Экономика упущенных возможностей

- -
- 100%
- +
Россия ввиду своего географического положения и климата (рекомендую прочитать специализированную литературу по этому вопросу), ментальности, упущенных возможностей, наличия громаднейших природных ресурсов не может конкурировать с другими странами в выпуске значительного количества продукции высокого передела (при прочих равных условиях издержки на единицу продукции существенно выше). Это значит, что наша страна обязана идти по особому экономическому пути развития. Поэтому все мои дальнейшие рассуждения базируются на нескольких основных моментах.
Первое. Неизбежность существенного вмешательства государства в российскую экономику – либо за счет субсидирования части издержек частного бизнеса (с оставлением прибыли конкретным физическим лицам), либо (при недостаточной эффективности мероприятий по сокращению издержек) за счет вхождения в капитал коммерческих структур. При развитии стратегически важных отраслей экономики необходимо создание государственных корпораций со 100-процентным федеральным участием. В дальнейшем возможна продажа долей таких корпораций на открытом рынке, но контрольный пакет должен оставаться у государства. Основная цель создания таких организаций – развитие определенных направлений (отраслей). Обобщенно это можно назвать государственным капитализмом. На практике это и происходит в течение последних нескольких лет.
Второе. В течение длительного времени Россия обречена на импорт готовых изделий (продуктов), расплачиваться за который приходится продажей сырья на мировых рынках. Более 50 % в общей структуре экспорта государства составляет на вывоз сырьевых ресурсов, что является неизбежной долгосрочной составляющей российской экономики. Можно называть нашу страну сырьевым придатком Запада или стратегическим партнером по поставкам сырья, или как-то еще – в зависимости от политической конъюнктуры. Все это лирика, не имеющая особого значения. Если российские граждане хотят потреблять качественную продукцию высокого передела, они обязаны что-то продавать (в долг никто не даст, потому ситуацию с займом не рассматриваем). Для решения задачи обеспечения необходимого объема валютных средств без сырья никак не обойтись.
Третье. В долгосрочном плане платежный баланс страны является шаткой конструкцией, которая в большой степени зависит от рыночной конъюнктуры цен на основные экспортные позиции (сырье).
Четвертое. Невозможность конкурировать на рынке внешних прямых инвестиций, в соответствии с общим уровнем экономики и форсмажорной историей. Лет через 50 к данному вопросу можно будет вернуться.
Пятое. Невозможность в долгосрочном плане быть привлекательной страной для притока внешнего капитала (прямых инвестиций).
Шестое. В благоприятный рыночный цикл (рост цен на основные товары российского экспорта) происходит накопление валюты в стране, с одновременным массированным оттоком капитала. Величина оттока капитала зависит от действий властей и общей величины экспортной выручки. Вне зависимости от дальнейшего ценообразования на экспортные позиции чистые остатки валюты в стране будут снижаться (золотовалютные ресурсы (ЗВР) минус внешний долг).
Седьмое. Для создания привлекательности с точки зрения инвестиций (внешних и внутренних) Россия обязана быть страной с наиболее благоприятными факторами ведения бизнеса. В первую очередь имеются в виду налоги. Их следует кардинально снизить: налог на прибыль – до 15 %; налог на дивиденды – до 3 %; НДС – до 10 % (замена на налог с продаж); также необходимо снижение ЕСН и др.
Восьмое. Для покрытия дефицита налоговых поступлений придется вводить государственную монополию на крепкий алкоголь. Монополия государства на алкогольную промышленность – очевидная неизбежность, обусловленная необходимостью субсидирования повышения привлекательности российской экономики. Возможна также национализация ряда других отраслей экономики, например нефтегазовой.
Девятое. Невозможность конкурентного производства ряда продуктов, соответствующих мировым стандартам, на территории России, что влечет за собой высокое потребление импорта. При увеличении притока валютных средств в страну импорт будет возрастать более быстрым темпом. Общая величина постоянного импорта (товаров и услуг) может быть рассчитана, причем она всегда будет существенно выше возможного уровня экспорта товаров и услуг. Снижение потребления импорта возможно в рамках снижения курса национальной валюты.
Десятое. Невозможность в среднесрочной перспективе создания на территории России объема продукции с большой добавленной стоимостью (кроме сырья), пригодной для экспорта в другие страны (ближнее и дальнее зарубежье), более чем на 80 млрд долл.
Одиннадцатое. Стратегический рынок сбыта отечественных готовых изделий – страны ближнего зарубежья.
