- -
 - 100%
 - +
 
When you blitzscale, you deliberately make decisions and commit to them even though your confidence level is substantially lower than 100 percent. You accept the risk of making the wrong decision and willingly pay the cost of significant operating inefficiencies in exchange for the ability to move faster. These risks and costs are acceptable because the risk and cost of being too slow is even greater. But blitzscaling is more than just plunging ahead blindly in an effort to “get big fast” to win the market. To mitigate the downside of the risks you take, you should try to focus them—line them up with a small number of hypotheses about how your business will develop so that you can more easily understand and monitor what drives your success or failure. You also have to be prepared to execute with more than 100 percent effort to compensate for the bets that don’t go your way.
For example, anyone who knows Jeff Bezos knows that he didn’t simply mash his foot down on the gas pedal; Amazon has intentionally invested aggressively in the future, and, despite its accounting losses, generates a ton of cash. Amazon’s operating cash flow was over $16 billion in 2016, but it spent $10 billion in investments and $4 billion paying down debt. Its seemingly meager profits are a feature of its aggressive strategy, not a bug.
Blitzscaling requires more than just courage and skill on the part of the entrepreneur. It also requires an environment that is willing to finance intelligent risks with both financial capital and human capital, which are the essential ingredients for blitzscaling. Think of them as fuel and oxygen; you need both to propel the rocket skyward. Meanwhile, the infrastructure of your organization is the actual structure of your rocket, which you’re rebuilding on the fly as you rise. Your job as a leader and an entrepreneur is to make sure that you have sufficient fuel to propel your growth while making the necessary mechanical adjustments to the actual rocket ship to keep it from flying apart as it accelerates.
Fortunately, this is more possible today than it has ever been in the past.
SOFTWARE IS EATING (AND SAVING) THE WORLD
Historically, stories of breakneck growth involved either computer software, which offers nearly unlimited scalability in terms of distribution, or software-enabled hardware, such as the Fitbit fitness tracker or Tesla electric car, whose software component allows the company to innovate on software timescales (days or weeks) rather than hardware timescales (years). Moreover, the speed and flexibility of software development allow companies to iterate and recover from the inevitable missteps of haste.
What’s especially exciting these days is that software and software-enabled companies are starting to dominate industries outside of traditional high tech. My friend Marc Andreessen has argued that “software is eating the world.” What he means is that even industries that focus on physical products (atoms) are integrating with software (bits). Tesla makes cars (atoms), but a software update (bits) can upgrade the acceleration of those cars and add an autopilot overnight.
The spread of software and computing into every industry, along with the dense networks that connect us all, means that the lessons of blitzscaling are becoming more relevant and easier to implement, even in mature or low-tech industries. To use a computing metaphor, technology is accelerating the world’s “clock speed” (the rate at which Central Processing Units [CPUs] operate), making change occur faster than previously thought possible. Not only is the world moving faster, but the speed at which major new technology platforms are being created is reducing the downtime between the arrivals of each wave of innovation. Before, individual waves would sweep through the economy one at a time—technologies like personal computers, disk drives, and CD-ROMs. Today, multiple major waves seem to be arriving simultaneously—technologies like the cloud, AI, AR/VR, not to mention more esoteric projects like supersonic planes and hyperloops. What’s more, rather than being concentrated narrowly in a personal computer industry that was essentially a niche market, today’s new technologies impact nearly every part of the economy, creating many new opportunities.
This trend holds tremendous promise. Precision medicine will use computing power to revolutionize health care. Smart grids use software to dramatically improve power efficiency and enable the spread of renewable energy sources like solar roofs. And computational biology might allow us to improve life itself. Blitzscaling can help these advances spread and magnify their sorely needed impact.
THE TYPES OF SCALING
Blitzscaling isn’t simply a matter of rapid growth. Every company is obsessed with growth. In any industry, you live and die by the numbers—user acquisition, margins, growth rate, and so on. Yet growth alone is not blitzscaling. Rather, blitzscaling is prioritizing speed over efficiency in the face of uncertainty. We can better understand blitzscaling by comparing it to other forms of rapid growth.

