Ключевые технологии и приемы использования щитовых проходческих комплексов при сооружении туннелей

- -
- 100%
- +
Предэкскаваторная осадка – это осадка, возникающая с момента, когда забой котлована находится на расстоянии нескольких метров от точки наблюдения, до момента, когда забой котлована находится непосредственно под точкой наблюдения. Когда давление в камере щита меньше фронтального давления, при выемке щита образуются стратиграфические потери и грунт над щитом оседает, и наоборот, когда давление в камере выше фронтального давления, грунт над щитом поднимается и опускается.
3) Оседание грунта во время прохождения щита
Оседание в период с момента, когда поверхность забоя достигает уровня непосредственно ниже точки наблюдения, до момента, когда конец щита проходит точку наблюдения, происходит в основном из-за нарушения почвы и снятия напряжения в почве, вызванного разницей между диаметром бурения щита и диаметром щита.
4) Осадка пустот в хвостовой части щита
Оседание, которое происходит после того, как хвост щита проходит непосредственно под точкой наблюдения. Это упругопластическая деформация, вызванная высвобождением напряжений грунта в пустотах хвостовой части щита. Величина оседания тесно связана с одновременным давлением цементации и скоростью заполнения шламом торца щита, которая меньше при более удовлетворительном заполнении, и наоборот.
5) Поздняя осадка грунта
Таблица 3-5. Причины и механизмы деформации, вызванные щитовой конструкцией

3.3.2. Факторы, влияющие на деформацию и оседание грунта
1) Свойства раскопанного пласта
(1) Глубина туннеля
Влияние глубины туннеля на стратиграфическое смещение варьируется в зависимости от стратиграфических условий, и Aттвелл вывел следующую зависимость:

(3-43),
где: R – радиус туннеля (м);
h – глубина заложения туннеля (м);
i – расстояние от оси туннеля до точки инверсии кривой опускания грунта (м);
k, n – константы, связанные с характеристиками грунта и строительными факторами.
(2) Верхняя часть нагрузки
Вертикальное давление над туннелем оказывает значительное влияние на оседание грунта. Broms & Bennermark предлагает выразить легкость строительства туннеля и степень смещения грунта в терминах коэффициента устойчивости Ns. В пластичных глинистых грунтах, когда глубина туннеля не меньше удвоенного диаметра туннеля, то есть z ≥ 2ч.
N s будет менее 6, когда строительство туннеля не будет очень сложным. В щитовой конструкции, чем выше значение Ns, тем выше вероятность проникновения глины в хвостовой зазор щита. Когда N s приближается к 7, щит становится трудно контролировать. Когда опорное давление высокое, оно часто вызывает поднятие поверхности и увеличивает просадку в дальнейшем, поэтому коэффициент устойчивости должен контролироваться в определенном диапазоне в соответствии с грунтовыми условиями. Ns определяется по следующей формуле:

(3-44),
где: σ z – общее вертикальное давление в центре туннеля на глубине заглубления;
σ r – опорное давление туннеля (включая давление воздуха);
c u – прочность грунта на сдвиг без деформации.
(3) Свойства почвы
Такие свойства, как сжимаемость и прочность грунта, также оказывают важное влияние на смещение грунта.
(4) Влияние характеристик щита
Несбалансированное давление воды и грунта на забой, снижение режущей способности и тяги приведут к обрушению забоя и чрезмерной выемке грунта, отклонения в проходке туннеля приведут к увеличению прицепных пустот, а чрезмерный крутящий момент резания и тяга щита на забое вызовут нарушение грунта.
(5) Влияние качества обратной засыпки цементирования и эксплуатационного качества
На смещение грунта влияют целесообразность и своевременность цементации обратной засыпки, качество сборки тюбингов, умеренность давления грунта, хорошее управление положением при продвижении щита, наличие отклонений и рывков, разумность процедуры строительства, квалификация и опыт строительного персонала и т. д.
2) Свойства грунтов при проходке туннелей
Источниками осадок грунта при щитовой проходке являются: изменение состояния грунта вследствие продвижения щита, упругопластические деформации грунта из-за вибраций в туннеле или величины среза при наклоне ротора. Далее приводится краткое описание причин осадок грунта:
(1) Движение грунта на поверхности забоя. Под воздействием щита напряжение грунта меняется, что приводит к движению грунта, особенно на поверхности забоя. Во время проходки горизонтальное опорное напряжение, оказываемое на грунтовые массы забоя, больше или меньше исходного бокового давления, поэтому грунт над передней частью забоя может оседать вниз или вспучиваться вверх.
(2) Нарушение структуры пласта приводит к движению грунта. К причинам нарушения структуры пласта относятся зазоры между зданиями, избыточная или недостаточная экскавация или другие причины потери грунта, а именно:
1. Сдавливание грунта перед щитом.
2. Свободные зазоры в грунте из-за разницы диаметров щитового корпуса и смонтированного тюбинга.
3. Изменение уклона щита приводит к избыточной экскавации. Например, изменение уклона щита меняет направление движения проходческого щита, что приводит к восходящему или нисходящему уклону, избыточной экскавации и увеличению зазора в хвостовой части щита.
4. Потеря грунта в связи с кривизной проходки.
5. Избыточная экскавация выступами ножевого кольца в процессе проходки.
6. Вдавливание грунта в зазор хвостовой части щита. После выхода тюбинга из хвостовой части щита между стеной забоя и внешним краем тюбинга образуется зазор. В случае несвоевременного нагнетания тампонажного раствора, недостаточного количества раствора или давления нагнетания окружающий грунт теряет равновесие в трех измерения и смещается в данный зазор, что приводит к проседанию грунта. В неустойчивых водоносных породах это является наиболее распространенной причиной просадки грунта. Когда слой глины приклеивается к внешней оболочке щита, зазор между тюбингом и грунтом значительно увеличивается. Если не увеличить количество тампонажного раствора, то это неизбежно приведет к усилению просадки грунта.
(3) Просадки грунта происходят по причине того, что из-за продвижения щита давление воды в порах грунта изменяется или уровень грунтовой воды снижается из-за уменьшения количества атмосферных осадков.
(4) Деформация тюбинга, вторичная консолидация и изменение состояния грунта (особенно в мягких водонасыщенных грунтах).
Под воздействием давления окружающего грунта тюбинг деформируется, при этом тюбинг воздействует на окружающий грунт в противоположном направлении. Деформация грунта – комплексное проявление взаимодействия грунта и тюбинга. Из-за строительных факторов, таких как трамбование грунта во время продвижения щита и залив тампонажным раствором хвостовой оболочки щита, в окружающем пласте образуется зона избыточного порового давления воды. Затем избыточное поровое давление рассеивается и становится нормальным, во время этого процесса происходит выжимание воды или сближение грунтовых частиц, что приводит к осадкам грунта (консолидации грунта). После первичной консолидации грунта он снова подвергается длительному компрессионному сжатию. Уплотнение продолжается в результате ползучести твердых частиц грунта, что называется вторичной консолидацией грунта. В мягких пластичных и текучих грунтах с большим коэффициентом пористости и высокими показателями чувствительности вторичная консолидация часто длится несколько лет, а коэффициент вторичной консолидации может достигать 35%.
(5) Движение щита назад.
Когда процесс проходки останавливается, домкрат из-за утечки масла может вернуться в свое первоначальное положение, в результате чего щит может откатиться назад, приводя к осадкам или разрыхлению грунта в месте забоя.
(6) Обделка туннеля может привести к большой осадке грунта. Кроме того, если в обделке туннеля есть течь и вода попадает на мягкий грунт, это вызовет его оседание.
(7) Изменение направления движения щитовой проходки.
Если щит движется неровно, меняется уклон щита, щит поднимается или опускается, то фактический участок выемки представляет собой не круг, а эллипс, что приводит к осадке грунта. Чем больше угол отклонения между осью щита и осью туннеля, тем больше степень разрыхления и перебора грунта и, как следствие, осадки грунта.
3) Свойства глинистых растворов
Основной метод поддержания стабильности забоя при помощи глинистого раствора заключается в том, что глинистый раствор проникает в пласт под действием осмотического давления, в результате чего происходит кольматация пор пласта твердыми частицами глинистого раствора и образуется гидрофобная пленка. Гидрофобная пленка создает избыточное давление и тем самым удерживает частицы грунта на поверхности стенок туннеля. В процессе продвижения проходческого щита пленка проходит следующий цикл: «образование – затвердевание – разрушение – образование». Таким образом, стандарт для оценки качества глинистого раствора с точки зрения уменьшения осадок грунта таков: количество глины, просочившейся в пласт, должно быть низким, а толщина гидрофобной пленки и скорость ее образования должны обеспечивать постоянную стабильность забоя перед исполнительным органом щита во время проходки туннеля.
Из-за того, что диаметр ротора немного больше диаметра корпуса щита, между корпусом щита и грунтом может появляться свободный зазор. Этот зазор заполняется глиной и частью осевшего грунта. Если возможно увеличить текучесть этой части грунта и уменьшить трение и давление головки щита на окружающий пласт, то осадки грунта уменьшатся.
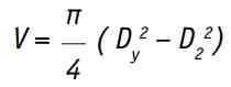
4) Давление синхронного цементирования
Степень компенсации вспучивания поверхности земли Δs при прохождении хвостовой части щита является функцией, которая определяется толщиной земляного покрова, геологическими параметрами, наружным диаметром тюбингов D2 и коэффициентом избыточного давления синхронного цементирования ΔP/Pстатичный. Зависимость между давлением синхронного цементирования и оседанием поверхности земли получается на основе выводов формулы Пика (Peck):