Двенадцатое. Экономическая и политическая экспансия должны быть направлены в первую очередь на постсоветское пространство. Как один из результатов – единая валюта.
Тринадцатое. Создание ускоренными темпами союзного государства Россия – Белоруссия с последующим включением в него других стран (СНГ).
Четырнадцатое. Внешнеполитическая деятельность должна «заморозиться» на достижении получения блокирующего пакета акций по принятию стратегических решений в мире (25 % + 1 акция, не более). В настоящее время количество собранных (возвращенных) акций близко к данному показателю. Опасность заключается в том, что многие лоббируют дополнительную эмиссию, на которую сегодня у России нет ресурсов.
Мне сложно судить о степени понимания нашими руководителями общей ситуации в стране с точки зрения достижения устойчивого развития российской экономики в долгосрочном плане, но некоторые шаги в данном направлении прослеживаются. Очевидно, что создание государственных корпораций – это не самый эффективный вариант использования ресурсов и средств, но особого выбора у России нет. В качестве примера приведу машиностроительную отрасль. Забытое богом направление. Для частного бизнеса совершенно неподъемная отрасль, требующая вложения десятков миллиардов долларов, со сроком окупаемости 20–50 лет, плюс жесткая конкуренция со стороны западных производителей и т. д. Риски громадные, а отдача сводится к нулю и головной боли. Однако с точки зрения государства, это то направление, которое обязано быть при любом раскладе, и не только с позиции ВПК. Чем дольше им не заниматься, тем сложнее начинать. В таком же состоянии находится судостроительная и авиационная промышленность. К сожалению, Россия по многим направлениям отстала практически навсегда, но этого аргумента недостаточно, чтобы Правительство не уделяло этому вопросу должного внимания. Я не говорю о новых направлениях, требующих гигантских вложений, которые под силу только Федеральному правительству. Обобщив сказанное, можно констатировать, что российской экономике нужен не рывок, а прорыв, который невозможен без существенных государственных инвестиций.
Ключевую роль в данном направлении я отвожу платежному балансу страны. Только в случае устойчивого платежного баланса можно надеяться на благоприятный исход экономических преобразований в России. Худо-бедно, с опозданием в несколько лет, государство создало условия для экономического роста, но этого явно недостаточно. Все благие начинания могут свестись к минимуму из-за нехватки в стране валютных средств. Кроме того, нас, рядовых инвесторов, волнуют устойчивость национальной валюты и возможность просчитывать экономические и финансовые риски. Осторожно (не проводил анализа) можно сказать, что благоприятные периоды развития России (СССР) приходились на моменты позитивного платежного баланса, а основные негативные моменты возникали из-за резкого ухудшения счета текущих операций. Также можно сказать, что реформы Михаила Горбачева и Бориса Ельцина не «срослись» из-за отвратительной рыночной конъюнктуры(искусственной) и, как следствие, не самого лучшего платежного баланса. Но это тема отдельного исследования.
Как я уже сказал, к сожалению, именно в состоянии платежного баланса России я вижу фундаментальное благополучие нашей экономики. До настоящего момента ни один из руководителей страны не воспользовался благоприятной ситуацией на мировых сырьевых рынках для того, чтобы разорвать этот порочный круг. Относительно Владимира Путина окончательный вывод можно будет сделать лет через десять, не раньше. Именно поэтому базовое правительство России я называю правительством упущенных возможностей. Если быть более точным, то речь идет о двух-трех упущенных годах. Но об этом в другой раз. Даже сегодня никто из руководителей страны не говорит о том, как именно правительство будет решать проблему отрицательного счета текущих операций, которая при любом сценарии (даже самом благоприятном) возникнет не позже 2010 года.
