Курс «Трубопроводная арматура». Модуль «Пневмоприводы и приборы управления пневмоприводами»

- -
- 100%
- +

Графически соотношение представлено на рис. 10.

Рис. 12. Соотношение полного, динамического и статического давлений
Аналогичные явления происходят и в газах.
Эффект падения статического давления в струе широко используется в вакуумных преобразователях, например, для запитки вакуумных присосок.
Потери давления
Как мы уже установили, при движении жидкостей и газов возникают потери давления – Рпот.
Они являются следствием двух различных процессов – трения о стенки трубопроводов и завихрений потока.

Рис. 13. Схема определения потерь давления
Поскольку трубопровод неподвижен, то слой, непосредственно примыкающий к его стенке можно считать также неподвижным, следующий слой, расположенный ближе к центру,
перемещается относительно первого с некоторой скоростью, следующий движется с еще большей скоростью и так далее.
Максимальную относительно стенок скорость будет иметь центральный слой.
Если соединить концы векторов скорости плавной кривой, то мы получим годограф скорости (рис. 13), оказывающий распределение скоростей в потоке жидкости или газа.
Для ламинарного течения годограф представляет собой квадратичную параболу, параметры которой зависят от вязкости жидкостей. Если измерить давление по всей длине трубопровода,
то окажется, что давление движущейся жидкости или газа равномерно убывает, поэтому называются потерями по длине.
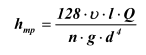
Экспериментальным путем французский ученый Ж. Пуазейль в 1840 году нашел закон, связывающий потери столба с расходом

где:
υ – кинематическая вязкость,
l – длина трубопровода,
d – диаметр трубопровода,
g – ускорение свободного падения,
Q – объемный расход.
То есть падение давления пропорционально расходу потока Q, (а также его скорости).
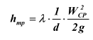
Это уравнение может быть представлено в несколько иной записи, которая называется уравнением Вейсбаха-Дарси:

где:
λ – коэффициент потерь на трение, равный

2. Особенности применения воздуха в пневмоприводной технике
Сегодня сжатый воздух используется в самых разных отраслях промышленности.
Диапазон применений сжатого воздуха простирается от общепромышленного воздуха без каких-либо специфических требований к качеству, до абсолютно сухого, не содержащего масла и стерильного сжатого воздуха для фармацевтической и пищевой промышленности.
Такой разброс требований означает, что очень важна специальная подготовка сжатого воздуха, в точности соответствующая требованиям конкретного применения.
Важность надежной очистки обусловлена тем, что загрязнения сжатого воздуха, оказывая физическое, химическое и электролитическое воздействие на пневматические устройства, снижают их долговечность в 3–7 раз, а в некоторых условиях эксплуатации до 20 раз.
Выход из строя пневматических систем по причине плохой подготовки воздуха составляет до 80 % от общего числа отказов.
Исходя из вышесказанного, следует, что одним из основных параметров, определяющих надежность работы практически любой пневмосистемы, является качество используемого в ней воздуха.
Загрязнения сжатого воздуха и их воздействие на пневматические устройства и системы
