Против часовой стрелки

- -
- 100%
- +
На вопрос "Сколько в среднем живут люди?" сложно дать однозначный ответ. И дело не только в том, что в разных странах, частях света и цивилизациях цифры различаются, но и в том, что именно мы пытаемся измерить. Вычислить среднюю продолжительность жизни (lifespan) для группы людей одного года рождения мы сможем только после того, как они все умрут, взяв среднее арифметическое по их возрастам смерти. Поэтому большинство доступных нам данных о средней продолжительности жизни – по меньшей мере столетней давности, и едва ли они помогут предсказать судьбы ныне живущих поколений.
Чаще для расчетов используют ожидаемую продолжительность жизни (life expectancy), то есть предсказание о том, сколько вероятнее всего проживет человек, родившийся в том или ином году. Для ушедших веков эта цифра не будет отличаться от средней продолжительности жизни. Зато если мы возьмем уже известные нам данные по ожидаемой продолжительности жизни в прошлом, построим на их основе кривую и продлим ее до наших дней, то сможем спрогнозировать, сколько смогут прожить наши сверстники. Чтобы сделать предсказание точнее, его обычно корректируют с учетом пола, страны и других известных демографических факторов. Так, например, в 2016 году, по данным ВОЗ[26], средняя ожидаемая продолжительность жизни в мире была 72 года.
Однако не стоит воспринимать эти оценки буквально: если вы родились в 2016 году, это не означает, что вы обязательно умрете в 72 года. Эта цифра – часть статистических расчетов, этакая средняя температура по больнице. Можно представить себе популяцию, в которой, например, богачи живут по 90 лет, а бедняки всего 54; для нее ожидаемая продолжительность жизни тоже составит 72 года, хотя ни одного человека, который реально умер бы в 72, в ней не найдется. Эта цифра – просто удобная опорная точка, от которой можно оттолкнуться, чтобы говорить о том, за какое время люди стали жить дольше и на сколько лет. Точно так же и кривая смертности не выносит никому приговоров. Закон Гомперца не утверждает, что 90-летний человек обязательно вскоре умрет. Он может прожить еще десяток лет, формула лишь предсказывает вероятность этого события.
Более того, ожидаемая продолжительность жизни каждого из нас меняется со временем. Когда мы только появляемся на свет, она обычно невысока – это связано с высокой смертностью новорожденных. Вспомним "провал детства" на кривой Гомперца: сразу после рождения риск умереть значительно выше, чем в позднем детстве. Поэтому более информативной можно считать ожидаемую продолжительность жизни в возрасте 5 лет, то есть после того, как первая опасность миновала. Сейчас эта цифра около 82 лет[27] – на 10 лет больше, чем в момент рождения!
Есть и другие факторы, которые могут повлиять на ожидаемую продолжительность жизни. Например, пол. Во всем мире[28] женщины живут в среднем на 6–8 лет[29] дольше мужчин (за исключением некоторых африканских стран, где они чаще страдают от СПИДа). Мы еще будем говорить о том, с чем это может быть связано, в главе, посвященной гормонам. Еще один важный фактор – регион, то есть благополучие страны и уровень развития медицины. В Африке ожидаемая продолжительность жизни едва превышает 60 лет, в то время как в Европе уже подбирается к 80.
Наконец, свою роль здесь играют и деньги. Еще в 1975 году американский демограф Сэмюель Престон обнаружил связь[30] между продолжительностью жизни в стране и подушевым доходом ее граждан. Интересно, что зависимость, которую он выявил, далека от линейной. В начале кривой, где расположены бедные страны, даже небольшая прибавка в деньгах позволяет существенно продлить жизнь, потому что ее жители перестают голодать и могут позволить себе соблюдать элементарную гигиену. Но по мере приближения к богатым странам кривая выходит на плато: их граждане уже взяли все, что могли, от современной медицины, и лишний доллар не поможет им прожить дольше – приходится ждать нового технологического прорыва, который стоит гораздо дороже.