Прежде чем приступить к анализу платежного баланса, мне бы хотелось показать причинно-следственную связь между благополучием российской экономики и состоянием платежного баланса. Развитие любой экономики обеспечивается реализацией множества инвестиционных проектов. Для долгосрочного устойчивого экономического роста необходимы инвестиционные проекты со значительным сроком окупаемости. Мы не будем говорить о том, что определенные инвестиционные проекты (особенно в России) требуют федеральных вложений (когда окупаемость средств невозможна в принципе), речь пойдет о частных капиталовложениях. Поскольку Россия выбрала путь свободного и открытого рынка (не бесспорное утверждение, так как открытый рынок в России запрограммирован на откачку валютных средств), то у предпринимателей всегда есть выбор по использованию финансовых ресурсов. Если отбросить патриотические чувства (деньги чаще всего не лирическая категория), то на первом месте – общая рентабельность капитала. Могут быть детали, но прибыль есть основной двигатель предпринимательства. Бизнесмен не будет беспокоиться по поводу эффективного использования ресурсов в долгосрочном плане (одна из функций изучения экономики в целом), создания социального государства, обеспечения достойной старости и др. В свою очередь, стратегическая задача государства – создание рабочих мест, перераспределение доходов, защита малоимущих граждан, людей с ограниченными физическими возможностями и многое другое. Так как Россия является страной с ярко выраженным экспортом сырья, занимающего в общей структуре экспорта более 50 % (табл. 10), то невозможно в долгосрочном плане прогнозировать устойчивый приток валюты и не создавать предпосылок для создания устойчивого курса национальной валюты. Максимальный горизонт прогноза, в зависимости от накопленных ЗВР не превышает четырех-восьми лет. Неустойчивость национальной валюты влечет за собой повышенные процентные ставки, что отрицательно сказывается на рентабельности бизнеса, удорожая сам инвестиционный проект, с одной стороны, и увеличивая сроки окупаемости капитала, – с другой. Эти факторы будут приводить к выводу капитала (валюты) из страны. Чем больше экспортная выручка, тем больше отток средств. При существенном уровне экспорта создается иллюзия благоприятной ситуации с притоком валюты (как правило, на определенном этапе общий отток средств из страны – импорт товаров и услуг – имеет более низкий темп, нежели общий объем экспорта). Такая ситуация способствует притоку внешних инвестиций, которые состоят из ранее выведенных средств (до 70 %) и части мирового спекулятивного капитала. В результате укрепляется национальная валюта, что трактуется неискушенными инвесторами как долгосрочная тенденция. Определенная часть бизнес-сообщества может направить часть ресурсов на местные инвестиционные проекты. Следует иметь в виду, что при притоке внешних инвестиций возрастает внешний долг страны, как правило, корпоративный. Чем продолжительнее внешний благоприятный цикл, тем больше накапливается в экономике негативных факторов, связанных со структурой платежного баланса. В определенный момент времени счет текущих операций резко снижается, и вопрос об устойчивости национальной валюты становится актуальным. Самые осторожные участники экономической деятельности, помня поведение государства в аналогичных ситуациях, начнут сокращать инвестиционную деятельность, основанную на местной валюте, и в качестве подстраховки, на всякий случай, часть инвестиционного капитала переместят за пределы страны. По тем же причинам (снижение счета текущих операций) спекулятивный капитал изменит направление своего движения – общая безрисковая доходность резко снизится, а отток капитала усилится. В дальнейшем ситуация будет полностью зависеть от позиции государства по отношению к расходованию ранее накопленных ЗВР. Вариантов несколько: Центральный банк может медленно снижать накопления; не тратить валюту; расходовать валюту на уровне, достаточном для удовлетворения спроса со стороны инвесторов, выводящих капиталы из страны. Также может быть выбран определенный максимальный уровень снижения национальной валюты или другие варианты. Однако вне зависимости от действия властей давление на национальную валюту будет резко возрастать, и девальвация рубля будет вопросом времени.
Основная задача инвестора (именно с этой точки зрения мы рассматриваем данную проблематику) – объективно оценить сложившуюся ситуацию и принять разумное взвешенное решение.
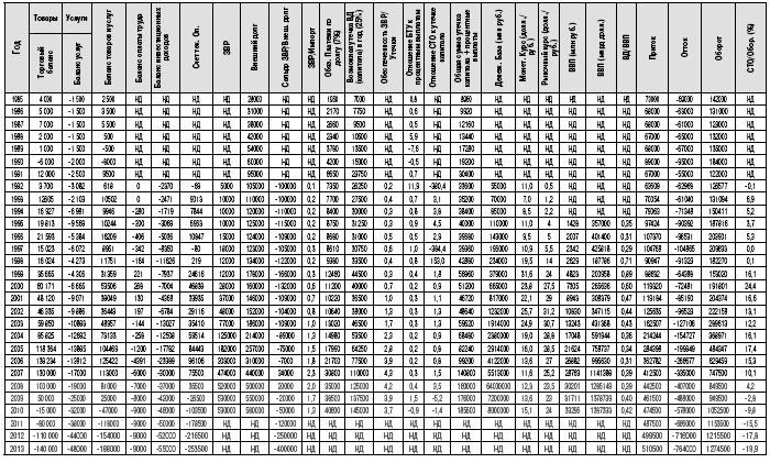
Таблица 1. Показатели платежного баланса и макроэкономической статистики РФ за 1985–2007 годы (млн долл.). Основной массив информации взят с сайта ЦБ РФ. Информация, отсутствующая на сайте Центрального банка, взята из источников Госкомстата РФ. До 30 % информации – СМИ. Что касается данных, взятых из неофициальных источников, то их достоверность составляет не менее 75 % (оценка автора). Данные за 2007 год – прогнозные значения, основанные на официальной информации, опубликованной до 01.01.2008.