Компонентами загрязнений сжатого воздуха являются вода и компрессорное масло в жидком и парообразном состоянии, твердые и газообразные загрязнения. Наибольшую часть загрязнений систем обычно составляют вода и компрессорное масло.
К примеру, воздух при 250С, всасываемый компрессором, может содержать до 180 миллионов частиц пыли на 1 м3, приблизительно 23 г воды в форме пара и содержит от 0,01 до 0,03 мг/м3 масла
в виде несгоревших углеводородов. При сжатии, например, до 10 бар, концентрация загрязняющих примесей возрастает в 11 раз, т. е. в 1 м3 сжатого воздуха будет содержаться
порядка 2 миллиардов частиц пыли, 253 гр. воды в форме пара и 0,11–0,33 мг масла – это, не учитывая того масла, которое попало с систему после компрессора.
Весь этот «коктейль» попадая в систему, не снабженную должными устройствами отчистки воздуха, способен вывести из строя практически любое пневматическое устройство.
Для того чтобы правильно выбрать устройства отчистки, необходимо более детально разобраться с каждым загрязнителем в отдельности.
Вода
Источником содержащейся в сжатом воздухе воды является водяной пар, всасываемый компрессором в систему вместе с воздухом. Иногда вода поступает в линию нагнетания
из-за негерметичности промежуточных и концевых холодильников, а также из-за отсутствия заградительных козырьков на заборных устройствах всасывающей линии в дождливую погоду.
Влагосодержание воздуха зависит от температуры и относительной влажности паровоздушной смеси.
Для атмосферного воздуха эти параметры определяются климатическими условиями и временем года.
Сжатие поступившего в компрессор воздуха сопровождается повышением температуры на 100–1300С
(это происходит согласно закона Шарля).
В процессе сжатия содержание влаги в удельном объеме воздуха увеличивается пропорционально росту давления, но при этом вследствие повышения температуры его относительная влажность в значительной степени снижается. Так, при давлении в системе 0,7 МПа и относительной влажности всасываемого воздуха 80 % сжатый воздух на выходе из компрессора имеет относительную влажность 6–10 % т. к. температура сжатого воздуха значительно повысилась.
При движении по трубопроводам и другим элементам системы воздух охлаждается вследствие теплообмена с окружающей средой, происходит перенасыщение воздуха водяными парами и их конденсация.
Способность сжатого воздуха удерживать пары воды уменьшается с понижением температуры и с повышением давления. При этом его относительная влажность возрастает, а после достижения состояния насыщения (относительная влажность 100 %) происходит конденсация избыточного количества паров и появление воды в жидком состоянии (конденсата).
Температура, при которой это происходит, называется точкой росы tp.
При более высокой температуре (и том же давлении) конденсация водяных паров не происходит.
Поэтому точка росы сжатого воздуха часто указывается как мера содержания в нем водяных паров.
На рисунке 14 приведена зависимость влагосодержания насыщенного воздуха (относительная влажность 100 %) от давления и температуры. Эту зависимость можно использовать для воздуха,
насыщенного парами воды, от температуры и абсолютного давления для определения количества конденсата, выпадающего в системах при охлаждении сжатого воздуха.

