронов. Нейтроны не замедляются электронами, их не отталкивает кулоновское поле ядра. Действительно, не прошло и четырех недель после открытия Кюри и Жолио, как Ферми опубликовал первые результаты, доказывавшие, что различные элементы становятся радиоактивными после их облучения нейтронами. Только спустя месяц он заявил, что при бомбардировке урана возникает некий новый тип радиоактивности, который, как ему кажется, должен быть связан с трансурановыми элементами. На основании как теоретических соображений (кулоновский барьер и тому подобное), так и экспериментальных данных считали, что поглощение нейтронов тяжелыми элементами не может привести к их распаду. Поэтому все были уверены в том, что так должно быть и в случае с ураном.
Конечно, работы Ферми представляли значительный интерес для радиохимиков. Многие из них принялись за дело, но опять, как ни странно, главным стимулом послужил неверный результат – работа Аристида фон Гроссе (химика, работавшего в США, немца по национальности), по мнению которого один из этих элементов вел себя как протактиний.
Совместно с Ганом он сделал одну из первых работ по протактинию вскоре после открытия этого элемента в 1917 г., поэтому полученные им результаты заставили Гана и Мейтнер мобилизовать все свои силы. Они считали протактиний собственным детищем и решили проверить выводы фон Гроссе. Лизе Мейтнер уговорила Гана снова объединить усилия. Скоро ими было показано, что Гроссе ошибся: это был не протактиний. С другой стороны, было обнаружено так много странных явлений, что работа увлекла их и они решили продолжать исследования. Результат превзошел все ожидания.

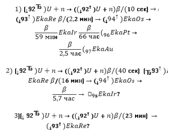
Схема каналов распада радиоактивных элементов (из статьи Гана, Мейтнер и Штрассмана, опубликованной в журнале «Naturwissenschaften» в 1938 г.)
Выше приведены цепочки радиоактивных элементов, классифицированных Ганом и Мейтнер. Они еще не присвоили специальных названий трансурановым элементам, а употребили приставку «эка», чтобы подчеркнуть их связь с рением, осмием и т. д.; ряд трансурановых элементов заканчивался на эказолоте. Очевидно, такое большое число новых химических элементов вызвало у Гана желание ознакомиться с ними и изучить их свойства. В наши дни элементы, идущие за ураном, известны, конечно, как нептуний, плутоний, америций и т. д., а современные данные об их химических свойствах отличаются от сведений, полученных Ганом.
Параллельные цепочки
Результаты оказались удивительными по двум причинам. Прежде всего, были обнаружены три параллельные цепочки. Судя по образующимся продуктам распада, все вновь полученные элементы вели свое начало от U238; возможно, что некоторые из них происходили от U235 (который встречается значительно реже). Таким образом, дело выглядело так, что есть по крайней мере две параллельные цепочки элементов-изомеров. Изомерные свойства распространяются на всю цепочку элементов, возникающих при β-распадах.
Изомерия ядер была в 1938 г. новинкой, и не было ясно, как ее интерпретировать. Было предложено считать (как это принято и сейчас), что она обусловлена угловыми моментами высокого порядка, но были также предположения, что она является следствием существования каких-то жестких образований внутри ядра. Можно было представить себе, что такое жесткое образование могло бы уцелеть при β-распаде и влиять на время жизни следующего продукта распада.
Но и в этом случае большая длина цепочки все еще казалась непонятной. В конце концов уран сам по себе не был β-радиоактивным. Другие элементы этой группы никогда не испытывают больше двух последовательных β-распадов, а здесь наблюдалось четыре или пять. Ган-химик наслаждался столь большим числом новых элементов, а Гана-радиохимика или физика-ядерщика беспокоил механизм, который мог бы объяснить их существование.