Впрочем, кривая Престона – лишь модель, которая не всегда соответствует действительности. Недавние подсчеты[31] показали, например, что Россия в эту модель не вписывается, по крайней мере не целиком. Продолжительность жизни в среднем по стране хоть и растет вместе с доходом граждан, но сильно отстает от предсказанных значений. Иными словами, при таких деньгах россияне должны были бы жить дольше, но почему-то не живут. Если же взять данные по одной лишь Москве, то они и вовсе не укладываются ни в какую закономерность. С 2005 по 2010 год у москвичей существенно вырос доход, а продолжительность жизни почти не изменилась. Зато с 2010 по 2015 год они стали жить гораздо дольше, хотя денег больше не стало. Едва ли, впрочем, перед нами загадочный феномен. Вероятнее всего, – как и предположили авторы этой работы, – дело в неэффективном расходовании денег, которое Престон в своей модели явно не учитывал.

Вверх и только вверх
Ожидаемая продолжительность жизни начала всерьез расти относительно недавно. На заре становления человечества, в палеолите, наши предки, населявшие территорию современной Турции, могли рассчитывать[32] в среднем на 33 года жизни. При этом можно предположить – по крайней мере, так обстоят дела[33] у современных охотников-собирателей, – что те из них, кто доживали до 15 лет, умирали в среднем в 54 года. Это совсем немало, однако стоит учесть, что дожить до 15-летия уже было непростой задачей. В племени охотников-собирателей хадза, которое сейчас живет в Танзании, смертность до 15 лет составляет 46 %[34], но пережившие тяжелое детство умирают примерно в 70 лет[35], а некоторые живут и до 80.
В течение многих веков средняя продолжительность жизни очень долго оставалась практически неизменной. В Англии XIII–XVIII веков эта цифра колебалась[36] между 30 и 40 годами. Однако, судя по кладбищам аристократов, представители благородных кровей могли жить и 60, и 70 лет, и даже дольше – при условии, что не умирали до 21 года. И только начиная со второй половины XIX века прогнозы стали более благоприятными: за счет снижения уровня детской смертности. В 1845 году новорожденному англичанину предсказывали[37] в среднем[38] 40 лет жизни, а 70-летнему – дожить до 79. 39 лет разницы! Сейчас же эти цифры выросли до 81 года для новорожденных и 86 лет для 70-летних, различие уже всего в 5 лет. Иными словами, нам уже удалось продлить время здорового долголетия, не изменяя существенно максимальную продолжительность жизни. И именно за счет этого выросла средняя ожидаемая продолжительность жизни по всему миру.
Во второй половине XX века ситуация изменилась. Сейчас мы уже не так много можем изобрести для спасения еще большего числа новорожденных, и медицина переориентировалась на борьбу с возрастными заболеваниями. Следующей задачей стало[39] увеличить ожидаемую продолжительность жизни для 65-летних. Если в 1950 году им обещали в среднем 13 дополнительных лет, то сейчас прогноз улучшился до 22. Мы больше не стремимся сдвинуть точку, в которой наша кривая выживаемости начинает снижаться, но пытаемся сгладить и замедлить падение, то есть замедлить старение.
Какова дальнейшая судьба продления человеческой жизни – пока неизвестно. Как всегда в таких случаях, находятся скептики[40], которые утверждают, что мы уже практически достигли пика и дальше лучше не будет. Их подсчеты показывают, что рост продолжительности жизни в последние годы замедлился, а процент столетних людей в популяции не увеличивается. Еще они отмечают, что рекорд по продолжительности жизни – 122 года, – который в 1997 году поставила француженка Жанна Кальман, до сих пор никому побить не удалось. Поэтому едва ли мы научимся жить дольше 115 лет, заключают они.
Но на каждого скептика находятся оптимисты. Во-первых, возражают они, о предельной продолжительности жизни ученые говорили еще в 30-е годы прошлого века – и оказались неправы. Во-вторых, поскольку долгожителей у нас немного, то результат расчетов, как и в случае с плато старения, очень сильно зависит от выборки и метода обработки данных. Можно построить другую модель[41], она будет выглядеть более обнадеживающе.