Рис. 14. Зависимость влагосодержания воздуха от температуры
Масло
Источниками загрязнения сжатого воздуха маслом могут являться смазка компрессоров и пневматических устройств, масляные фильтры на линии всасывания компрессоров,
пары и распыленное масло в окружающем воздухе. В сжатом воздухе масло обычно находится в парообразном и жидком состояниях. Предельная концентрация паров масла в воздухе,
как и паров воды, уменьшается с понижением температуры и повышением давления.
Вынос в линию нагнетания смазки компрессоров обычно является основной причиной загрязнения сжатого воздуха маслом. Количество масла, поступающего в линию нагнетания, можно определить, исходя из норм расхода смазки в поршневых компрессорах различных типов по ГОСТ 18985–79.
В ротационных и винтовых маслозаполненных компрессорах вынос масла в линию нагнетания в 1,5–2 раза выше, чем в поршневых, и в среднем может быть принят:
– для компрессоров малой производительности 200–300 мг/м3;
– средней и большой производительности 50–100 мг/м3.
В центробежных и мембранных компрессорах вынос масла в линию нагнетания практически отсутствует.
Высокая температура в поршневом пространстве компрессоров и на начальном участке линии нагнетания (от 160 до 220 °С) приводит к парообразованию и, частично, термическому разложению масла.
В результате этих процессов до 5–6 % масла окисляется и в виде нагара и лакообразной пленки осаждается на внутренних полостях компрессоров и трубопроводов, а легкие фракции в виде паров и мелкодисперсной фазы уносятся воздухом в систему.
Твердые загрязнения
Концентрация, дисперсный состав и природа твердых загрязнений сжатого воздуха зависит от загрязненности воздушного бассейна в зоне всасывания компрессора, состояния, режимов эксплуатации и обслуживания трубопроводов и пневматических устройств.
Основное количество твердых загрязнений вносится при передаче сжатого воздуха по трубопроводам и соединениям.
Эти загрязнения на 95–98 % состоят из ржавчины и окалины.
При нарушении технологии изготовления и монтажа в трубопроводы попадают частицы уплотняющих материалов и промышленная пыль.
Усредненная концентрация ржавчины и окалины в межцеховых трубопроводах может составлять до 25 мг/м3 воздуха, в цеховых – до 12,5 мг/м3.
При хорошем состоянии трубопроводов концентрация ржавчины и окалины обычно не превышает 2–4 мг/м3, однако разовые концентрации загрязнений в момент начала
подачи воздуха, при сотрясениях и гидравлических ударах в трубопроводах могут быть значительно большими.
Металлические частицы появляются в системах в результате износа поршневых колец компрессоров и подвижных деталей устройств, а стружка, притирочные составы и абразивы – при неправильной подготовке внутренних полостей пневматических устройств.
Плотность твердых загрязнений воздуха составляет от 0,1 до 8 г/см3.
Газообразные загрязнения
Основную часть газообразных загрязнений, попадающих в системы вместе с атмосферным воздухом, составляют:
– дымовые газы от сжигания топлива;
– газы, образующиеся при химических процессах;
– пары кислот и щелочей; растворители и др.
Наиболее часто в сжатом воздухе содержится сернистый газ SO3, который при соединении с конденсатом образует серную кислоту и сернистый ангидрид, разрушающий наряду с другими растворами кислот, щелочей и озоном поверхности устройств и уплотнений.
Воздействие загрязнений
Анализ данных эксплуатации свидетельствуют о том, что загрязнения сжатого воздуха значительно снижают надежность и долговечность пневматических систем, приводят к нарушению технологических процессов.
Воздействие загрязнений на пневматические системы и устройства можно разделить на:
– физическое,
– химическое
– электролитическое.
Физическое воздействие загрязнений заключается:
– в закупорке отверстий и сопел влагой, льдом и твердыми частицами,
– в смывании смазки,
– в повреждении рабочих поверхностей клапанных пар, мембран, золотников, в износе и заклинивании трущихся деталей и т. п.
Химическое воздействие загрязнений проявляется в:
– коррозии металлических деталей,
– разрушении покрытий и резиновых деталей, растворами кислот, щелочей и других химически активных компонентов.
Электролитическому воздействию загрязнений подвержены устройства с контактирующими деталями из разных материалов или покрытий. В этом случае кислотные и щелочные растворы являются электролитом, а детали – электродами; в результате происходит разрушение их поверхностей, даже если они выполнены из легированных сталей, латуни или бронзы.
Выбор степени очистки сжатого воздуха
Для повышения долговечности и надежности пневматических систем управления было бы идеальным полное удаление загрязнений сжатого воздуха. Однако присутствие определенного количества загрязнений в ряде устройств практически не сказывается на их работоспособности.
Поэтому полная очистка сжатого воздуха, связанная со значительными затратами, в большинстве случаев экономически нецелесообразна.
Требования к очистке воздуха зависят от конструктивного исполнения и материала элементов систем управления и механизмов, размеров и точности, величины зазоров и отверстий,
от требований к надежности и долговечности, от эксплуатационных условий и характера воздействия загрязнений.
Установлено, что интенсивность износа устройств тем выше, чем выше твердость частиц, а увеличение твердости и пористости трущихся поверхностей повышают износостойкость.
Определение необходимой тонкости очистки сжатого воздуха
Абразивный износ и заклинивание могут быть значительно снижены, если размер твердых частиц, поступающих в устройства с воздухом, не превышает 3/4 величины наименьшего зазора трущихся пар.
Примерные величины зазоров подвижных деталей различных устройств даны в табл.2.
Табл. 2. Примерные величины зазоров подвижных деталей различных устройств

