Время стрессов. Обоснование и практические результаты психопрофилактической работы в спортивных командах

- -
- 100%
- +
– развитие отрицательной симптоматики имеет определенную поступательность. Между нормальной адаптационной реакцией напряжения и формированием невроза или выраженных психосоматических заболеваний обнаруживаются промежуточные, временные состояния функциональных расстройств (в том числе и психических); на схеме показано, что чем дальше заходит расстройство, тем большее влияние на это оказывает предрасположение, почва.
Все это подтверждает значение общих гигиенических (здоровье спортсмена) и профилактических (предупреждение дезинтеграции, снижение степени напряжения) факторов для состояния спортсмена в экстремальных условиях.
По мере усиления роли психического стресса не подлежит сомнению, что в исследованиях необходимо сочетание методов медикобиологических, психологических, клинических, ибо психический стресс – это проблема комплексная. Однако чаще всего определяются гормональные показатели, некоторые показатели деятельности сердечно-сосудистой системы (частота сердечных сокращений, кровяное давление, динамика минутного объема крови), сдвиги в формуле крови, калиево-натриевом балансе, мышечном тонусе, температуре, кожно-гальванической реакции и пр. Нет необходимости приводить здесь эти широко известные исследования и их данные, но следует отметить, что в целом ряде исследований для характеристики деятельности и работоспособности в спортивных условиях применялись те же методы изучения стресса, какие применялись на других моделях.
Широко распространены исследования нейроэндокринных и метаболических изменений (исследования эозинофилов, 17 кетостероидов, катехоламинов и пр.). Ф. Вайст и К. Адам изучали адаптацию симпатоадреналовой системы у гребцов. Оказалось, что ожидание перед основным соревнованием действительно представляет собой психический стресс, вызывающий повышение симпатоадреналовой активности.
Л. Леви (1967) обнаружил положительную корреляцию между интенсивностью эмоционального возбуждения, выделением адреналина и норадреналина с мочой. Ф. Элмадьян и др. (1957) указывали на такие же результаты, сравнивая выделение катехоламинов во время напряженных ситуаций у хоккеистов и боксеров. Отмечено, что сама утомительная физическая нагрузка изменяет выделение катехоламинов. У лыжников и марафонцев после тренировки их выделение было в 4–8 раз больше, чем в покое. Сходные итоги получены при сравнении выделения катехоламинов и у хоккеистов (до, во время и после игры). По данным В. И. Баландина (1973), сдвиги во время тренировочной нагрузки оказываются у лыжников все же в 2 раза меньшими, чем во время соревнования. Г. Крахенбал также изучал (1971) выделение катехоламинов у теннисистов в четырех ситуациях: обычные условия, тренировка, ожидание соревнования, соревнование. Различия между обычными условиями и тренировкой получились недостоверными. Достоверные различия между тренировками и соревнованиями подтвердили, что психические стрессоры вызывали значительное увеличение выделения катехоламинов. В данном эксперименте психическая переменная имела большее влияние на усиление стрессовой реакции, чем нагрузочный физиологический компонент.
Многие авторы считают, что о степени адаптации организма с большей надежностью можно судить по изменениям на метаболическом уровне.
Нейроэндокринной регуляции при мышечной деятельности была посвящена даже специальная конференция (1973, Москва, работа В. В. Меньшикова, Т. Д. Большаковой и др.).
Исследования, проведенные в тренировочном периоде, показывают, что на фоне напряженных физических нагрузок любая дополнительная трудность приводит к резким нейроэндокринным и метаболическим изменениям у спортсменов. Например, при смещении времени нагрузки и при переезде в условия гипоксии. То же зарегистрировано при переезде сначала в условия среднегорья, а затем и на уровень моря.
Показано, что изменения экскреции катехоламинов зависят от фазы неспецифических изменений, вызванных влиянием стресса. При этом при напряжении симпатоадреналовой системы имеют значение соотношения в выделении как адреналина и норадреналина, так и их предшественников – дофамина и ДОФА. Однако в этих работах (Э. А. Матлина, В. Н. Васильев, 1975) не учитывалась содержательная сторона состояния и особенности спортсменов.
Наблюдения адаптации спортсменов к условиям стресса в значительной мере касаются и изучения сердечно-сосудистой системы. Некоторые авторы отмечают, что сердечно-сосудистые проявления стресса могут стать существенным фактором ограничения работоспособности. Канадский ученый Р. Шефард (1968) изучал состояние сердечно-сосудистой системы в условиях олимпийских игр. Он отмечал, что наибольшей степени стрессовые проявления фиксируются при ожидании старта и что они по-разному оказывают свое влияние в зависимости от предстоящего вида деятельности. Телеметрический метод регистрации позволил определить обычную частоту (195–220 уд/мин) сердечных сокращений у спортсменов во время выполнения упражнений в соревнованиях. Однако проблема соотнесения частоты сердечных сокращений и выполняемого объема максимальной нагрузки пока не решена.
