- -
- 100%
- +
SIB5 – информация, необходимая для реселекции сот внутри E-UTRA со сменой рабочей частоты,
SIB6-8 – содержит информацию, необходимую для межсетевых переключений UE на UMTS (SIB6), GERAN (SIB7), CDMA2000 (SIB8),
SIB9 – содержит идентификатор фемтосоты Home eNB Identifier (HeNBID),
SIB10-11 – передача первичных и вторичных предупреждений о землетрясениях и цунами,
SIB12– передача срочных коммерческих сообщений,
SIB13 – информация о передаче каналов управления мультимедийного вещания.
Технологии в сетях
LTE
Нисходящий канал
В нисходящем и восходящем каналах применение технологии OFDM различно. В нисходящем канале эта технология используется не только для передачи сигнала, но и для организации множественного доступа (OFDMA) – т.е. для мультиплексирования абонентских каналов.
Помимо физического структурного блока в LTE вводится еще понятие логического структурного блока. По числу ресурсных элементов они эквивалентны, однако возможно два варианта отображения ресурсных элементов логического блока в физический – один в один или распределенно. В последнем случае элементы логического ресурсного блока оказываются распределенными по всей доступной ресурсной сетке.
В отличие от пакетных сетей, в LTE нет физической преамбулы, которая необходима для синхронизации и оценки смещения несущей. Вместо этого в каждый ресурсный блок добавляются специальные опорные и синхронизирующие сигналы. Опорные сигналы могут быть трех видов – опорный сигнал, характеризующий ячейку (Cell-specific), сигнал, связанный с конкретным абонентским устройством, и сигнал для специального широковещательного мультимедийного сервиса MBSFN. Опорный сигнал служит для непосредственного определения условий в канале передачи (поскольку приемнику известно его месторасположение и исходная форма). На основе этих измерений можно определить реакцию канала для остальных поднесущих, и с помощью интерполяции восстановить их исходную форму.
Опорный сell-specific-сигнал должен присутствовать в каждом субкадре нисходящего канала (кроме случаев MBSFN-передачи). Форма сигнала определяется на основе псевдослучайной последовательности Голда (вариант m-последовательности), при инициализации которой используется идентификационный номер ячейки БС (Cell ID). Такой опорный сигнал равномерно распределен по ресурсным элементам (рис.13). Так, при стандартной длине префикса он транслируется в 0-м и 4-м OFDM-символе, при расширенном СР – в 0-м и 3-м OFDM-символе. В частотной области опорные сигналы передаются через каждые шесть поднесущих, причем смещение определяется идентификатором ячейки, взятым по модулю 6.

