- -
- 100%
- +
С помощью программы MATLAB проведен небольшой эксперимент по формированию сигналов OFDM и SCFDMA. В соответствии с рис. 17 взята последовательность из первых 4-х символов x=[1+1i, -1-1i, -1+1i, 1-1i], т.е. предполагается, что имеется М=4 поднесущие.
При формировании OFDM сигнала делается ОДПФ, после которого получаем: ofdm=[0.0000+0.0000i, 0.5000-0.5000i, 0.0000+1.0000i, 0.5000+0.5000i], это числовые отсчеты излучаемого сигнала. Эти отсчеты подаются в ЦАП, где преобразуются в аналоговый сигнал длительности 66,7 мкс, после чего сформированный сигнал передается в эфир. На приемной стороне производится оцифровка принятого сигнала, в результате которой должны получить отсчеты ofdm=[0.0000+0.0000i, 0.5000-0.5000i, 0.0000+1.0000i, 0.5000+0.5000i], после применения к ним ДПФ, получаем: X=[1.0000+1.0000i, -1.0000-1.0000i, -1.0000+1.0000i, 1.0000-1.0000i], т.е. получили исходную последовательность.
При формировании SCFDMA сначала выполняется ДПФ, в результате которого получаем: y=[0.0000+0.0000i, 2.0000+2.0000i, 0.0000+ 4.0000i, 2.0000 -2.0000i], будем считать, что это отсчеты спектра на выделенных поднесущих. Будем считать, что базовая станция имеет N=16 поднесущих, первые четыре из которых принадлежат нашему АУ. Тогда полученную последовательность «y» необходимо дополнить до 16-ти нулями и выполнить ОДПФ, в результате которого получаем: sc=[0.2500+0.2500i, 0.0542+0.4077i, -0.2500+0.3536i, -0.4077+0.0542i, -0.2500-0.2500i, 0.0811-0.2724i, 0.2500+0.0000i, 0.0811+0.2724i, -0.2500+0.2500i, -0.4077-0.0542i, -0.2500-0.3536i, 0.0542-0.4077i, 0.2500-0.2500i, 0.2724-0.0811i, 0.2500+0.0000i, 0.2724+0.0811i], это отсчеты передаваемого сигнала во временной области. Эти отсчеты также подаются в ЦАП, где преобразуются в аналоговый сигнал длительности 66,7 мкс, после чего сформированный сигнал передается в эфир. Поскольку при формировании OFDM также используются все N поднесущих, то скорость обработки информации в ЦАП не изменяется, соответственно и длительность передаваемых символов также не должна изменяться. Откуда в источниках [2 и 4] получили сокращение длительности модуляционных символов при SC-FDMA пока не ясно. Не ясно также, откуда видно, что на всех поднесущих излучается один и тот же сигнал. Из процесса формирования сигнала это не следует, поскольку отсчеты спектра на поднесущих разные.
При приеме сигнала, в результате оцифровки принятого сигнала должны получить те же отсчеты сигнала «sc», которые использовались при передаче. После применения к ним ДПФ получаем: Y=[0.0000+0.0000i, 2.0000+2.0000i, 0.0000+4.0000i, 2.0000-2.0000i, 0.0000+0.0000i, -0.0000-0.0000i, 0.0000+0.0000i, -0.0000+0.0000i, 0.0000-0.0000i, 0.0000+0.0000i, 0.0000-0.0000i, 0.0000-0.0000i, 0.0000-0.0000i, 0.0000+0.0000i, 0.0000+0.0000i, 0.0000+0.0000i]. Это отсчеты спектра сигнала на поднесущих базовой станции, из которых первые четыре поднесущие представляют наш сигнал, а на остальных нули. При дальнейшей обработке выделяется последовательность, принадлежащая поднесущим нашего АУ, Y1=[0.0000+0.0000i, 2.0000+2.0000i, 0.0000+4.0000i, 2.0000-2.0000i]. Применяя к выделенной последовательности ОДПФ получаем последовательность X=[1.0000+1.0000i, -1.0000-1.0000i, -1.0000+1.0000i, 1.0000-1.0000i], которая полностью совпадает с переданной последовательностью «x».
Если мы при формировании OFDM на передающей стороне применим ДПФ, а на приемной ОДПФ, результат не изменится, мы примем тот же сигнал, только пик-фактор немного уменьшиться, так как в первом случае максимальное значение амплитуды равно 5, а во втором – 4.
Аналогично при формировании SC-FDMA сигнала, на передающей стороне можем сначала применить ОДПФ, а потом ДПФ, при этом на приемной стороне сначала ОДПФ, а потом ДПФ, при этом на приемной стороне будет принят тот же сигнал.
Таким образом, до подачи отсчетов на ЦАП и после снятия отсчетов с АЦП работает чистая математика с отсчетами сигналов, поэтому абсолютно не важно, какие отсчеты считать относящимися к временной области, а какие к частотной, это дело вкуса каждого. Важно только то, что после ЦАП формируется аналоговый сигнал действительно во временной области, который после переноса на заданную частоту и усиления излучается в эфир на этой частоте как при OFDM так и при SC-FDMA.
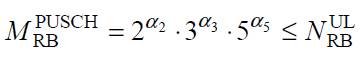
В соответствии со спецификацией LTE [7, п. 5.3.3] до генерации сигнала SC‑FDMA производится операция преобразования предкодирования, которая является операцией ДПФ и выполняется в соответствии с