Количественная регистрация динамики сердечно-сосудистых показателей, определение минутного объема крови дают основание для качественного суждения о сопутствующих процессах. Минутный объем крови чувствителен даже к несущественным, казалось бы, изменениям частоты пульса и артериального кровяного давления.
Показатели кровообращения как вегетативные выражения эмоций связаны тесно и с их гормональными механизмами. В эмоционально напряженной ситуации показатели минутного объема крови могут увеличиваться. Это происходит в случаях возрастания частоты пульса и артериального кровяного давления за счет увеличения ударного объема сердечного выброса. Такого рода реакция сердечно-сосудистой системы связана с усилением секреции адреналина при эмоциях «тревоги». Если в подобных ситуациях нет увеличения минутного объема крови, повышение артериального кровяного давления может быть вызвано увеличением периферического сопротивления сосудов, но не увеличением ударного объема сердечного выброса. Такая реакция сердечно-сосудистой системы зависит от увеличенной секреции норадреналина при эмоциях «нападения» или «гнева». В спортивной практике определить минутный объем крови, применяя газоаналитические методы, не всегда можно. Однако известен способ его определения по формуле И. Старра по показателям возраста испытуемых, частоты сердечных сокращений, пульсового и диастолического давления, полученных в условиях относительного покоя. Эти данные в естественных спортивных ситуациях доступны и информативны значительно больше, чем регистрация только одной частоты сердечных сокращений.
В редких случаях для регистраций проявлений стресса используется какой-либо один метод. Значительно чаще исследователи применяют комплекс методов, регистрирующих изменения в различных системах организма. Если исходить из необходимости раннего обнаружения наступающей стадии истощения при стрессе, то это оправданно. «Только суммарная согласованность дает нам наилучший ответ о природе психологических процессов, которые мы желаем получить», – писал Р. Лазарус.
Однако еще нет единой теоретически обоснованной, практической системы регистрации динамики состояния спортсменов в экстремальных условиях деятельности. Пока сохраняется разнобой, что не позволяет сравнивать и обобщать данные разных авторов.
Отдельно выделяется психическое состояние, которое определяется как «состояние психической готовности», как «оптимальное боевое состояние» и т. д. И здесь разнообразие методических решений. Часто исследования, несмотря на важные результаты, оказываются слишком громоздкими и почти неприемлемыми в условиях практики, требующих оперативности и большой пропускной способности. Порой дублируются критерии одной и той же системы, но не учитываются данные о других не менее важных функциях.
Конечно, практически важно выделить минимальный комплекс параметров.
Используя новые, все более сложные, все более тонкие методы и сочетания методов, можно еще и еще раз подтвердить, что механизмы приспособления затрагивают многие звенья и все уровни функционирования организма. Чтобы достигнутые знания поставить на рельсы практической работы, надо определить, могут ли эти знания служить целям ранней диагностики в распознавании изменений состояния спортсменов и прогнозирования динамики состояния. Для практической работы нужны не изобилие и не перегруженность методами и данными, а их необходимый и достаточный минимум, базирующийся на основном, на самом существенном признаке, зарегистрированном с наименьшей затратой времени и с помощью простых, доступных приборов, не вызывающих негативного отношения спортсменов к многократно повторяющимся обследованиям.
2. Быстро и информативно
Итак, при изучении динамики состояния основанием для оценки может служить только комплекс показателей. Два факта позволяют утверждать это:
– целостная реакция организма в экстремальных условиях,
– влияние согласования функций на высокую работоспособность в экстремальных условиях.
Выступая на конференции спортивных психологов социалистических стран (Москва, декабрь, 1970), академик П. К. Анохин рекомендовал для суждения о состоянии спортсмена ориентироваться на три параметра: психическое возбуждение, показатель биоэнергетики и показатель двигательного навыка. Условием высокой результативности спортсмена П. К. Анохин считал согласование в динамике этих трех показателей. Значит – эмоция, энергетика, движение.
Динамика показателей основных функций и характер линейных отношений между ними позволяют обнаружить момент нарушения согласования. Разнонаправленность линейных показателей означает дезинтеграцию функций; этот факт соответствует моменту утомления интегративных «заделов нервной системы, т. е. первоначальному признаку отрицательного влияния стресса на продуктивность деятельности. Это возможность ранней диагностики изменения состояния у спортсменов.