Рис. 13 Расположение опорного сигнала (сell-specific) в нисходящем канале ресурсной сетки LTE в случае работы с одной антенной
Для того, чтобы осуществлять передачу и прием данных мобильная станция (UE, User Equipment) должна быть синхронизирована с базовой станцией (eNodeB). Для этого базовая станция передает 2 специальных синхронизирующих сигнала: Primary Synchronization Signal (PSS) и Secondary Synchronization Signal (SSS).
Синхронизирующие сигналы также однозначно определяют Cell ID. В LTE принята иерархическая структура идентификации ячейки, как и в предшествующей ей технологии WCDMA. Предполагается, что на физическом уровне доступно 504 Сell ID. Они разбиты на 168 ID-групп, по три идентификатора в каждой. Номер группы N1 (0–167) и номер идентификатора в ней N2 (0–2) однозначно определяют ID ячейки.
Primary Synchronization Signal (PSS)
PSS сигнал нужен для синхронизации по TTI, слотам и OFDM-символам, а также для вычисления физического идентификатора соты (Physical Layer Cell Identity, PCI). В качестве PSS используются три взаимно-ортогональные ZC-последовательности (Zadoff-Chu), на основе идентификатора N2 от 0 до 2. Передача PSS сигнала осуществляется в 0 и 10 слотах каждого кадра (нулевой и пятый TTI, таким образом PSS передается два раза за 10 мс) и для этой передачи используются 62-е центральные поднесущие в последнем OFDM-символе слота (7-ой символ от начала кадра, см. рисунок 14). При передаче PSS используется QPSK модуляция.
Secondary Synchronization Signal (SSS)
SSS сигнал передается в предпоследних OFDM-символах слотов 0 и 10 на центральных 62-х поднесущих. Принимая сигнал SSS, мобильная станция может определить группу идентификатора соты – N1, которая может принимать значения от 0 до 167. После этого мобильная станция вычисляет идентификатор соты (который нужен для определения места пилотных сигналов) следующим образом:
Ncell= 3×N1+N2.
Таким образом всего может быть 504 различных идентификатора соты.
Прием SSS сигнала позволяет достичь синхронизации по кадрам между базовой станцией и мобильной. Такой тип синхронизации достигается за счет того, что в слотах 0 и 10 передаются различные последовательности SSS.
На рисунке 14 приводится пример расположения синхронизирующих последовательностей в кадре (PSS – зеленая, SSS – желтая).
Кроме 62-х поднесущих, на которых осуществляется передача синхронизирующих последовательностей, по 5-ть поднесущих "снизу" и "сверху" от них не используются для передачи. Таким образом можно сказать, что передача синхронизирующих последовательностей занимает 1.08 МГц (72 поднесущие умножить на 15 кГц). Количество ресурсов, которое отводится под передачу синхронизирующих последовательностей не зависит от используемой полосы канала. Таким образом, накладные расходы (overhead) на передачу синхронизирующих сигналов могут составлять от 2.9% при полосе канала в 1.4 МГц, до 0.2% при 20 МГц (при 7-ми OFDM-символах в слоте).
В радио кадре типа 2 для передачи первичного синхросигнала используется третий OFDM-символ субкадров 1 и 6. Вторичный синхросигнал генерируется на основе номера ID-группы N1. Он передается в слотах 0 и 10 радиокадра типа 1 (пятый OFDM-символ при стандартном СР) и в слотах 1 и 11 радиокадра типа 2 (шестой OFDM-символ при стандартном СР).


Рис. 14. Пример расположения синхронизирующих последовательностей
Формирование сигнала в нисходящем канале достаточно стандартно для современных систем цифровой передачи информации (рис.15). Оно включает процедуры канального кодирования, скремблирования, формирования модуляционных символов, их распределение по антенным портам и ресурсным элементам и синтез OFDM-символов. Канальное кодирование подразумевает вычисление контрольных сумм (CRC-24) для блоков данных, поступающих с МАС-уровня. Затем блоки с контрольными суммами обрабатываются посредством кодера со скоростью кодирования 1/3. В LTE предусмотрено применение либо сверточного кода, либо турбокода. Кодированная последовательность после перемежения (интерливинга) поступает в скремблер (для входной последовательности {x(i)} выполняется процедура вида dscr(i) = x(i) + c(i), где c(i) – определенная скремблирующая последовательность). Затем формируются комплексные модуляционные символы (QPSK, 16- и 64-QAM) и распределяются по ресурсным элементам. Далее происходит синтез OFDM-символов, их последовательность поступает в модулятор, формирующий выходной ВЧ-сигнал в заданном частотном диапазоне. На стороне приема все процедуры выполняются в обратном порядке.

Рис. 15 Схема формирования сигнала в нисходящем канале
Применение OFDM в сочетании с циклическим префиксом делает связь устойчивой к временной дисперсии параметров радиоканала, в результате на приемной стороне становится не нужным сложный эквалайзер. Это очень полезно для организации нисходящего канала, поскольку упрощается обработка сигнала приемником, что снижает стоимость терминального устройства и потребляемую им мощность. Параметры нисходящего канала связи приведены в таблице 2.
Таблица 2. Параметры канала передачи между БС и АУ

Синтез сигнала OFDM имеет смысл рассмотреть более подробно, так как этот вопрос в отечественных публикациях рассматривается весьма поверхностно, что не позволяет сформировать целостную картину происходящих при этом физических процессов.