(3-45а),

(3-45b),

(3-45c),
где: D y – эквивалентный радиус избыточного давления;
m – коэффициент коррекции избыточного давления.
5) Прочие параметры проведения работ
Толкающее усилие резцовой головки является одним из важных факторов поддержания стабильности забоя, поэтому выбор правильной величины этого усилия является сложной задачей. Как правило, в процессе строительства установка давления разреза не принимаются во внимание, а служат лишь в качестве предохранительных запасов. На самом деле, в процессе проходки туннеля не следует пренебрегать значением резцовой головки относительно поддержки забоя. То, как резцовая головка выполняет функцию поддержания устойчивости забоя, играет важную роль в уменьшении возмущения массива грунта.
Что касается скорости продвижения, то степень возмущения грунтовых масс в процессе проходки будет увеличиваться в зависимости от времени прохождения. Оседание поверхности земли, вариации состава почвы создают определенное отставание, поэтому увеличивая скорость продходки, можно уменьшить степень возмущения на массив грунта.
3.3.3. Способы прогнозирования смещения пластов
Способы прогнозирования смещения пластов, в основном, включают в себя эмпирические формулы, цифровое моделирование, испытания модели, экспертные системы и теории серых систем (серый реляционный анализ). Среди них экспертные системы и теории серых систем – это самый горячо обсуждаемый предмет исследований в последние годы, который представляет собой новый ход мыслей на прогнозирование деформаций, но имеет свои сложности в виде огромного количества факторов, которые необходимо учитывать, а также сложности моделирования и трудностей применения в инженерии. Способ испытания модели, в свою очередь, характеризуется высокой стоимостью и плохой управляемостью. Модель метода эмпирической оценки, основанная на статистическом анализе данных из фактических измерений, характеризуется простотой и практичностью, помогает на стадии проектирования с большой долей достоверности оценить степень возможной деформации и имеет хорошую эффективность руководства строительством. Способ цифрового моделирования также является одним из высокоэффективных методов и занимает важное место в изучении закономерностей смещения горизонта в пластах проходки туннелей.
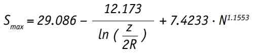
1) Эмпирическая формула
Способ эмпирического прогнозирования, в основном, осуществляется посредством наблюдения за оседанием поверхности земли, данные наблюдения подвергаются математической обработке, а затем в математической форме применяются относительно закономерности оседания, на основании этого, делаются теоретические и эмпирические выводы о максимальной степени просадки поверхности и ее распределении. В практике строительства применяется формула Peck и серия корректирующих формул Пика. Peck предположил, что оседание земли в процессе работ происходит в недренируемых условиях, поэтому объем впадины оседания равен объему потери пласта. Потеря пласта распределяется равномерно по длине туннеля. Поперечное распределение оседания поверхности земли аналогично кривой нормального распределения, как показано на рис. 3-18.