Для суждения о динамике состояния спортсменов в экстремальных условиях соревновательной деятельности необходимо всегда одномоментно регистрировать показатели, характеризующие психическую сферу (уровень психического возбуждения), функциональную сферу (уровень энергетических процессов), двигательную сферу (уровень стабильности двигательного навыка). Отбор методик сводится к выбору наиболее простых и портативных.
Все эти условия, на наш взгляд, были учтены в работе, результаты которой предлагаются читателю. Комплекс методов в его последнем варианте включал три части.
А) Для изучения уровня психического возбуждения – определение критической частоты слияния мельканий световых сигналов (КЧМ). Этот метод широко применяется в исследованиях психофизиологов в физиологии труда для обнаружения утомления от психических нагрузок и др. Сама методика подробно описана в литературе, что освобождает от необходимости ее излагать.
Принцип заключается в том, что в зависимости от степени психического возбуждения испытуемый отмечает ту частоту световых мельканий (сразу же регистрируемую в герцах), на которой он перестает различать отдельные вспышки лампы. Прибор портативен, достоверность показаний контролируется, информация не требует дополнительной обработки данных. Исследование занимает примерно 20 с.
Б) Для фиксации изменения функциональной активности — определение электрокожного сопротивления (ЭКС) на ладонной поверхности руки. Эта методика также известна и широко применяется для регистрации утомления. Она основана на изменениях электрических свойств потовых желез ладоней. Показания прибора обозначаются в единицах сопротивления (омах) либо в показателях электропроводности в микроамперах, указывающих силу тока. Повышение симпатической иннервации позволяет косвенно судить о повышении функциональной активности. Прибор портативен, исследование занимает 20–25 с, данные не требуют сложных дополнительных расчетов.
В) Для изучения двигательной сферы – психомоторные пробы на кинематометре (П.К.) Жуковского. Испытуемый, сидя с закрытыми глазами у стола с кинематометром, пять раз сгибает руку в локтевом суставе на 20°(град.). После этого фиксатор убирается, а испытуемый по памяти стремится пять раз воспроизвести возможно более точно это же движение. Результаты фиксируются. На втором этапе задание такое же, но угол сгибания увеличивается. Нормальным является тенденция к оптимальному положению. Отклонения обычно указывают либо на преобладание в данный момент процесса возбуждения, либо – торможения. Исследование занимает около 1 мин.
Таким образом, комплексная система обследования требует примерно 2 мин на одного спортсмена, не нуждается в сложной аппаратуре, применима в полевых и самых неприспособленных условиях. Эта методика удовлетворяет всем требованиям – портативности, оперативности, краткости процедуры обследования, невозможности привыкания, простоте расчетов при получении количественных критериев.
3. Состояние спортсмена – день за днем
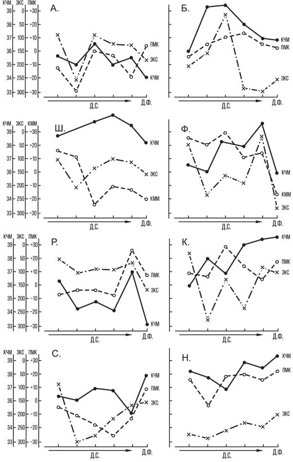
Полученные результаты, несмотря на некоторые индивидуальные различия, позволяют выявить на графике три основные варианта взаимоотношений между определявшимися функциями.
Первый вариант. На фоне незначительных колебаний в предшествующие дни, за несколько дней до основного старта в финале соревнований (у одних – за один день, у других за два – четыре дня) уровень всех трех показателей начинает повышаться или совершенно параллельно, или один из показателей опережает другие. Иногда повышение уровня происходит «пилообразно», но все равно ко дню основного старта показатели достигают своей наивысшей точки.
Примеры индивидуальных графиков с таким вариантом динамики приведены на рис. 1 и 2. В этих случаях можно говорить о том, что динамика функций согласована («взаимосодействие», по П. К. Анохину). Как правило, у спортсменов, выступивших в соревновании успешно, показавших высокие по своим возможностям и подготовке результаты, обнаруживается примерно такой или близкий к этому вариант индивидуального графика. Оба спортсмена, чьи результаты в дни ответственных соревнований приведены на графиках, стали победителями в своих видах.

Рис. 1. Динамика состояний спортсмена. Равномерный рост показателей в дни соревнований: ДС – дни соревнований; ДФ – день финала; КЧМ – критическая частота мельканий световых сигналов (Г); ЭКС – электрокожное сопротивление (ом); ПМК – психомоторные пробы на кинематометре (град.)