Рис. 16 Структура слота сигнала OFDM
Синтез OFDM сигнала показан на рис. 15. Прежде всего следует отметить, что сформированные модуляционные символы представляют собой не реальные модуляционные сигналы, а комплексные числа, в которых вещественная часть представляет амплитуду сигнала, а мнимая – фазу. Сформированные модуляционные символы сначала распределяются по слоям (антенным портам), а внутри слоя по ресурсным элементам, входящим в состав слота (рис.16) для всех выделенных ресурсных блоков (для всех выделенных поднесущих).
На вход блока N-точечного ОБПФ подаются OFDM сигналы, состоящий из модуляционных символов (комплексных чисел), предназначенных для всех N выделенных поднесущих, то есть отсчеты сигнала в частотной области. В результате ОБПФ на выходе получают отсчеты OFDM сигнала во временной области. Копируя часть временных отсчетов с конца OFDM сигнала в его начало добавляют так называемый циклический префикс для защиты от влияния интерференции. Однако, добавление циклического префикса, который уменьшает влияние канального затухания (link fading) и межсимвольную интерференцию (inter symbol interference), увеличивает полосу пропускания.
Поочередно подавая на вход блока N-точечного ОБПФ все OFDM символы и добавляя циклический префикс получают на входе модулятора отсчеты сигнала во временной области, предназначенного для передачи. В модуляторе производится преобразование цифровых отсчетов сигнала в сигнал в аналоговой форме (цифро-аналоговое преобразование), после чего производится его перенос на заданную частоту и усиление до требуемой мощности. В итоге в эфир излучается аналоговый сигнал близкий к шумоподобному на заданной частоте, а не сигнал с множеством поднесущих.
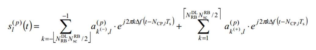
В соответствии с [7, п. 6.12] в LTE OFDM сигнал


для



. Переменная
N
приравнивается 2048 для разноса поднесущих Δ
f
=15 кГц, 4096 для Δ
f
=7,5 кГц, 24576 для Δ
f
=1,25 кГц.
Символы OFDM в слоте должны передаваться в порядке возрастания l, начиная с l=0, где символ OFDM l>0 начинается со времени

Восходящий канал
Основной недостаток технологии OFDMА – высокое соотношение пиковой и средней мощности сигнала (PAR). Это связано с тем, что во временной области спектр OFDM-сигнала становится аналогичным гауссову шуму, характеризующемуся высоким PAR. Кроме того, сама по себе технология OFDMА, с учетом необходимости минимизировать шаг между поднесущими и сокращать относительную длительность СР, предъявляет очень высокие требования к формированию композитного сигнала. Мало того, что частотные рассогласования между передатчиком и приемником и фазовый шум в принимаемом сигнале могут привести к межсимвольной интерференции на отдельных поднесущих (т.е. к интерференции между сигналами различных абонентских каналов). При малом шаге между поднесущими к аналогичным последствиям может привести и эффект Доплера, что очень актуально для систем сотовой связи, предполагающих высокую мобильность абонентов. В связи с этим для восходящего канала LTE была предложена новая технология – SC-FDMA (Single-Carrier Frequency-Division Multiple Access).
Принципиальное ее отличие: если в OFDMA на каждой поднесущей одновременно передается свой модуляционный символ, то в SC-FDMA поднесущие модулируются одновременно и одинаково, но модуляционные символы короче. То есть в OFDMA символы передаются параллельно, а в SC-FDMA – последовательно. Такое решение обеспечивает меньшее отношение максимального и среднего уровней мощности по сравнению с использованием обычной модуляции OFDM, в результате чего повышается энергоэффективность абонентских устройств и упрощается их конструкция (существенно снижаются требования к точности частотных параметров передатчиков).
Структура SC-FDMA-сигнала во многом аналогична технологии OFDM. Так же используется композитный сигнал – модуляция множества поднесущих, расположенных с шагом ∆f. Принципиальное отличие в том, что все поднесущие модулируются одинаково, т.е. единовременно передается только один модуляционный символ (рис.17).