Наконец, пример Жанны Кальман едва ли может служить аргументом. Несмотря на то что ее результат считается самым высоким из официально подтвержденных и множество исследователей занимались проверкой ее документов, существуют и другие потенциальные объяснения[42] феномену ее долгожительства. Например, некоторые исследователи полагают, что документы Кальман подделаны, а женщина, которая умерла в 1997 году, – не сама Жанна, а ее дочь. Подобная история уже произошла с предыдущей рекордсменкой Кэрри Уайт, чей результат в 116 лет оказался следствием опечатки[43]. Но для прогнозов на будущее абсолютно неважно, действительно ли Жанна Кальман дожила до 122-х, потому что аккуратную модель нельзя построить на одной-единственной точке. Чтобы обоснованно говорить о том, что продолжительность жизни людей больше не растет, нужна полноценная выборка долгожителей.

От того, существует ли физический предел человеческой жизни или нет, зависит форма графика выживаемости, к которой мы будем стремиться в будущем. Если по каким-то до сих пор неизвестным нам причинам живая система по имени человек неизбежно должна распасться через определенное время, то лучшее, что мы сможем сделать, – максимально отложить старение, чтобы в отведенных нам пределах жизнь превратилась в продолжительную молодость с резким спадом в конце. Если же этого предела не существует, то мы продолжим постепенно то откладывать, то замедлять старение, пытаясь максимально сгладить нашу кривую выживаемости и приблизить ее к горизонтальной прямой, которой соответствует полная отмена старения.

3. Фантастические твари: Можем ли мы так же
"Приличные люди не станут доверять тексту о старении, если главным аргументом в нем служит голый землекоп, – предупредил меня человек, близкий к научным кругам, когда идея этой книги только появилась. – Несерьезно это".
Тем не менее такие статьи есть и продолжают появляться. Авторы текстов, редакторы сайтов или блогов, посвященных проблеме старения, нет-нет да упоминают этого грызуна как пример для подражания: живет долго, не стареет, не болеет, вот бы и нам так! Может возникнуть обманчивое впечатление, что голый землекоп давно решил проблему бессмертия: ученым осталось лишь разобраться, как именно ему это удалось, и перенести его успех на людей. И от этого впечатления один шаг до того, чтобы поверить какому-нибудь продавцу биодобавок, который расскажет, что его снадобье уподобит нас голым землекопам – по крайней мере, в том, что касается долгой жизни.
Но все, конечно же, не совсем так. Во-первых, мы до сих пор не знаем, бессмертен голый землекоп или нет. Во-вторых, даже если это и так, никто всерьез не рассчитывает воспользоваться его приспособлениями, обеспечивающими долгую жизнь. В-третьих, геронтологи интересуются этим малосимпатичным африканским грызуном, как и многими другими животными, совсем по другой причине. Их интересует даже не то, как долго те могут прожить, а является ли старение неотъемлемым свойством жизни. Ведь если окажется, что стареют все, от дрожжей до обезьян, то разговоры о возможном бессмертии человека можно будет сразу прекратить.
Зато если удастся обнаружить хотя бы один организм, на который время не действует, это будет означать, что старение – необязательное свойство живой системы, и можно будет искать обходные пути. Именно поэтому объектами исследования становятся самые разные существа: не только человек и другие млекопитающие, но и одноклеточные, медузы, черви, мухи – те, с кем у нас совсем мало общего. В этой главе мы поговорим о том, какие формы принимает кривая выживаемости у разных организмов, какими общими свойствами обладают известные нам животные-долгожители и какое место среди них занимает человек. И не забудем, конечно, о голом землекопе.