в результате чего образуется блок комплекснозначных символов




, где α
2
, α
3
, α
5
– множество неотрицательных целых чисел.
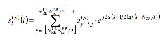
После этого в соответствии со спецификацией LTE [7, п. 5.6] производится генерация сигнала SC‑FDMA


для



Сравнение формул, приведенных в [7] для формирования сигналов OFDM и SC‑FDMA показывает, что они отличаются весьма незначительно, а именно только аргументами функций ek. Для сигнала OFDM применяется функция


Циклический префикс
Циклический префикс (СР) вводится с целью введения защитного интервала при сохранении ортогональности поднесущих. Теоретически его нужно вводить для каждого символа на каждой поднесущей.
Для этого нужно сдвинуть символ на границу времени задержки распространения, а затем заполнить защитный интервал копией конца символа, для чего нужно скопировать конец символа и приклеить его к началу, как показано на рис. 23. При этом начало символа будет находиться вне зоны задержки распространения, и он не повредится при многолучевом распространении, кроме того, измененный сигнал начинается на новой границе, с сохранением формы сигнала, что обеспечит сохранение ортогональности поднесущих. В результате длительность символа увеличивается, следовательно, скорость передачи уменьшается. В действительности, источник символа непрерывен, поэтому все что мы можем делать с аналоговым сигналом, так это корректировать начальную фазу и увеличивать длительность символа.
Но почти все книги говорят об этом, как о копировании хвоста. А причина в том, что в цифровой обработке сигнала, это делается именно таким образом. При цифровой обработке сигнала эта процедура выполняется не с самым сигналом, а с его цифровыми отсчетами, непосредственно перед их преобразованием в аналоговый сигнал. Часть цифровых отсчетов сигнала OFDM или SC-OFDM символа во временной области из конца символа копируют в начало, как показано на рис. 23.
Эта процедура называется добавлением циклического префикса. Поскольку OFDM имеет много поднесущих, мы должны применять это к каждой поднесущей. Но это только в теории. В действительности же, поскольку OFDM сигнал является линейной комбинацией сигналов на поднесущих, мы можем добавить циклический префикс только один раз для всего сигнала OFDM.
Размер префикса составляет от 10% до 25% времени символа. Рассмотрим OFDM сигнал с периодом, равным 32 выборкам. Если мы хотим добавить к этому сигналу 25% циклический сдвиг, то для этого необходимо выполнить следующие операции:
1.Сначала вырежем куски длительностью в 32 выборки.
2.Затем возьмем последние 0,25 (32) = 8 выборок, скопируем и добавим их в начало, как показано на рисунке 23.