Рис. 2. Неравномерное, но явное повышение УРОВНЯ показателей функций в дни соревнований
Второй вариант. На индивидуальных графиках лишь до определенного момента сохраняется такое согласованное повышение всех показателей, какое наблюдалось в первом варианте. Согласование не удерживается до основного дня соревнования. Перед основным стартом обнаруживается, что показатели отдельных функций на графике как бы рассыпались. Уровень одних показателей резко снизился, других – продолжает повышаться, третьи сохраняют уровень вчерашнего дня. Систематизация таких графиков позволяет выявить, что чаще всего показатели психического возбуждения еще остаются на высоких уровнях, а показатели энергетики и движения снижаются.
Повышение психического возбуждения может сопровождаться в последний день перед стартом явным снижением двигательного показателя при сохранении уровня биоэнергетики. Иногда отмечается и дальнейшее повышение психического возбуждения, незначительная реакция в двигательной сфере, но резкое понижение биоэнергетических (т. е. функциональных) возможностей организма. Однако чаще всего наблюдается (как это видно на рис. 3) сочетание, в котором подъем психического возбуждения связан с падением двух других показателей.

Рис. 3. Пример рассогласования функций в финальный день соревнований
В перечисленных случаях в большей или меньшей степени налицо потеря однонаправленной, согласованной динамики функций. Появляется новое в их взаимоотношениях – рассогласование, дезинтеграция. Рассогласования могут быть разные, степень и глубина дезинтеграции различной, но влияние их на спортивную результативность явно отрицательное. Значит, если при согласованной динамике функций можно прогнозировать успешное выступление, то при появлении разнонаправленности прогноз выступления становится проблематичным и неопределенным.
Для видов спорта, связанных с выносливостью (марафонский бег, например), ухудшение результата наступает в первую очередь при снижении энергетических показателей. В видах спорта, в которых необходимо проявить точность движений, сложных и тонко координированных, любое ухудшение в двигательной сфере может стать роковым. Естественно, наконец, что степень негативного влияния зависит от степени ухудшения показателей.
Третий вариант (рис. 4). На графиках обнаруживается, что рассогласование и дезинтеграция функций приходится на дни, предшествующие основному финальному соревнованию, на дни предварительных, отборочных соревнований (четвертьфиналы или полуфиналы). Если спортсмен все же проходит дни отбора и попадает в состав финалистов, то у него:
– или восстанавливается согласование, наблюдается подъем уровней функционирования (возврат к 1-му варианту) и, естественно, прогноз на выступление в финале хороший;
– или уровни всех функций «согласовано» снижаются, но это уже вторичное, негативное, согласование «с обратным знаком», ведущее к отрицательному прогнозу. Результат деятельности в этих случаях бывает значительно ниже предполагавшегося ранее на основании потенциальных возможностей спортсмена. Они оказываются далеко не реализованными.

Рис. 4. Пример рассогласования функций в дни, предшествующие дню финального соревнования
Весьма приблизительные подсчеты позволяют заключить, что 3-й вариант динамики функций отмечается у 15–20 % участников крупных соревнований. Во всех случаях выступления спортсменов в соревнованиях оказывались неудачными. Исключением могут быть случаи, когда такая динамика наблюдалась у спортсмена – члена команды, и то если в большой команде оказывались один – два таких спортсмена. Команда могла и победить, но выступила ли она ниже своих возможностей, определить трудно.
Например, юношеская восьмерка в академической гребле победила в финальной гонке чемпионата, когда в ее составе выступали шесть спортсменов с 1-м вариантом динамики функций, один – со 2-м вариантом и один – с 3-м. Состояние спортсменов в командах соперников было неизвестно, а временной показатель в гребле неустойчив. Наша восьмерка в этих условиях победила.
Если состав команды по численности меньше (например, в лодках, где два спортсмена), то один спортсмен с неблагоприятной динамикой функций уже явно отрицательно влияет на результат выступления. В двойке один спортсмен составляет 50 % команды, это то же, что для восьмерки гребцов составляют 4 человека.
Достаточно показательны наблюдения за восьмеркой, которая стартовала дважды на крупном чемпионате с интервалом между стартами в два дня. В первый предварительный день гонок и через два дня в финале у команды были одни и те же противники. В первый день гонок у всех восьми спортсменов команды состояние, по результатам регистрации динамики функций, было хорошим. В этот день команда победила, опередив вторую команду на 8 с. За три последующих дня состояние последовательно изменилось: у пяти гребцов к финальному старту отмечался уже 3-й вариант динамики функций. Однако команда опять победила (слишком большое было преимущество над противниками!), но теперь она опередила команду, занявшую второе место, лишь на 1,5 с и с большим трудом.