Рис. 17. Различие между OFDMA и SC-FDMA при передаче последовательности QPSK-символов
При этом ресурсная сетка полностью аналогична нисходящему каналу. Так же каждый физический ресурсный блок, соответствующий слоту, занимает 12 поднесущих с шагом ∆f=15 кГц в частотной области (всего 180 кГц) и 0,5 мс – во временной. Ресурсному блоку соответствуют 7 SC-FDMA-символов при стандартном циклическом префиксе и 6 – при расширенном. Длительность SC-FDMA-символа (без префикса) равна длительности ОFDMA-символа и составляет 66,7 мкс (длительности соответствующих циклических префиксов также равны). В сетке может быть от 6 до 110 ресурсных блоков, но их число должно быть кратно 2, 3 или 5, что связано с процедурой дискретного Фурье-преобразования. Еще одна особенность – поддержка модуляции 64-QAM в АУ опциональна.
Для формирования группового сигнала восходящих каналов в сетях LTE используется схема мультиплексирования с частотным разнесением с передачей на одной несущей SC-FDMA. Эта схема может работать в системах, функционирующих как в режиме TDD с временным дуплексированием, так и в режиме FDD с частотным дуплексированием. Такие сигналы можно рассматривать как одночастотные с модуляцией КФМ или ФМ-2 и временным мультиплексированием, подобные тем сигналам, которые формируются в системе GSM. Формирование сигнала SC-FDMA показано на рис. 18. Как уже было отмечено, сигналы всех АУ, работающих с данной БС, излучаются на одной несущей, поэтому оставшуюся часть частотного диапазона, показанного на рис. 18, занимают спектры других АУ, как показано на рис. 19. При формировании сигнала в частотной области по классической схеме формирования одночастотного сигнала с модуляцией КФМ (ФМ-2), между этими спектрами нужно предусматривать защитные интервалы. Однако в системе SC-FDMA сигналы как соседних поднесущих, так и соседних АУ являются ортогональными, это позволяет использовать преимущество схемы с ортогональным частотным разнесением, которое заключается в эффективном использовании частотного ресурса. При этом защитный интервал в частотной области между сигналами разных абонентов может быть опущен. Как и в системах с OFDM, во временной области периодически добавляется ЦП, но такая процедура проводится над блоком элементарных символов. Введение такого ЦП позволяет избежать МСИ между SC-FDMA символами или между блоками элементарных символов.

Рис. 18. Передача данных с использованием технологии SC-FDMA
Распределение частотного ресурса между абонентами осуществляется ресурсными блоками, каждому из которых соответствует полоса частот 180 кГц в частотной области, что при разносе между соседними поднесущими частотами в 15 кГц соответствует 12 поднесущим, и временной интервал 0,5 мс во временной области (1 слот). В режиме работы с нормальным циклическим префиксом ресурсный блок содержит 7 SC-FDMA-символов, а в режиме работы с расширенным циклическим префиксом –6 SC-FDMA-символов.
Максимальное количество доступных ресурсных блоков зависит от выделенного системе диапазона частот, значение которого может доходить до 20 МГц, однако на краях выделенного диапазона предусмотрены защитные интервалы, которые не используются для передачи информации. Так, при выделении системе LTE полосы в 10 МГц реально будет использоваться только 9 МГц, что соответствует 50 ресурсным блокам.
Несмотря на то, что используется схема мультиплексирования с передачей на одной несущей, при формировании такого сигнала для удобства, всё же, будем пользоваться понятием поднесущих. При формировании сигнала восходящих каналов комплексные модуляционные символы размещаются по доступным частотно-временным ресурсам (ЧВР), не занятым пилотными символами (рис. 20), где пилотные символы выделены тёмным цветом). Пилотные символы располагаются в середине слота, они используются на приемной стороне для оценки передаточной характеристики канала. После размещения данных по ЧВР генерируется SC-FDMA-сигнал с периодическим добавлением ЦП во временной области.
Выделяемый абоненту ресурс всегда кратен в частотной области полосе шириной 180 кГц, а во временной – интервалу длительностью 1 мс, что соответствует двум слотам радиосигнала или одному подкадру. Контроль за сигналами абонентов осуществляется БС таким образом, чтобы их сигналы не перекрывались по частоте или во времени. Изменяя номера используемых входов блока ОБПФ передатчика, АУ может передавать свой сигнал в нужной полосе (рис. 19).