Рис. 23. Добавление СР в аналоговом сигнале

Рис. 24. Добавление СР в цифровых отсчетах
После выполнения ОБПФ добавляют префикс только один раз для всего сигнала. После того, как сигнал принят приемником, сначала удаляют этот префикс, чтобы вернуть периодический сигнал, а затем пропускают через БПФ для получения символов на каждой поднесущей.
Дополнительный канал
Информация о дополнительном канале имеется в [7 п.9] и [11 п.23]. Дополнительный канал, используется для прямой коммуникации ProSe и канала прямого открытия ProSe между UEs. (ProSe – основанное на близости).
Дополнительный физический канал соответствует ряду элементов ресурса, несущих информацию, берущую начало из более высоких уровней, и является интерфейсом, определенным между 3GPP TS 36.212 [3] и существующим документом 3GPP TS 36.211. Определены следующие дополнительные физические каналы:
– Physical Sidelink Shared Channel, PSSCH – Физический дополнительный совместно используемый канал;
– Physical Sidelink Control Channel, PSCCH – Физический дополнительный канал управления;
– Physical Sidelink Discovery Channel, PSDCH – Физический дополнительный канал открытия;
– Physical Sidelink Broadcast Channel, PSBCH – Физический дополнительный канал радиовещания.
Генерация модулирующего сигнала, представляющего различные физические дополнительные каналы, поясняется на рисунке 25

Рис. 25. Генерация сигнала дополнительного канала
Сигналы дополнительного физического канала используются физическим уровнем, но не несут информацию, из более высоких уровней. Определены следующие сигналы дополнительного физического канала:
– опорный сигнал демодуляции;
– сигнал синхронизации.
Структура слота и физические ресурсы дополнительного канала аналогичны восходящему каналу. С режимами передачи типа 1 и 2 используется такой же циклический префикс, как и в восходящем канале, с режимами передачи 3 и 4 поддерживается только нормальный СР.
Порт антенны определен таким образом, что на один и тот же порт могут поступать сигналы разных каналов. Порты антенны, используемые для передачи физического канала или сигнала, показаны в таблице 3.
Таблица 3: Порты антенны, используемые для различных физических каналов и сигналов

Защитный интервал. Последний символ SC-FDMA в подкадре дополнительного канала служит защитным интервалом и не должен использоваться для передачи информации в дополнительном канале.
Физический дополнительный совместно используемый канал
Обработка информационных сигналов в этом канале происходит в соответствии с рис. 24 с соблюдением следующих правил.
Скремблирование. Блок битов b(0),…,(Mbit-1), где Мbit является числом битов, передаваемых в физическом дополнительном совместно используемом канале в одном подкадре, должен быть скремблирован согласно выражению 5.3.1 в [3GPP TS 36.211].
Генератор скремблирующей последовательности должен быть инициализирован с в начале каждого подкадра PSSCH где:
– для дополнительного канала режимов передачи 1 и 2, = – тождество назначения, полученное из дополнительного канала управления, и
– для дополнительного канала режимов передачи 3 и 4, с p и L, определяемых выражением 5.1.1 в [3GPP TS 36.212], приравнивает десятичное представление CRC (циклического контроля избыточности) на PSCCH, переданном в том же самом подкадре как PSSCH.
Модуляция. Таблица 4 определяет модуляционные отображения, применимые для физического дополнительного совместно используемого канала.
Таблица 4 Схемы модуляции PSSCH

Отображение уровня. Отображение уровня должно быть сделано согласно приведенному ниже выражению, использующему единственный вход антенны, υ=1.
Символы модуляции комплексного значения для каждого из кодовых слов, подлежащих передаче, отображаются на один или два слоя. Комплексные символы модуляции


Для передачи на одном антенном порту используется один уровень, υ=1, а отображение определяется посредством


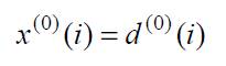
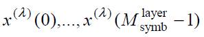
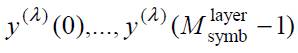
Преобразование предкодирования. Преобразование предкодирования должно быть выполнено согласно выражению приведенному ниже, замещая и на и , соответственно.
Для каждого слоя λ = 0,1, …, υ -1 блок комплекснозначных символов