Политическая ситуация в Германии затрудняла проведение всех этих работ. У власти был Гитлер, и институт вел тонкую политическую игру с правительством, чтобы предотвратить преследование некоторых сотрудников института по расовым мотивам. Когда в 1938 г. нацисты оккупировали Австрию, положение Мейтнер стало весьма небезопасным; начали распространяться слухи о том, что она может потерять свое место и ей не разрешат выехать из Германии, так как она слишком много знает. Это вызвало у нее беспокойство. Датские коллеги предложили провезти ее нелегально в Голландию без визы. Поэтому в начале лета 1938 г. она уехала из Германии, проехала Голландию, сделала короткую остановку в Дании и воспользовалась гостеприимством Манне Зигбана из Нобелевского института в Стокгольме.
Вблизи цели
После этого группа Гана, в которую уже вошел Штрассман, стала продолжать работу, но Лизе Мейтнер там не было. Между тем аналогичными вопросами стали заниматься в Париже. Интересно отметить, что точки зрения этих двух групп не совпадали. Сначала трансурановыми элементами в Париже мало интересовались. Однако вскоре интерес к ним резко возрос, так как была обнаружена новая, пропущенная ранее цепочка радиоактивных элементов с атомным весом 4n + 1, получающаяся при бомбардировке тория нейтронами. Известно, что ряды с атомным весом 4n, 4n + 2, 4n + 3 состоят из элементов с естественной радиоактивностью. Но цепочка 4n + 1 не была известна, и поэтому Ирэн Кюри, дочь мадам Кюри-Склодовской, вместе с австрийцем Гансом фон Гальбаном и швейцарцем Петером Прайсверком, приступила к исследованию этой серии и опубликовала несколько работ по этому вопросу.
Позже эта группа распалась, потому что Гальбан уехал в Копенгаген, где в течение некоторого времени занимался вместе со мной исследованием медленных нейтронов. Ирэн Кюри нашла нового сотрудника в лице югослава Павле Савича. Они пытались разобраться в вопросах, связанных с трансурановыми элементами. Понимая, что это – целый ряд различных веществ, Ирэн Кюри предложила остроумный метод выделения одного из них по высокой проникающей способности испускаемых им β-лучей. Покрыв образцы достаточно толстым листом латуни, они исследовали только те препараты, излучение которых проходило через этот экран. Но они не могли даже представить себе, что при такой методике могло бы отбираться не одно вещество, а несколько, тем более что время жизни, равное 3,5 часа, оказалось всюду одинаковым. По своим химическим характеристикам, как они сначала думали, это вещество напоминало торий.
Ган проверил эту работу и пришел к заключению, что это не торий. Он сообщил об этом в Париж. Кюри и Савич продолжали работу и в более поздней заметке летом 1938 г. подтвердили, что вещество с периодом полураспада 3,5 часа не является торием, но по своим свойствам немного напоминает актиний, а еще больше лантан. Кюри действительно вплотную подошла к гипотезе о делении ядер, но, к сожалению, не высказала ее достаточно ясно. Она писала, что этот элемент определенно не актиний, очень похож на лантан, «от которого может быть отделен только фракционным методом». Все же, по ее мнению, их можно было разделить. Причиной этого, возможно, было то, что Кюри получила смесь двух веществ; в этом случае, конечно, можно было осуществить отделение одной составной части от другой. Затем эту работу в свою очередь проделали Ган и Штрассман, которые обнаружили радиоактивные продукты, напоминавшие своим поведением актиний и отчасти радий. Примерно в то же самое время другие ученые были тоже близки к цели: Готфрид фон Дросте – физик, работавший с Лизе Мейтнер, попытался обнаружить, испускает ли уран после облучения его нейтронами α-частицы с большой длиной пробега. Если бы он, подав смещение на усилитель, отсек тем самым обычные α-частицы, то он бы, конечно, обнаружил явление деления ядер. К сожалению, вместо того чтобы использовать смещение, он применял фольгу, толщина которой была достаточной для того, чтобы через нее не прошло не только α-излучение от урана, но и осколки деления; также не были найдены длиннопробежные α-частицы, которые должны были бы появляться в случае образования изотопов радия и актиния.