Classic start-up growth prioritizes efficiency in the face of uncertainty. Starting a company is like jumping off a cliff and assembling an airplane on the way down; being resource-efficient lets you “glide” to minimize the rate of descent, giving you the time to learn things about your market, technology, and team before you hit the ground. This kind of controlled, efficient growth reduces uncertainty and is a good strategy to follow while you’re trying to establish certainty around what the authors Eric Ries and Steve Blank call product/market fit: your product satisfies a strong market demand for the solution to a specific problem or need.
Classic scale-up growth focuses on growing efficiently once the company has achieved certainty about the environment. This approach reflects classic corporate management techniques, such as applying “hurdle rates” so that the return on investment (ROI) of corporate projects consistently exceeds the cost of capital. This kind of optimization is a good strategy to follow when you’re trying to maximize returns in an established, stable market.
Fastscaling means that you’re willing to sacrifice efficiency for the sake of increasing your growth rate. However, because fastscaling takes place in an environment of certainty, the costs are well understood and predictable. Fastscaling is a good strategy for gaining market share or trying to achieve revenue milestones. Indeed, the financial services industry is often happy to finance fastscaling, whether by buying stocks and bonds or lending money. Analysts and bankers feel confident that they can create elaborate financial models that work out to the penny the likely ROI of a fastscaling investment.
Blitzscaling means that you’re willing to sacrifice efficiency for speed, but without waiting to achieve certainty on whether the sacrifice will pay off. If classic start-up growth is about slowing your rate of descent as you try to assemble your plane, blitzscaling is about assembling that plane faster, then strapping on and igniting a set of jet engines (and possibly their afterburners) while you’re still building the wings. It’s “do or die,” with either success or death occurring in a remarkably short time.
Given these definitions, you might wonder why anyone would ever pursue blitzscaling. After all, it combines the gut-wrenching uncertainty of start-up growth with the potential for a much bigger, more embarrassing, more consequential failure. Blitzscaling is also hard to implement. Unless you’re like Microsoft or Google and can finance your growth from an exponentially growing revenue stream, you’ll need to convince investors to give you money, and it’s much harder to raise money from investors for a calculated gamble (blitzscaling) than for a sure thing (fastscaling). To make matters worse, you usually need more money to blitzscale than to fastscale, because you have to keep enough capital in reserve to recover from the many mistakes you’re likely to make along the way.
Yet despite all of these potential pitfalls, blitzscaling remains a powerful tool for entrepreneurs and other business leaders. If you’re willing to accept the risks of blitzscaling when others aren’t, you’ll be able to move faster than they will. If the prize to be won is big enough, and the competition to win it is intense enough, blitzscaling becomes a rational, even optimal strategy.
Once you convince the market for capital and the market for talent—which include clients and partners, as well as employees—to invest in your scale-up, you have the fuel required to start blitzscaling. At that point, your objective switches from going from zero to one to going from one to one billion in an incredibly compressed time frame.
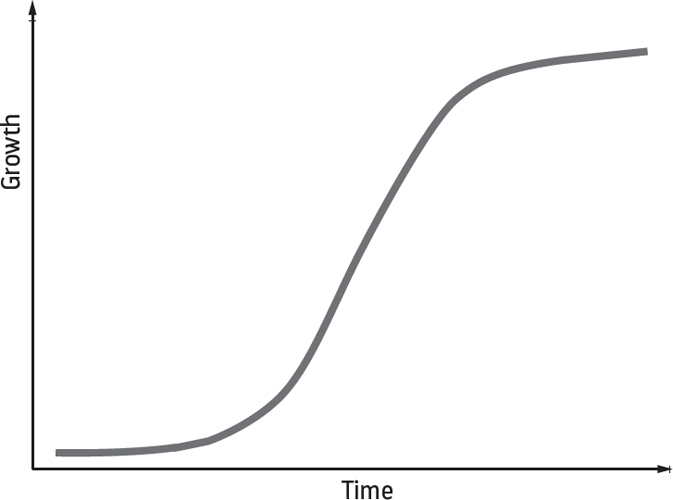
A company might employ different types of scaling at different points in its life cycle. The canonical sequence that companies like Google and Facebook have gone through begins with classic start-up growth while establishing product/market fit, then shifts into blitzscaling to achieve critical mass and/or market dominance ahead of the competition, then relaxes down to fastscaling as the business matures, and finally downshifts to classic scale-up growth when the company is an established industry leader. Together, this sequence of scaling generates a classic “S-curve” of growth, with slower initial growth followed by rapid acceleration, eventually easing its way into a gentle plateau.