в результате получается блок комплекснозначных символов

Переменная



Предкодирование. Предкодирование должно быть выполнено согласно выражению приведенному ниже, использующему единственный вход антенны, υ=1.
Прекодер принимает на вход блок векторов


Для передачи по одному порту антенны предварительное кодирование определяется как


Отображение на физические ресурсы. Блок символов комплексных переменных z(0),....,z() должен быть умножен на амплитудный масштабный коэффициент βPSSCH, соответствующий требуемой передаваемой мощности PPSSCH, определенный в [3GPP TS 36.213], и отображаемый в последовательности, начинающейся с z(0) к физическим блокам ресурса на входе антенны p и предназначенный для передачи PSSCH. Отображение элементов ресурса (k, l) к соответствующим физическим ресурсным блокам, назначенным для передачи и не используемым для передачи опорных сигналов, должно быть в порядке увеличения сначала индекса k, потом индекса l, начиная с первого слота в подкадре. Ресурсные элементы в последнем символе SC-FDMA в пределах подкадра должны учитываться в процессе отображения, но не передаваться.
Литература:
1. А.Е. Рыжков, М.А. Сиверс, В.О. Воробьев, А.С. Гусаров, А.С. Слышков, Р.В. Шуньков. Системы и сети радиодоступа 4G: LTE, WiMAX – СПб: Линк, 2012.
2. В. Вишневский дтн., А. Красилов, И. Шахнович Технология сотовой связи LTE – почти 4G, статья в интернете.
3. А.Л. Гельгор, Е.А. Попов Технология LTE Мобильной передачи данных, Санкт-Петербург Издательство политехнического университета, 2011.
4. Янина Витакре FDMA с одной несущей – новый восходящий канал LTE, статья в интернете.
5. П.Н. Сердюков, А.С. Григорьев, К.Г. Гугалов, Г.Ю. Пучков Циклический префикс при передаче OFDM-сигналов, статья в интернете.
6. Man Sucar, SC-FDMA &OFDMA in LTE physical laer – IJETT, статья в интернете.
7. Спецификация LTE 3GPP TS 36.211 Physical Channels and Modulation version 14.5.0 Release 14.
8. Спецификация 3GPP TS 29.281; General Packet Radio System (GPRS); Tunnelling Protocol User Plane (GTPv1-U).
9. Спецификация 3GPP TS 29.274; Evolved General Packet Radio Service (GPRS); Tunnelling Protocol for Control plane (GTPv2-C); Stage 3.
10. Спецификация 3GPP TS 36.331; Radio Resource Control (RRC).
11. Спецификация 3GPP TS 36.300 Evolved Universal Terrestrial Radio Access (E-UTRA) and Evolved Universal Terrestrial Radio Access Network (E-UTRAN); Overall description.
Список сокращений по LTE
(H)eNB eNB or HeNB, базовая станция или домашняя базовая станция – (под)сеть радиодоступа. Подсеть области сетевой инфраструктуры, содержащая все механизмы передачи информации по радиоканалу.
1x RTT CDMA2000 1x Radio Transmission Technology
1xC S IWS Single Radio Voice Call Continuity Interworking solution Function for 3GPP2 1xC S
1xCSFB Circuit Switched Fallback to 1xRTT
2G 2nd Generation
3G 3rd Generation
3GPP Third Generation Partnership Project
8-PSK 8-state Phase Shift Keying
A3 Authentication algorithm A3
A38 A single algorithm performing the functions of A3 and A8
A5/1 Encryption algorithm A5/1
A5/2 Encryption algorithm A5/2
A5/X Encryption algorithm A5/0-7
A8 Ciphering key generating algorithm A8
AAL ATM Adaptation Layer
AAL2 ATM Adaptation Layer type 2
AAL5 ATM Adaptation Layer type 5
AB Access Barring
AB Access Burst
ABS Almost Blank Subframe
AC Access Category
Access Class (C0 to C15)
Access Condition
Authentication Centre
Application Context
Access Class (of the USIM)
ACC Automatic Congestion Control