Кто впереди
Самый простой способ найти того, кто уже решил проблему старения, – посмотреть на максимальную продолжительность жизни разных животных. Но если мы изучим список рекордсменов, то никакого голого землекопа там не обнаружим. Более того, большинство организмов из этого списка окажутся совсем не похожими на нас. Лидерство здесь удерживают губки[44] во главе[45] с Monorhaphis chuni – считается, что они доживают до 11 000 лет (то есть современные губки вполне могли застать самые древние города Шумера). На втором месте – кораллы[46] Leiopathes sp. и Gerardia sp.: 4265 лет и 2742 года соответственно. За ними с большим отрывом следует[47] двустворчатый моллюск Arctica islandica – 507 лет. Четвертое место занимает гренландская акула, которая совсем недавно взошла[48] на этот пьедестал – около 400 лет. Ниже по списку расположились другие моллюски (например, двустворка Margaritifera margaritifera[49]), морской еж Strongylocentrotus franciscanus[50] и некоторые рыбы (самая известная из них – алеутский окунь Sebastes aleutianus[51]) – все они живут максимум 200–250 лет.

Губок с их исключительным долголетием я предлагаю сразу отставить в сторону. Потому что губки – не вполне настоящие животные в некотором смысле. Губка – это ажурная конструкция из переплетающихся известковых, кремниевых или органических тоннелей. По стенкам сидят жгутиковые клетки, которые прогоняют воду сквозь коридоры и захватывают из нее пищу. Между коридорами находится скелет (по которому можно определить возраст губки) и ползающие клетки, которые переносят вещества между частями тела губки, а также размножаются и заделывают дыры в коридорах. Время от времени жгутиковые клетки тоже могут покидать свое место в строю и превращаться в ползающие. В такой момент оказывается, что настоящей специализации и разделения по профессиям у клеток губки нет; она вся состоит из самодостаточных элементов, которые способны размножаться независимо друг от друга. Поэтому в некоторых работах по геронтологии их называют скорее колонией одноклеточных организмов[52], а не отдельным животным (хотя зоологи с этим утверждением наверняка не согласятся).
Но, даже если не брать в рассмотрение губок, нам до чемпионов-долгожителей все равно далеко. В числе лидеров совсем немного позвоночных и вообще нет млекопитающих. Самый долгоживущий представитель нашего класса – гренландский кит Balaena mysticetus – смог продержаться[53] лишь 211 лет, остальные и того меньше. Кроме него, дольше человека из млекопитающих не живет никто (по крайней мере, пока такие случаи неизвестны). Поэтому стоит признать, что среди своих ближайших родственников мы добились почти максимального успеха.
Тем не менее абсолютная продолжительность жизни – не самый надежный источник сведений о том, как стареют организмы. Во-первых, этот список долгожителей заведомо не полон: мы не знаем, сколько еще животных ускользнули от нашего внимания. И не во всех случаях мы можем достоверно определить возраст особи: одно дело – какой-нибудь слон в зоопарке, выросший на глазах у людей, или хотя бы скелет мамонта, а другое – червь без костей и раковины, выловленный в глубине океана. Возможно, именно поэтому кораллы так сильно вырвались вперед – их возраст удобно определять по минеральному скелету, а какой-нибудь червь-долгожитель, может, где-то и существует, но пока остается незамеченным.
Во-вторых, этот список никогда не укажет нам на реальный потолок продолжительности жизни: всегда сохраняется шанс, что какая-нибудь особь проживет дольше своих предков и обновит рекорд.
В-третьих, продолжительность жизни мало что говорит нам о ее качестве. Вдруг эти животные остаются здоровыми и активными только первые 15 лет, а затем быстро старятся и долгие века влачат жалкое существование, как Тифон из греческого мифа? Было бы гораздо полезнее посмотреть не на рекорды, а на то, как выглядит у этих животных кривая смертности – по ней можно сказать наверняка, стареет организм или нет.