Рис. 19. Частотное разделение сигналов различных абонентов

Рис. 20. Структура слота сигнала SC-FDMA
Сгенерированный SC-FDMA-сигнал обладает хорошими свойствами огибающей во временной области. Ввиду того, что в определенный момент времени идет передача только одного модуляционного символа, величина пик-фактора таких сигналов оказывается значительно меньше, чем в сигналах, сгенерированных по схеме OFDM, что позволяет упростить передающую аппаратуру АУ и снизить расход энергии аккумулятора.
В восходящем канале допустимая мощность излучения значительно ниже, чем в нисходящем. Поэтому первичным становится энергетическая эффективность метода передачи информации с целью увеличения зоны покрытия, снижения стоимости терминального устройства и потребляемой им мощности.
Каждому абоненту сети для передачи данных от базовой станции с помощью функции планирования на определенное время выделяется определенное число ресурсных блоков.
Расписание передается абонентам по служебным каналам в нисходящем радиоканале. Однако если при OFDMA один модуляционный символ (QPSK, 16- или 64-QAM) соответствует OFDM-символу на одной поднесущей (15 кГц, 66,7 мкс), то при SC-OFDMA ситуация иная. В частотном плане ширина модуляционного символа оказывается равной всей доступной полосе частот (он передается на всех поднесущих одновременно). При этом один SC-FDMA-символ содержит несколько модуляционных символов (в идеале столько же, сколько поднесущих), но в соответствующее число раз более коротких по сравнению с OFDMA, что полностью отвечает условиям теоремы Котельникова-Шеннона.
Сама процедура формирования SC-FDMA-сигнала отличается от схемы OFDMA. После канального кодирования, скремблирования и формирования модуляционных символов они группируются в блоки по М символов – субсимволов SC-FDMA (рис.21), где М – суммарное число поднесущих во всех РБ, выделенных в данный момент для работы вверх данному абоненту [4]. Очевидно, что непосредственно отнести их на поднесущие с шагом 15 кГц невозможно – требуется в N раз более высокая частота, где N – это число доступных для передачи поднесущих базовой станции. Поэтому, сформировав группы по М модуляционных символов (М < N), их подвергают М-точечному дискретному Фурье-преобразованию (ДПФ), и полученные отсчеты распределяют по выделенным для абонента М поднесущим (на остальные входы N-точечного Фурье-преобразователя подают нули). А уже затем с помощью стандартной процедуры обратного N-точечного Фурье-преобразования синтезируют сигнал, соответствующий независимой модуляции каждой поднесущей [2]. Для минимизации влияния на качество приема межсимвольной интерференции при передаче между символами после выполнения ОБПФ вставляют СР и генерируют выходной ВЧ-сигнал. В результате пик-фактор SC-FDMA-сигнала соответствует пик-фактору исходной последовательности. При приеме сигнала SC-FDMA над ним производят операции, обратные тем, что были при передаче, а в приемниках SC-FDMA после блока ОБПФ используют эквалайзеры.
В результате такого подхода передатчик и приемник OFDMA- и SC-FDMA-сигналов имеют схожую функциональную структуру (см. рис.15 и 21).