Так как представленные в дальнейшем анализ и прогноз являются сугубо авторскими, рекомендую внимательнейшим образом ознакомиться с табл. 1 и постараться сделать собственный анализ и прогноз (не быть в плену предложенного текста).
В обобщенных данных отсутствуют средства Стабилизационного фонда, которые также являются валютным резервом для страны. Я не думаю, что для поддержания валютного курса рубля будет потрачено более 100 млрд долл., или не более 50 млрд долл, в год. Если говорить о процентах к общей сумме, то общие продажи не превысят 60 % накопленной суммы.
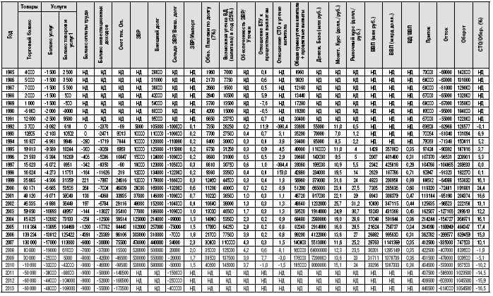
Таблица 2. Показатели платежного баланса и макроэкономической статистики РФ за 1985–2007 годы (млн долл.). Оптимистичный сценарий-1. Добавили «аналитики» и на основании полученных данных рассчитали прогнозные показатели ряда позиций до 2013 года. В дальнейшем будут даны определенные пояснения и комментарии. Так как достаточно проблематично комментировать все, то пояснения даны к некоторым позициям.
Основное. Выручка от экспорта продолжит увеличиваться, и при текущем темпе роста других показателей в отрицательную зону торговый баланс уйдет в 2010 году, а счет текущих операций – в 2009 году. Следовательно, 2009–2010 годы станут периодом, когда ситуация с платежным балансом резко ухудшится. Вариантов два: либо будет расходование общих валютных резервов страны, либо за счет притока инвестиций (также негатив, см. баланс ЗВР/Внешний долг) произойдет общее ухудшение структуры счета текущих операций.
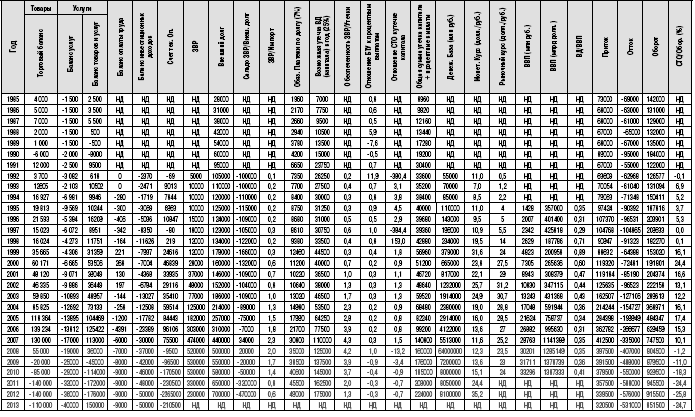
Таблица 3. Показатели платежного баланса и макроэкономической статистики РФ за 1985–2007 годы (млн долл.). Оптимистичный сценарий-2. Добавили ряд показателей и аналитические материалы на их основе. Полученные коэффициенты можно назвать опережающими индикаторами, которые позволяют трезво взглянуть на сложившуюся ситуацию. Пример. С одной стороны, ЗВР 400 млрд долл. – громадные средства, но если учитывать общий внешний долг, а также его обслуживание, объем импорта (услуг и товаров), то цифра уже не такая и значимая. В таблице много авторских коэффициентов, и чтобы в них не запутаться, необходимо смотреть динамику. Анализируя приведенные показатели, можно определить год, когда показатели счета текущих операций и ряда экономических показателей были наиболее благоприятными (2005–2006 годы).