Линии смерти
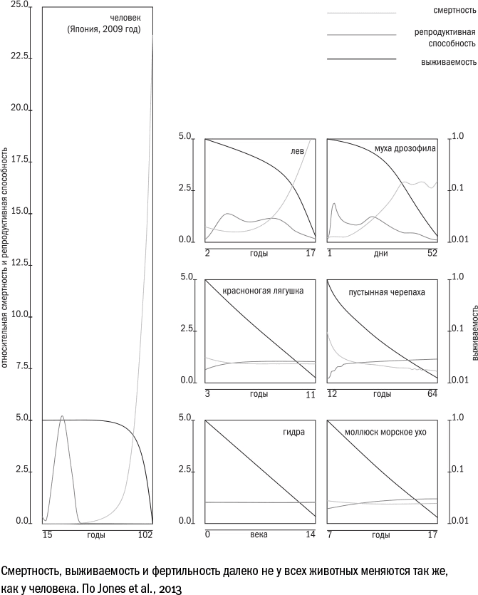
Как только мы переводим взгляд с абсолютных значений продолжительности жизни на динамику старения, картина существенно меняется. Давайте посмотрим на рисунок из статьи (Jones et al., 2013)[54], авторы которой собрали данные о рождаемости и смертности у разных живых организмов. Для каждого из животных они построили график с тремя кривыми. Все они начинаются с момента полового созревания (детство авторы не учитывали) и заканчиваются в том возрасте, когда в живых остается лишь 5 % взрослых особей. Первая кривая отражает относительную смертность (то есть аналогична кривой Гомперца для человека), вторая – относительную плодовитость: за единицу принята средняя плодовитость / смертность в популяции, остальные значения вычислены по отношению к ней. Наконец, третья кривая соответствует выживаемости – проценту животных в популяции, которые достигают того или иного возраста.

У большинства млекопитающих графики в целом похожи на человеческие. У кого-то дольше сохраняется плодовитость, как у льва, у кого-то медленнее растет смертность – например, у шимпанзе, – но общая форма кривых различается незначительно. Однако, как только мы обращаемся к другим позвоночным, а затем и к беспозвоночным, графики становятся гораздо разнообразнее.
Различия хорошо видны, если посмотреть на кривую выживаемости. Как и у всех стареющих организмов, у человека она сильно изогнута по сравнению с прямой: в начале жизни смертность растет довольно медленно (кривая пологая), а потом резко увеличивается, и кривая выживаемости падает вниз в соответствии с законом Гомперца.
Но если мы посмотрим на график, построенный для льва, то увидим, что там кривая выживаемости сглажена: разница в смертности между молодыми и старыми особями меньше. А вот у некоторых беспозвоночных – например, у гидры или моллюска морское ушко – линия и вовсе прямая. Переведем с математического языка на биологический: у этих животных шансы выжить или умереть не зависят от возраста. Следовательно, для них критерий Гомперца не работает и старения в статистическом смысле у них нет.
Пример с гидрой отлично иллюстрирует парадокс поиска долгожителей: в ее организме нет минерального скелета, по которому мы могли бы датировать возраст. А значит, и в список чемпионов по долголетию ей попасть не суждено. Тем не менее эксперименты с некоторыми видами гидр свидетельствуют если не о бессмертии, то о достаточно долгой жизни. Первый такой эксперимент c Hydra vulgaris поставил[55] испанец Мартинес в 1998 году: ученый держал животных в аквариуме в течение нескольких лет, меняя им воду и еду, и отсаживал молодых особей, чтобы те не конкурировали с более взрослыми. Но никаких признаков старения он не обнаружил: гидры все так же размножались и не спешили умирать. Возможно, дело в том, что срока наблюдения не хватило, чтобы заметить изменения. Но если говорить о возможном бессмертии, то любой срок окажется мал. Нам остается лишь судить по косвенным данным: например, исследователи из Германии построили[56] кривые выживаемости для Hydra magnipapillata, и по ним можно подсчитать[57], что такими темпами около 5 % популяции гидр может дожить до 1400 лет. Поэтому гидра вполне могла бы занять третье место на пьедестале долгожителей, будь у нас хоть какие-то материальные подтверждения этих оценок.
Правда, говорить о том, что животные вроде гидры или моллюска морское ушко не стареют вообще, никто пока не решается – это означало бы, что старение необязательно для живой системы. А делать такое утверждение довольно рискованно: после этого придется искать доказательства, что эти животные потенциально бессмертны, и убеждать в этом сторонников неизбежности старения (которых, кажется, все-таки большинство).
Конец ознакомительного фрагмента.
Текст предоставлен ООО «ЛитРес».
Прочитайте эту книгу целиком, купив полную легальную версию на ЛитРес.