Наблюдая регулярно за состоянием команды, удается проследить, в какой последовательности у спортсменов ухудшаются показатели. Для анализа групповых реакций в команде и для предстоящего предупреждения подобных реакций такие наблюдения оказываются очень полезными. Пример таких наблюдений за состоянием команды дается на рис. 5.

Рис. 5. Примеры согласования функций у спортсменов – членов команды (академическая гребля, лодка-восьмерка)
Сопоставление индивидуальных графиков показывает, как менялось состояние команды-восьмерки. В день первого старта (3-я отметка времени на графиках) у всех восьми состояние было хорошим. На следующий день начинает ухудшаться состояние у Б. и А. У спортсмена Ш. апогея состояние достигает днем позже, далее оно ухудшается, а плохие показатели отмечаются уже у троих гребцов команды. Наилучшее состояние накануне финала было у Р. и Ф. К основной гонке у них также уже 3-й вариант состояния. Итого, к основному старту измененное состояние отмечалось у пяти спортсменов из восьми. Лишь трое каждый своим индивидуальным путем подошли именно к финальной гонке в наилучшем состоянии.
Наблюдения последовательности изменения состояний в команде имеют большой смысл для предупреждения нежелательных явлений. Порядок ухудшения состояний от одного спортсмена к другим в команде часто оказывается постоянным. Результаты многолетнего наблюдения за рядом команд в большой серии соревнований подтверждает это.
4. Это еще не невроз
Взаимоотношения между показателями психического, функционального и двигательного факторов изображены на ориентировочной рабочей схеме (рис. 6). Эта схема, показывающая взаимоотношения в динамике, не претендует на соблюдение масштабов; в ней обобщены наиболее частые варианты линейных отношений между этими параметрами.
На схеме выделены четыре основные зоны. Первая (А – Б) характеризует дострессовое состояние с различными индивидуальными волнообразными колебаниями показателей, которые практически никогда не представляют в динамике горизонтальную линию. Начиная с точки Б отмечается подъем уровней всех показателей, и на протяжении зоны Б – В динамика функций однонаправленна и согласованна. Это первая фаза приспособления к стрессовым условиям. В этот период повышенный уровень функций и их согласованность благоприятно сказываются на результативности деятельности. Такой гиперкомпенсаторный подъем необходим спортсмену, чтобы показать высокий результат (иногда даже более высокий, чем достигает спортсмен в тренировочных условиях). Именно такой эффект Г. Селье именовал эвстрессом. Этот период подтверждает, что функционирование физиологических систем при нервно-психическом напряжении, вызванном стрессовыми условиями, носит избыточный (гиперкомпенсаторный) характер, включаются резервные возможности организма. Повышенное и согласованное функционирование говорит об адекватности приспособлений не только отдельных функций, но и всего организма как единого целого.

Рис. 6. Взаимодействие показателей психического, функционального и Двигательного состояний спортсменов
Полученные в исследовании результаты соответствуют для этой зоны схемы критериям адекватного нервно-психического напряжения как приспособительного механизма: однонаправленность и прямая зависимость от трудности, опасности или эффективности трудовой деятельности по показателям работоспособности.
Если состояние согласованности не удерживается до основного дня соревнований, выясняется, что резервы начали использоваться раньше времени и исчерпаны досрочно, начинается переход на иной этап (зона В – Г), в котором повышение уровня психического возбуждения сопровождается снижением показателей других функций. Проявляется разнонаправленность, раскоординация между ранее согласованной деятельностью функций. Такое состояние названо учеными неадекватным нервно-психическим взаимоотношением между функциями, неадекватным нервно-психическим напряжением, проявляющимся в снижении эффективности деятельности. Считается, что это патологическое нарушение интегративно-приспособительной функции центральной нервной системы и высшей нервной деятельности. Еще точнее источник наблюдавшегося срыва указывают А. И. Вейн и И. В. Родштат (1973), отмечая, что неспецифические системы (ассоциативные зоны коры и лимбико-ретикулярный комплекс) являются надсегментарным аппаратом мозга и осуществляют интегративные функции. Реализация возмущающих психологических факторов может приводить к функциональному срыву интегративных механизмов, может деформировать нормальное течение реализующих стресс и компенсирующих его механизмов, в результате чего наступает дезинтеграция, рассогласование.
Говоря о дезинтеграции, мы постоянно имеем в виду основные для спортивной деятельности функции. Это следует помнить, так как минимизация некоторых функций, несущественных для выполнения деятельности, всегда имеет место и естественна.