Таблица 4. Показатели платежного баланса и макроэкономической статистики РФ за 1985–2007 годы (млн долл.). Умеренный сценарий. Отличие от предыдущего варианта заключается в снижении экспортной выручки и, соответственно, положительного торгового и платежного баланса. Следует иметь в виду, что рост импорта продолжится и его темп будет зависеть от курса национальной валюты. До момента снижения курса рубля к доллару объемы потребления импорта будут возрастать. Достаточно сложно указать емкость российского рынка импортной продукции (при платежеспособном спросе), думаю, общее значение может достигать 400 млрд долл. Снижение импорта произойдет лишь при сокращении платежеспособного спроса (вероятнее всего снижение курса национальной валюты). Зависимость потребления импорта от курса национальной валюты приведена в табл. 5.
Таблица 5. Показатели платежного баланса и макроэкономической статистики РФ за 1985–2007 годы (млн долл.). Негативный сценарий. Вхождение в отрицательную зону сальдо торгового баланса – 2009 год, платежного баланса – 2008 год. В данном варианте прогноза происходит снижение стоимости экспорта.
Таблица 1
ПОКАЗАТЕЛИ ПЛАТЕЖНОГО БАЛАНСА И МАКРОЭКОНОМИЧЕСКОЙ СТАТИСТИКИ РФ 1985–2007 ГГ. (МЛН ДОЛЛ.)

Таблица 2
ПОКАЗАТЕЛИ ПЛАТЕЖНОГО БАЛАНСА И МАКРОЭКОНОМИЧЕСКОЙ СТАТИСТИКИ РФ 1985–2013 ГГ. (МЛН ДОЛЛ.)
ОПТИМИСТИЧНЫЙ СЦЕНАРИЙ-1

Таблица 3
ПОКАЗАТЕЛИ ПЛАТЕЖНОГО БАЛАНСА И МАКРОЭКОНОМИЧЕСКОЙ СТАТИСТИКИ РФ 1985–2013 ГГ. (МЛН ДОЛЛ.)
ОПТИМИСТИЧНЫЙ СЦЕНАРИЙ-2

Таблица 4
ПОКАЗАТЕЛИ ПЛАТЕЖНОГО БАЛАНСА И МАКРОЭКОНОМИЧЕСКОЙ СТАТИСТИКИ РФ 1985–2013 ГГ. (МЛН ДОЛЛ.)
УМЕРЕННЫЙ СЦЕНАРИЙ

Таблица 5
ПОКАЗАТЕЛИ ПЛАТЕЖНОГО БАЛАНСА И МАКРОЭКОНОМИЧЕСКОЙ СТАТИСТИКИ РФ 1985–2013 ГГ. (МЛН ДОЛЛ.)
НЕГАТИВНЫЙ СЦЕНАРИЙ

Очень важный момент в наших рассуждениях – величина ЗВР. Как уже говорилось, многое зависит от политики ЦБ РФ в области курса национальной валюты. Отчетливо видно, что в период до 2010 года необходимость в снижении ЗВР полностью отсутствует. В худшем варианте она появляется в 2010 году. С учетом Стабилизационного фонда данная потребность может перешагнуть в 2011 год. Нельзя исключать, что могут возникнуть обстоятельства, которые спровоцируют резкий отток капитала, с одной стороны, и изменение валютной политики ЦБ РФ (в качестве профилактики), с другой стороны. Таким образом, можно получить момент плавного разворота курса национальной валюты. Первым существенным сигналом будет ситуация отказа ЦБ РФ от практики дальнейшего укрепления рубля. Если в данный период будет наблюдаться ухудшение счета текущих операций, то это и будет моментом изменения общей динамики курса рубля. С учетом приведенных расчетов можно с большой уверенностью сказать, что позиция ЦБ РФ будет предварительно сформирована к окончанию 2008 года – середине 2009 года. С вероятностью до 70 % о дальнейшем стратегическом поведении Центрального банка можно будет говорить не ранее окончания 2009 года.
Данные рассуждения основываются на рациональном поведении Центрального банка. Убежден, что максимальный курс укрепления рубля к доллару в предыдущие годы не должен был превышать 2–3% в год. Излишнее укрепление рубля стимулирует импорт и создает иллюзию благополучия в стране за счет более быстрого темпа роста доходов населения, номинированных в долларах. Было бы разумнее (частное мнение) в течение предыдущих лет увеличивать стоимость услуг естественных монополий более низкими темпами и одновременно учиться управлять избыточной денежной массой. Текущая позиция ЦБ РФ загоняет российскую экономику в зону повышенного риска и ситуацию, при которой может произойти и/или резкое снижение ЗВР с одновременным снижением национальной валюты и непрогнозируемыми последствиями в области долгосрочного развития экономики. Было бы разумно начиная с 2008 года, вне зависимости от курса доллара на мировом рынке, закончить практику с укреплением рубля. В худшем случае рост стоимости рубля к доллару не должен превышать 1,5 %.