Of course, this canonical sequence is greatly simplified. The scaling cycle applies not just to whole companies but to individual products and business lines; the aggregate curves of these scaling cycles generate the overall scaling curve for the company.
For example, Facebook began as a classic blitzscaling story. The year-over-year revenue growth during its first few years of existence were 2,150 percent, 433 percent, and 219 percent, going from zero to $153 million in revenue in 2007. Then the company went through a key transition, and growth dropped into the double-digit range as Facebook struggled with both monetization and the shift from desktop to mobile. Fortunately, Facebook founder Mark Zuckerberg made two important moves: he personally led a shift from desktop-first to mobile-first, and he hired Sheryl Sandberg as the company’s COO, who in turn built Facebook into an advertising sales juggernaut. Growth rose back into the triple-digit range, and, by 2010, these moves had pushed Facebook’s revenues to over $2 billion. We’ll examine both of these key moves in greater detail later in the book, with Facebook’s shift to mobile featured in our analysis of Facebook’s business model, and Facebook’s hiring of Sheryl Sandberg in the section on the key transition from contributors to managers to executives.
Apple illustrates how this overlap looks over multiple decades. In its storied history, Apple went through complete scaling cycles for the Apple II, the Macintosh, the iMac, and the iPod (with the cycle for the iPhone still under way). It’s worth noting that Apple failed to launch any blitzscalable products after the Apple II and the Mac until Steve Jobs returned and launched the iMac, iPod, and iPhone. It was part of Steve’s rare genius that time and time again he was able to pick the right product for Apple to blitzscale, even without slowing down for a period of classic start-up growth to gather feedback from the market.

The scaling curve applies to every blitzscaler, regardless of industry or geography. The same multiple S-curve graph that describes Facebook or Apple also describes Tencent, which launched with QQ, then added a second curve for WeChat after QQ reached maturity in 2010. Just when you’ve finished blitzscaling one business line, you need to blitzscale the next to maintain your company’s upward trajectory. And as blitzscaling continues to spread, established companies with mature business lines should consider turning to intrapreneurs to blitzscale new business units.
THE THREE BASICS OF BLITZSCALING
Blitzscaling requires you to move at a pace that is almost certainly uncomfortable for your team. You will definitely make many mistakes as you navigate an environment full of uncertainty; the art lies in developing the skill to learn quickly from those mistakes and return to a relentlessly rapid advance. But first, it’s critical to understand three basics.
1. BLITZSCALING IS BOTH AN OFFENSIVE STRATEGY AND A DEFENSIVE STRATEGY.
On offense, blitzscaling allows you to do several things. First, you can take the market by surprise, bypassing heavily defended niches to exploit breakout opportunities. For example, Slack’s rapid growth after its launch blindsided a host of entrenched competitors like Microsoft and Salesforce.com. Second, you can leverage your lead to build long-term competitive advantages before other players are able to respond. We’ll explore this concept in greater detail later on. Third, blitzscaling opens up access to capital, because investors generally prefer to back market leaders. You can win this mantle if you blitzscale, and with it raise more money more easily and more quickly than your lagging competitors.
On defense, blitzscaling lets you set a pace that keeps your competitors gasping simply to keep up, affording them little time and space to counterattack. Because they’re focused on responding to your moves, which can often take them by surprise and force them to play catch-up, they don’t have as much time available to develop and execute differentiated strategies that might threaten your position. Blitzscaling helps you determine the playing field to your great advantage.