Безопасно оплатить книгу можно банковской картой Visa, MasterCard, Maestro, со счета мобильного телефона, с платежного терминала, в салоне МТС или Связной, через PayPal, WebMoney, Яндекс.Деньги, QIWI Кошелек, бонусными картами или другим удобным Вам способом.
Сноски
1
Medvedev Z. A. An attempt at a rational classification of theories of ageing // Biological Reviews. 1990 Aug 65 (3): 375–398.
2
Oldest person to give birth // www.guinnessworldrecords.com/world-records/oldest-person-to-give-birth.
3
Searle S. D., Mitniski A., Gahbauer E. A., Gill T. M., Rockwood K. A standard procedure for creating a frailty index // BMC Geriatrics. 2008 Sep; 8.
4
Bae T. et al. Different mutational rates and mechanisms in human cells at pregastrulation and neurogenesis // Science. 2018 Feb; 359 (6375): 550–555.
5
Lodato M. A. et al. Aging and neurodegeneration are associated with increased mutations in single human neurons // Science. 2018 Feb; 359 (6375): 555–559.
6
Blokzijl F. et al. Tissue-specific mutation accumulation in human adult stem cells during life // Nature. 2016 Oct; 538: 260–264.
7
Федеральная служба государственной статистики. Статистический бюллетень 2007 года.
8
Международная классификация болезней 10-го пересмотра (МКБ-10). Mkb-10.com
9
Bulterijs S., Hull R., Björk V., Roy A. It is time to classify biological aging as a disease // Frontiers in genetics. 2015 Jun.
10
Gompertz B. On the nature of the function expressive of the law of human mortality, and on a new mode of determining the value of life contingencies // Philosophical transactions of the Royal Society. 1825: 513–528.
11
Makeham W. M. On the law of mortality // Journal of the Institue of Actuaries. 1867 Jul; 13 (6): 325–358.
12
Golubev A. How could the Gompertz-Makeham law evolve // Joournal of Theoretical Biology. 2009 May; 258 (1):1–17.
13
Dickinson M. E. et al. High-throughput discovery of novel developmental phenotypes // Nature. 2016 Sep; 537: 508–514.
14
Kinzina E. D., Podolskiy D. I., Dmitriev S. E., Gladyshev V. N. Patterns of aging biomarkers, mortality, and damaging mutations illuminate the beginning of aging and causes of early-life mortality // Cell Reports. 2019 Dec; 29 (13): 4276–4284.
15
Olshansky S. J. On the biodemography of aging: a review essay // Population and development review. 1998 Jun; 24 (2): 381–393.
16
Barbi E., Lagona F., Marsili M., Vaupel J. W., Wachter K. W. The plateau of human mortality: Demography of longevity pioneers // Science. 2018 Jun; 360 (6396): 1459–1461.
17
Gavrilov L. A., Gavrilova N. S. Mortality measurement at advanced ages // North American Actuarial Journal. 2012 Dec; 15 (3): 432–447.
18
Newman S. J. Errors as a primary cause of late-life mortality deceleration and plateaus // PLOS Biology. 2018 Dec 16 (12): e2006776.
19
Gavrilov L. A., Gavrilova N. S. New trend in old-age mortality: gompertzialization of mortality trajectory // Gerontology. 2019; 65 (5): 451–457.
20
Yang Y., Santos A. L., Xu L. Lotton C., Taddei F., Lindner A. B. Temporal scaling of aging as an adaptive strategy of Escherichia coli // Science Advances. 2019 May; 5 (5): eaaw2069.
21
Голубев А. Г. Проблемы обсуждения вопроса о возможности подходов к построению общей теории старения. I. Обобщенный закон Гомпертца – Мэйкхема // Успехи геронтологии. 2009; 22 (1). С. 60–74.
22
Liu X. Life equations for the senescence process // Biochemistry and Biophyscis Reports. 2015 Dec; 4: 228–233.
23
Anisimov V. N. Carcinogenesis and aging // Advances in Cancer Research. 1983; 40: 365–424.
24
Gems D. The aging-disease false dichotomy: understanding senescence as pathology // Frontiers in Genetics. 2015 Jun.