Позже Ган и Штрассман, тщательно исследовав химические свойства этого «радия», обнаружили его идентичность с барием.
Плодотворный визит
Именно с этого момента я активно включился в работу над этой проблемой. Я приехал в Швецию, где Лизе Мейтнер страдала от одиночества, и я, как преданный племянник, решил навестить ее на рождество. Она жила в маленьком отеле Кунгэльв около Гетеборга. Я застал ее за завтраком. Она обдумывала письмо, только что полученное ею от Гана. Я был весьма скептически настроен относительно содержания письма, в котором сообщалось об образовании бария при облучении урана нейтронами. Однако ее привлекла такая возможность. Мы гуляли по снегу, она пешком, я на лыжах (она сказала, что может проделать этот путь, не отстав от меня, и доказала это). К концу прогулки мы уже могли сформулировать некоторые выводы: ядро не раскалывалось, и от него не отлетали куски, а это был процесс, скорее напоминавший капельную модель ядра Бора; подобно капле ядро могло удлиняться и делиться. Затем я исследовал, каким образом электрический заряд нуклонов уменьшает поверхностное натяжение, которое, как мне удалось установить, падает до нуля при Z = 100 и, возможно, весьма мало для урана. Лизе Мейтнер занималась определением энергии, выделяющейся при каждом распаде из-за дефекта массы. Она очень ясно представляла себе кривую дефекта масс. Оказалось, что за счет электростатического отталкивания элементы деления приобрели бы энергию около 200 МэВ, а это как раз соответствовало энергии, связанной с дефектом массы. Поэтому процесс мог идти чисто классически без привлечения понятия прохождения через потенциальный барьер, которое, конечно, оказалось бы тут бесполезным.
Мы провели вместе два или три дня на рождество. Затем я вернулся в Копенгаген и едва успел сообщить Бору о нашей идее в тот самый момент, когда он уже садился на пароход, отправляющийся в США. Я помню, как он хлопнул себя по лбу, едва я начал говорить, и воскликнул: «О, какие мы были дураки! Мы должны были заметить это раньше». Но он не заметил, и никто не заметил.
Мы с Лизе Мейтнер написали статью. При этом мы постоянно поддерживали связь по междугородному телефону Копенгаген – Стокгольм. Я рассказал о наших соображениях Плачеку, находившемуся в Копенгагене, прежде чем решил ставить эксперимент. Сначала Плачек не верил, что эти тяжелые ядра, которые, как известно, испускают α-частицы, могут быть подвержены еще одному типу распада. «Это звучит, – сказал он, – примерно так: человек попал под машину, а при вскрытии оказывается, что пострадавший и без того скончался бы через несколько дней, так как у него злокачественная опухоль». Затем он сказал: «Почему бы вам не провести контрольные эксперименты, используя камеру Вильсона?» У меня не было подходящей камеры Вильсона, а найти ее каким бы то ни было образом было трудно. Но я приспособил ионизационную камеру, с помощью которой можно было без труда экспериментально наблюдать большие импульсы, возникающие от ионизации, производимой осколками деления.
Я не считаю, что хронологическая последовательность событий играет существенную роль; кроме того, я не хочу приписать себе особые умственные способности или же оригинальность мышления. Мне просто посчастливилось быть вместе с Лизе Мейтнер, когда она получила сообщение об открытии Гана и Штрассмана. Потребовалось некоторое напоминание извне для того, чтобы я провел решающий эксперимент 13 января. К этому времени наша совместная работа была почти написана. Я продержал ее еще три дня, дописал другую статью и отправил их вместе в «Nature» 16 января; они были опубликованы неделей позже. В первой статье я употребил слово «деление», предложенное мне американским биологом Уильямом А. Арнольдом, у которого я спросил, как размножаются клетки.