Общий вывод. Проведенный анализ четко указывает на формирование негативных факторов, влияющих на валютный курс рубля. Вне зависимости от стоимости сырья на мировых биржах наступит момент, при котором общий баланс по притоку валюты в страну будет отрицательным, что приведет к снижению валютных накоплений. Парадокс заключается в том, что чем дольше будет благоприятная рыночная конъюнктура цен на основные позиции российского экспорта, тем с более сложными проблемами экономика столкнется в дальнейшем. Одно дело – решать проблему с отрицательным счетом текущих операций в 10 млрд долл, и внешним долгом в 150 млрд долл., другое – когда внешний долг составляет 0,5 трлн долл, при отрицательном сальдо счета текущих операций, превышающем 100 млрд долл. А если учитывать, что стоимость значительного количества товаров и услуг в России близка к мировым ценам, то любое снижение курса национальной валюты будет означать снижение уровня жизни.
Периодом резкого возрастания валютных рисков можно считать тот, при котором счет текущих операций войдет в отрицательную зону. Как уже было сказано, в дальнейшем ситуация будет полностью зависеть от политики ЦБ РФ. В любом случае об укреплении рубля можно будет забыть на достаточно долгий период. Все будет зависеть от поведения портфельных инвесторов. Если они примут решение о выводе части средств из российской экономики, то существенного падения стоимости рубля не избежать. Я также не исключаю, что государству придется принимать непопулярные меры, направленные на ограничение движения капитала, особенно из страны. Повторюсь еще раз. Сложившаяся ситуация является следствием не до конца продуманной политики в области управления платежным балансом страны как составной части общей экономической политики. Краткосрочные интересы поставлены выше среднесрочных приоритетов.
Общая рекомендация инвесторам: необходим постоянный мониторинг платежного баланса страны, особенно счета текущих операций. Следует очень осторожно относиться к притоку внешних инвестиций, которые нужно рассматривать строго с учетом накопленного внешнего долга и ЗВР. Постоянное бравирование чиновников общей величиной иностранного капитала – это либо проявление полного непонимания элементарных рыночных взаимосвязей и общих тенденций, либо очковтирательство. Для инвесторов, склонных к более глубокому анализу, рекомендую применять таблицы, где указаны средние цены на экспортную и импортную продукцию (табл. 7, 8), подставляя которые можно получить общие экспортные доходы и расходы по импорту, или ждать опубликования оценки платежного баланса.
Таблица 6
ВНЕШНЯЯ ТОРГОВЛЯ РОССИЙСКОЙ ФЕДЕРАЦИИ (ПО МЕТОДОЛОГИИ ПЛАТЕЖНОГО БАЛАНСА)

Таблица 7
СРЕДНИЕ ЭКСПОРТНЫЕ ЦЕНЫ НА ОСНОВНЫЕ ТОВАРЫ
(долларов США за тонну)

Таблица 8
СРЕДНИЕ ИМПОРТНЫЕ ЦЕНЫ НА ОСНОВНЫЕ ТОВАРЫ
(долларов США за тонну)

Следует помнить, что в настоящий момент величины экспорта и импорта являются аномально высокими. Объем экспорта превысил 110 млрд долл, лишь в 2003 году. До этого средняя величина экспорта товаров не превышала (с 1985 года) 80 млрд долл. (табл. 6). С учетом многих нюансов нельзя исключать, что в дальнейшем объем экспорта товаров может составлять не более 100–150 млрд долл.
Р. S. Анализируя структуру закупок импорта (табл. 9), можно заметить много любопытных вещей. Например, общая величина расходов по статье «машины, оборудование и транспортные средства» в 2006 году составляла 65,6 млрд долл. В 2007 году вероятнее всего общая сумма расходов по данной статье превысит 80 млрд долл. Занимательная цифра наблюдается по статье «Импорт услуг и инвестиционные доходы из России». По последней позиции за десять последних лет рост увеличился более чем в пять раз.