2. BLITZSCALING THRIVES ON POSITIVE FEEDBACK LOOPS, IN THAT THE COMPANY THAT GROWS TO SCALE FIRST REAPS SIGNIFICANT COMPETITIVE ADVANTAGES.
In April 2014, McKinsey & Company published a report entitled “Grow fast or die slow,” which analyzed the life cycles of three thousand software and Internet companies, and found that positive feedback loops made rapid growth the key factor in financial success:
First, growth yields greater returns. High-growth companies offer a return to shareholders five times greater than medium-growth companies. Second, growth predicts long-term success. “Supergrowers”—companies whose growth was greater than 60 percent when they reached $100 million in revenues—were eight times more likely to reach $1 billion in revenues than those growing less than 20 percent.
We believe that the mechanism behind the power of blitzscaling is “first-scaler advantage.” Once a scale-up occupies the high ground in its ecosystem, the networks around it recognize its leadership, and both talent and capital flood in.
For one, top professionals understand that they can have a greater impact working for the market leader. Meanwhile, joining a scale-up that is clearly a “rocket ship” offers many of the financial rewards of working for an early-stage start-up, with far more certainty and far less risk. Scale-up employees are paid market salaries, receive equity upside, and have a very good chance of becoming rich, if not filthy rich. By attracting the best people, scale-ups increase their ability to build and bring to market great products, which in turn increases their ability to rapidly scale.
A parallel calculus applies to investors. Venture capitalists (VCs) make investment decisions based on the confidence interval they have in their investment thesis. Achieving scale shrinks those intervals and makes it easier to decide to invest. And because the network that connects investors—especially within a tight-knit ecosystem like Silicon Valley—can disseminate this information quickly and broadly, a blitzscaling company can raise capital on a massive scale. This capital infusion can fuel explosive growth, which shrinks the confidence intervals even further.
Paradoxically, globalization has both leveled the playing field for entrepreneurs around the world and increased the value of being in a premier scaling hub like Silicon Valley or China. Because the rest of the world believes that these ecosystems have an advantage in scaling up start-ups, those start-ups and their investors attract capital (human and financial) from all over the world, further bolstering their ability to keep growing. This is a key reason why scale-ups like Uber and Pinterest have achieved a scale and valuation that dwarf those of most publicly traded companies. Due to my role at Greylock Partners, I can’t comment on the valuations of Dropbox and Airbnb, but they occupy a similar place in the ecosystem.
Consider the case of two very similar companies, Twitter and Tumblr. Both had brilliant, product-oriented founders in Evan “Ev” Williams and David Karp. Both were hot social media start-ups. Both grew at a remarkable rate after establishing product/market fit. Both had a major impact on popular culture. Yet Twitter went public and achieved a market capitalization that peaked at nearly $37 billion, while Tumblr was acquired by Yahoo!—another start-up that used blitzscaling to become a scale-up, only to decline and fade away—for “only” $1 billion.
Was this dumb luck on Twitter’s side? Perhaps. Luck always plays a larger role than founders, investors, and the media would like to admit. But a major difference was that Twitter could draw on numerous networks for advice and help that Tumblr could not. For example, Twitter was able to bring in Dick Costolo, a savvy executive with prior scaling experience at Google. In contrast, even though Tumblr was arguably the most prominent start-up in its New York City ecosystem, it couldn’t easily draw upon a pool of local talent who had experience dealing with rapid growth. According to Greylock’s John Lilly, for every executive role that Tumblr needed to fill, there were less than a handful of candidates in all of New York City. This paucity of talent made hiring difficult; the company was reluctant to replace existing employees due to a lack of better alternatives. Without the ability to hire an executive team that could blitzscale, Tumblr decided to sell the company.
Of course, while geography can present challenges to blitzscaling, they become much more solvable if you’re aware of them. For example, over the past decade, Priceline—the world’s most successful online travel company—has been able to blitzscale from its headquarters in Connecticut. The CEO who led Priceline during its growth phase, Jeffery Boyd, saw advantages to this geographic isolation, noting that the company’s location meant that it faced fewer bidding wars for the key software engineers and designers needed to support the rapid growth of the business.