Рис. 3-18. Форма впадины оседания верхнего грунта над туннелем – кривая нормального распределения

(3-46а),

(3-46а),
где: S (x) – длина оседания поверхности земли в области центральной линии туннеля;
S max – степень просадки поверхности земли относительно центральной оси туннеля;
x – расстояние от центра оси до края впадины оседания;
i – коэффициент ширины впадины оседания.
V s— степень потери пласта при проходке 1м туннеля.

(3-47),
где: z – расстояние от центра забоя до поверхности земли; φ – угол внутреннего трения окружающих пластов, ширина впадины оседания поверхности земли B ≈ 2.5i.
Aттвелл внес корректировки в коэффициент ширины i, предложил коэффициент ширины впадины поперечного оседания i, зависящий от прочности пласта вблизи поверхности земли, глубины залегания туннеля и радиуса туннеля, что можно приближенно записать как:

(3-48),

(3-49),
где: z – расстояние от центра забоя до поверхности земли;
R – внешний радиус щита;
A – поперечное сечение туннеля;
K, n – испытательный коэффициент;
V – объем впадины оседания;
δ max – степень оседания поверхности земли по центральной линии туннеля.
Английские ученые Клаф и Шмидт в 1974 году предложили следующую расчетную формулу коэффициента ширины впадины оседания поверхности в условиях насыщенной глинистой гидропластичности:

(3-50),
где: z – глубина от поверхности земли до центра туннеля;
R – радиус туннеля.
О’Рейли-Нью провел анализ максимальных значений просадки, объема впадины оседания и фактических значений точки перегиба для 11 из 19 объектов в условиях вязких слоев и для 6 из 16 объектов в условиях песчаного грунта и грунта обратной засыпки в Англии, на основании чего выдвинул гипотезу о том, что форма впадины оседания представляет собой кривую нормального распределения, и предположил, что для вязких слоев подходит следующая формула:

(3-51),

(3-52)
где: для k в твердом глинистом грунте берется 0.4, в мягком глинистом грунте берется 0.7, а в глинистом грунте средней твердости и мягкости берется 0.5. В дополнение к этому, с помощью статистического метода также вывел формулу вычисления степени максимального горизонтального оседания;
для песчанистых грунтов:

(3-53),
для вязких грунтов:

(3-54),
формула для вычисления диапазона влияния оседания:

(3-55),
где: в значениях k и n – при использовании щита с грунтопригрузом, для вязкого грунта: k = 1.3, n = 0.70; для песчанистого грунта: k = 0.65, n = 1.2.
2) Цифровое моделирование
Способ цифрового моделирования – это еще один важный метод прогнозирования оседания поверхности земли. Хотя параметры технологического уровня невозможно точно определить до начала строительства, однако, влияние определенных изменений этих параметров на смещение поверхности земли и грунтовых слоев вокруг туннеля поддается оценке. С помощью моделирования анизотропии почвы и внутренней пластичности грунта возможно получить рациональные значения распределения оседания, также возможно осуществлять прогнозирование горизонтального и вертикального распределения смещения грунта на ключевых участках туннельного строительства. Среди часто применяемых техник цифрового моделирования существуют: метод конечных элементов, метод граничных элементов и другие методы, покрывающие сферы двухмерной плоской деформации, трехмерной упругопластичности и т. д.
3) Испытание на модель
В соответствующих условиях, моделирование производственных работ с помощью испытания моделей для определения закономерностей изменения смещения грунтовых масс и рабочих параметров, а также определения соответствующих требований и мероприятий технического контроля – это эффективное средство для снижения строительных рисков и обеспечения безопасности. В настоящее время испытания модели для щитопроходных работ подразделяются на два типа: испытание модели центробежного поля и испытание модели гравитационного поля. Испытание центробежной модели характеризуется точностью коэффициента подобия и высокой степенью соответствия действительности, но технология испытаний сложна. При испытании гравитационной модели, показатели параметров, особенно коэффициент подобия, не могут быть установлены и воссозданы с полной точностью, однако, в практических условиях удается гарантировать рациональность и достоверность подобия получаемых параметров, также удается достигать достаточно хороших результатов испытаний и их цели, при этом технология испытаний достаточно проста и процессы легко контролировать. Принимая во внимание реальные и экспериментальные условия, для прогнозирования обычно применяется испытание модели гравитационного поля.
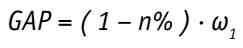
В работах Lee Androw (1982), Roweetal (1983) был предложен метод прогнозирования оседания поверхности земли и разноглубинных грунтовых слоев. Было введено понятие о параметре потери пласта GAP (параметр суммарного зазора) для прогнозирования оседания недренированных насыщенных глинистых грунтов. Под GAP подразумевается количество избыточно выкопанных грунтовый масс, превышающее внешний диаметр сегментов туннеля, которое включает в себя потерю избыточно выкопанного грунта под действием силы трехмерного движения в отношении поверхности забоя и потерю грунта под воздействием факторов проведения работ. Размер зазора GAP равен расстоянию от свода произведенной щитом выемки до верхушки тюбинговой обделки туннеля, как показано на рис. 3-19.