ACCH Associated Control Channel
ACDC Application specific Congestion control for Data Communication
ACELP Algebraic Code Excited Linear Prediction
ACIR Adjacent Channel Interference Ratio
ACK Acknowledgement
ACK Acknowledgement (in HARQ protocols)
ACL APN Control List
ACLR Adjacent Channel Leakage Power Ratio
ACLR Adjacent Channel Leakage Ratio
ACM Accumulated Call Meter
Address Complete Message
ACMmax ACM (Accumulated Call Meter) maximal value
ACRR Adjacent Channel Rejection Ratio
ACS Adjacent Channel Selectivity
ACU Antenna Combining Unit
ADC Administration Centre
Analogue to Digital Converter
ADCH Associated Dedicated Channel
ADF Application Dedicated File
ADM Access condition to an EF which is under the control of the authority which creates this file
ADPCM Adaptive Differential Pulse Code Modulation
ADR Accumulated Delta-Range
AE Application Entity
AEC Acoustic Echo Control
AEF Additional Elementary Functions
AESA ATM End System Address
AFC Automatic Frequency Control
AGCH Access Grant CHannel
A-GNSS Assisted-GNSS
AI Acquisition Indicator
Ai Action indicator
AICH Acquisition Indicator Channel
AID Application IDentifier
AIUR Air Interface User Rate
AK Anonymity Key
AKA Authentication and Key Agreement
AKI Asymmetric Key Index
ALCAP Access Link Control Application Protocol
ALSI Application Level Subscriber Identity
ALW ALWays
AM Acknowledge Mode, режим с подтверждением. Один из двух (совместно с UM) режимов передачи данных RLC -подуровне.
AMBR Aggregate Maximum Bit Rate
AMF Authentication Management Field
AMN Artificial Mains Network
A-MPR Additional Maximum Power Reduction
AMR Adaptive Multi Rate
AMR-WB Adaptive Multi Rate Wide Band
AN Access Network
AND Abbreviated Dialling Numbers
ANDSF Access Network Discovery and Selection Function
ANP Access Network Provider
ANR Automatic Neighbour Relation
AoC Advice of Charge
AoCC Advice of Charge Charging
AoCI Advice of Charge Information
AP Access preamble
APDU Application Protocol Data Unit
API Application Programming Interface
APN Access Point Name
ARFCN Absolute Radio Frequency Channel Number
ARP Address Resolution Protocol
ARP Allocation and Retention Priority
ARQ Automatic Repeat ReQuest, запрос автоматического повтора
ARR Access Rule Reference
AS Access Stratum, слой доступа. Один их двух (совместно с NAS ) слоёв функциональных связей сети LTE.
ASC Access Service Class
ASCI Advanced Speech Call Items
ASE Application Service Element
A-SGW Access Signalling Gateway
ASN.1 Abstract Syntax Notation One
AT command ATtention Command
ATM Asynchronous Transfer Mode
ATR Answer To Reset
ATT (flag) Attach
AU Access Unit
AuC Authentication Centre
AUT(H) Authentication
AUTN Authentication token
AWGN Additive White Gaussian Noise
BA BCCH Allocation
BAIC Barring of All Incoming Calls
BAOC Barring of All Outgoing Calls
BC Band Category
BCC Base Transceiver Station (BTS) Colour Code
BCCH Broadcast Control Channel, логический вещательный управляющий канал, используемый для передачи в сети служебной информации.
BCD Binary Coded Decimal
BCF Base station Control Function
BCFE Broadcast Control Functional Entity
BCH Broadcast Channel (транспортный вещательный канал)
BCIE Bearer Capability Information Element
BDN Barred Dialling Number
BER Bit Error Ratio
Basic Encoding Rules (of ASN.1)
BFI Bad Frame Indication
BG Border Gateway
BGT Block Guard Time
BI all Barring of Incoming call
BIC Baseline Implementation Capabilities