It’s extremely difficult for later entrants to compete directly with a blitzscaling company that has first-scaler advantage. Unless these players find a different game in which they can capture this advantage, they’ll simply become irrelevant.
3. DESPITE ITS INCREDIBLE ADVANTAGES AND POTENTIAL PAYOFFS, BLITZSCALING ALSO COMES WITH MASSIVE RISKS.
Until recently, “Move fast and break things” was Facebook’s famous motto. Yet rapid growth can cause nearly as many problems as it solves. As Mark Zuckerberg told me in an interview for my Masters of Scale podcast, “We got to a point where it was taking us more time to go back and fix the bugs and issues that we’re creating than the speed that we were gaining by going faster.” In one famous incident, a summer intern introduced a bug that brought down the entire Facebook site for thirty minutes.
There is a scientific term for out-of-control growth in the human body: “cancer.” In this context, uncontrolled growth is clearly undesirable. The same is true for a business. Successful blitzscaling means that you’re maintaining at least some level of control by rapidly fixing the things that will inevitably get broken so that the company can maintain its furious pace without flaming out or collapsing in on itself. Like an American football player streaking down the field for a game-winning touchdown, even a company that has achieved first-scaler advantage can lose the ball prior to crossing the goal line if it takes on a bigger risk than it can handle.
Blitzscaling is risky from a management perspective as well. Reinventing your leadership style, your product, and your organization at every new phase of scale won’t be easy, but it is necessary. In the words of leadership guru Marshall Goldsmith, “What got you here won’t get you there.”
Market share and revenue growth earn headlines, but you can’t achieve customer and revenue scale without scaling up your organization, in terms of the size and scope of your staff, as well as your financial, product, and technology strategy. If the organization doesn’t grow in lockstep with its revenues and customer base, things can quickly spiral out of control.
For example, during a period of blitzscaling in the late 1980s and early 1990s, Oracle Corporation focused so single-mindedly on sales growth that its organization lagged badly on both technology (where it fell behind archrival Sybase’s) and finance and nearly went bankrupt as a result. It took the turnaround efforts of Ray Lane and Jeff Henley to stave off disaster and reposition Oracle for its later success.
Blitzscaling your organization will require hard choices and sacrifices; for example, the people who are adept at launching a company aren’t necessarily going to be the right people to scale it, as the Oracle example above demonstrates. Later in the book we’ll discuss how successful blitzscalers consciously manage growth rather than letting it manage them.
THE FIVE STAGES OF BLITZSCALING
Blitzscaling a start-up isn’t a linear process; a global giant isn’t simply a start-up that’s been multiplied by one thousand, working out of a gleaming high-rise headquarters instead of a grimy garage. Each major increment of growth represents a qualitative as well as quantitative change. Drew Houston of Dropbox expressed this well when he told me, “The chessboard keeps adding new pieces and new dimensions over time.”
In the physical sciences, materials often undergo phase changes as their circumstances (e.g., temperature and pressure) change. Ice melts into water; water boils into steam. As a start-up scales up from one phase to the next, it undergoes fundamental changes as well.
And in the same way that ice skates are useless on water, and you can’t skip rocks on water vapor, the approaches and processes that worked for one phase break down once the scale-up reaches the next phase.
This book is designed to help you successfully navigate the phase changes you’ll face on the path to global dominance.
Throughout this book, we will refer to the five key stages of blitzscaling using the metaphor of a community. Since the most obvious, visible, and impactful change in a scale-up is the number of people it employs, we’ll define the stages based on the number of employees in the company, or its organizational scale.

Each stage has critical differences when it comes to management and leadership. When you’re head of a nuclear Family, you have close relationships with all of your Family members. When you’re the head of a whole Nation, you’re responsible for the lives of a multitude of people, most of whom you’ll never meet. (Later in the book we’ll talk about how to optimize your people management strategy as your company grows.)
It’s important to remember that while these powers of ten provide a clear and consistent set of categories, real life is often messier. For example, a start-up with a tight-knit team might feel and act like a Family even if it has nearly twenty employees. So these definitions are meant simply to offer a useful set of guidelines.