Рис. 3-19. Определение параметра потери грунта после проходки GAP
По определению Lee:

(3-56),
где: GP – геометрический просвет между внешним диаметром щита и внешним диаметром тюбинга, сформированный толщиной хвостовой части щита δ и хвостовым зазором х;

(3-57),
где: D – внешний диаметр щита;
d – внешний диаметр тюбинга.
Хвостовой зазор х подстраивается под осуществление горизонтальной и вертикальной корректировки при отклонении щита от проектной осевой линии, подстраивается под осуществление работ по сборке тюбингов. Выборочное значение х составляет примерно 25 ~ 60 мм. Значение G P можно определить сразу после того, как щит и тюбинг были выбраны.
U*3D – это эквивалент трехмерного радиального смещения, вызванного продвижением забоя. Он указывает превышение объема выемки грунта при обрушении на забой грунтовых масс, вследствие трехмерной деформации, вызванной сбросом напряжения в забое;
ω – указывает потерю грунта, вызванную факторами проведения работ (включая выправление отклонения щита, уклон вверх, уклон вниз, отход назад и т. д.). Формула расчета значения ω следующая:

(3-58),
где: L – длина щита;
α – угол подъема при уклоне щита вверх.
Причина потери грунтовых слоев вследствие проходки щита является многофакторной. В таблице 3-6 перечислены формулы прогнозирования и соответствующие выборные значения GAP для потерь грунтовых слоев всех видов в условиях вязкого грунта.
Таблица 3-6. Факторы, которые необходимо учитывать при расчете GAP (применительно к вязким слоям)

Примечание: R – внешний радиус щита, R1 – внешний радиус тюбинга, t – количество избыточной проходки, L – длина щита, α – угол подъема, RC – горизонтальное смещение грунтовых масс забоя назад во время продвижения щита на единичную длину, h – радиус кривой продвижения щита, A – объем фронтального препятствия перед щитом, V% = значение потери пласта / (πR2).
Фактическое выборное значение U*3D и ω различается для разных методов щитовой проходки и разных проектных условий. В таблице 3-6, где с помощью комбинаций различных значений потери пласта подразделяются на различные модели, при отличающихся моделях потери пласта, способы расчета GAP также будут отличаться. Использование технологии синхронного цементирования в рабочем процессе сдерживает увеличение потерь пласта, поэтому при определении модели потери пласта необходимо включить в расчеты влияние коэффициента цементирования (n%). Коэффициент цементирования – это отношение размера фактического зазора, заполняемого бетонирующей суспензией, к количеству теоретической потери пласта. Модель 1: используется в условиях, при которых щит обладает хорошими механическими характеристиками, персонал обладает достаточным опытом, продвижение щита по прямой происходит в обычном режиме. При этом выправление отклонения щита, уклон вверх и уклон вниз, являются малыми, значит избыточная выемка, вызванная этими действиями, отдельно не учитывается; при обычном зигзагообразном продвижении щита вперед, значение потери пласта в этой части ω 1 рассчитывается с помощью количества избыточной выемки при ее срезе; при условии сохранения баланса между давлением грунта в герметичном призабойном отсеке и давлением грунта с жидким шламом в забое, значение U*3D, определяемое потерей грунта в забое, будет равно нулю; не учитывается потеря пласта вокруг корпуса щита; учитывается влияние Gp; учитывается синхронное цементирование. Параметры потери окружающих обделку пластов следующие:

(3-59),
Параметры потери пласта вокруг корпуса щита:

(3-60),