Рис. 21 Особенность формирования выходного сигнала в случае SC-FDMA
Отметим, что АУ может использовать как фиксированный частотный диапазон (используются смежные ресурсные блоки, т.е. смежные поднесущие), так и распределенный – так называемый режим скачкообразной перестройки частоты (FH). В последнем случае для каждого слота восходящего канала используется новый ресурсный блок из доступной ресурсной сетки. Параметры перестройки частоты задаются сетевым оборудованием и сообщаются как при инициализации абонентского устройства в сети, так и по ходу работы в канале управления. В случае распределенного способа информация от каждого абонента расположена во всем спектре сигнала (рис.22), поэтому данный способ устойчив к частотно-избирательному замиранию. С другой стороны, при локализованном способе распределения возможно определить полосу, в которой для данного абонента достигается максимальная устойчивость канала к замираниям. Поскольку области замирания сигнала для всех абонентов различны, то можно достичь общую максимальную эффективность использования радиоканала. Однако это требует непрерывного сканирования частотной характеристики канала для каждого устройства и организации функции диспетчеризации.

Рис. 22. Способы распределения поднесущих в SC-FDMA
Помимо собственно информации, генерируемой функциями верхних уровней, в восходящем канале передаются опорные сигналы. Их назначение – помочь приемнику БС настроиться на определенный передатчик АУ. Кроме того, эти сигналы позволяют оценить качество канала, что используется в БС при диспетчеризации ресурсов. Опорные сигналы в восходящем канале бывают двух видов – так называемые "демодулированные" и зондовые (sounding). Демодулированные опорные сигналы аналогичны опорным сигналам нисходящего канала. Они передаются на постоянной основе. Так, в общем информационном канале последовательность демодулированного опорного сигнала передается в четвертом SC-FDMA-символе каждого слота при стандартном СР. Зондовые сигналы апериодичны. Их основное назначение – дать БС возможность оценить качество канала, если передача еще не ведется.
В изложении принципа формирования сигнала SC-FDMA очень много путаницы. В одних источниках, в частности в [2] утверждается, что до ДПФ сигнал находится в частотной области, а после ДПФ формируется аналоговый сигнал, т.е. сигнал во временной области, и что длительность модуляционных импульсов в SC-FDMA символе должна быть в N раз короче, чем в OFDM символе, где N – количество доступных поднесущих БС.
В других источниках, в частности в [4] утверждается, что до ДПФ мы имеем сигнал во временной области, а после ДПФ происходит преобразование в частотную область. В этой же статье утверждается также, что скорость модуляционных символов в М раз больше скорости SC-FDMA символов, где М – количество поднесущих в выделенных АУ ресурсных блоках. Кому верить?
С одной стороны, на вход схемы формирования SC-FDMA приходит тот же поток комплексных чисел, что и при формировании OFDM сигнала, т. е. амплитуда и фаза модуляционного символа, а это представление сигнала в частотной области. То есть, после ДПФ мы должны получить представление сигнала во временной области. Тогда после ОДПФ мы получим представление сигнала в частотной области, а нам нужно во временной, так как добавление СР производится с отсчетами во временной области, и на вход ЦАП нужно подавать отсчеты во временной области. Если взять за основу, что на выходе ОДПФ мы имеем представление сигнала во временной области, то тогда на входе ДПФ модуляционные символы представлены также во временной области, что также не соответствует действительности. Единственное, что при этом соответствует действительности, это то, что после всех преобразований в передатчике и приемнике, на выходе приемника получаем модуляционные символы, представленные в той же форме, в которой они подавались на вход ДПФ в передатчике. Как видим, понятия представления сигналов во временной и частотной области при цифровой обработке сигналов достаточно условны. Но, поскольку в эфир излучается аналоговый сигнал во временной области, то будем считать, что на выходе ОДПФ мы имеем представление сигнала во временной области, и, соответственно, на входе ДПФ мы также имеем представление сигнала во временной области. Остается разобраться со скоростью передачи модуляционных символов.