Определение требуемой степени осушки сжатого воздуха на основных участках промышленных систем
Требуемая степень осушки сжатого воздуха зависит от чувствительности конкретных устройств к содержанию влаги. К группе устройств, для которых не требуется строгая регламентация
содержания влаги в жидком состоянии, относятся коммуникации систем, емкости, оборудование силовых приводов мембранного типа и сильфонные устройства, имеющие надежное антикоррозийное покрытие, в которых трущиеся поверхности непосредственно со сжатым воздухом не соприкасаются.
Содержание жидкой влаги в сжатом воздухе рекомендуется ограничивать для пневмооборудования систем автоматизации производственных процессов (цилиндров, моторов и аппаратуры).
Не допускается содержание жидкой влаги в сжатом воздухе, используемом для питания пневматических систем управления с повышенными требованиями к надежности для станков, прессов, автоматических линий и других устройств; пневматических приборов и средств автоматизации, на которые распространяются требования ГОСТ 11882–73; систем, работающих
при минусовых температурах окружающей среды. Для этой группы устройств воздух должен быть подготовлен согласно нечетных классов по ГОСТ 17433–80.
Способы очистки сжатого воздуха
В промышленности для очистки сжатого воздуха нашли применение силовые поля, фильтрация и осушка. В схемах и устройствах очистки часто последовательно используют несколько способов очистки.
Область применения этих способов и их эффективность для промышленной очистки воздуха определяются характеристиками очистных устройств, реализованных на указанных способах. Поэтому перед рассмотрением основных способов очистки воздуха приведем основные понятия
о важнейших параметрах очистных устройств.
Из-за сложности определения действительного значения дисперсного состава загрязнений в сжатом воздухе и фракционного коэффициента очистки возникает необходимость выражать эффективность очистки косвенными параметрами:
– для устройств очистки с применением силовых полей – минимальным диаметром задерживаемых частиц;
– для устройств очистки фильтрующего типа – номинальной и абсолютной тонкостями фильтрации.
Для устройств осушки эффективность очистки определяется точкой росы сжатого воздуха на выходе.
Способы очистки имеют много разновидностей, эффективность которых может изменяться в указанных пределах в зависимости от конструктивных параметров, концентрации,
дисперсности и вида загрязнений.
Очистка воздуха путем фильтрации
Процесс очистки сжатого воздуха от загрязнений вследствие их взаимодействия с элементами пористой перегородки называется фильтрацией.
Фильтрующие материалы (пористые перегородки) условно разделяют на два вида:
– поверхностные (частицы удерживаются поверхностью фильтрующего материала)
– объемные (частицы удерживаются не только на поверхности, но и в толще фильтрующего материала).
К поверхностным фильтрующим материалам относятся сетки, бумага, ткани; к объемным – картон, металлокерамика, керамика, войлок и т. д., а также пакеты, состоящие из нескольких слоев поверхностных фильтрующих материалов.
Металлокерамические фильтры с порами размером 0,5–3 мкм, как и другие фильтрующие материалы с аналогичной пористостью, можно при достаточно низких скоростях фильтрации применять для очистки от мелких капель масла (тумана) и воды.
Важным преимуществом металлокерамических фильтроэлементов по сравнению с бумажными, волокнистыми и тканевыми является возможность восстановления пропускной способности
путем очистки от загрязнений обратным потоком воздуха или химического растворителя, либо прокаливанием фильтроэлемента в потоке горячего газа.
Металлические проволочные сетки применяют в основном для очистки всасываемого компрессором атмосферного воздуха, а также для предварительной очистки сжатого воздуха от твердых частиц размером более 80 мкм.
Волокнистые фильтрующие материалы в основном применяют для очистки атмосферного воздуха (на всасывающих линиях компрессоров).
Бумажные фильтрующие элементы объемного типа используются в фильтрах-влагоотделителях контактного типа для очистки сжатого воздуха от воды и масла в жидком состоянии и от твердых загрязнений.
Инерционный способ очистки
Очистка сжатого воздуха с использованием инерционных сил проводится в центробежных, аэродинамических устройствах и с ударом воздуха в перегородку.
Наибольшее применение получили центробежные очистители, в которых загрязнения выходят из потока, совершающего круговое (спиральное) движение, под действием центробежных сил.
Благодаря характеру движения потока воздуха большая группа устройств этого типа получила название циклонных очистителей. Циклонные очистители обладают довольно высокой эффективностью (таблица 2).
Табл. 3. Эффективность циклонных очистителей

Эффективность циклонов возрастает с увеличением концентрации загрязнений на входе, хотя при этом на выходе концентрация несколько повышается.
На рис. 15 показана кривая фракционной эффективности циклонов. Зона А содержит частицы, которые должны были бы пройти через циклон, но улавливаются вследствие коагуляции или
в результате столкновений с более крупными частицами. В зоне Б находятся частицы, которые должны были бы улавливаться, но остаются в воздушном потоке из-за его турбулентности или
срыва частиц со стенок вихрем.

Рис. 15. Кривые фракционной эффективности η ФР циклонов в зависимости от размера dч
(-) – теоретическая;
(– ) – экспериментальная
При применении очистных устройств циклонного типа для очистки сжатого воздуха, содержащего воду, масло и твердые загрязнения, эффективность улавливания твердых частиц
должна увеличиваться вследствие усиления эффекта столкновения и коагуляции в зоне А и уменьшения эффекта срыва частиц вихрем от влажной стенки в зоне Б.
Потери давления в устройствах циклонного типа, используемых в пневматических системах, обычно составляют 500–5000 Па. В фильтрах-влагоотделителях центробежного типа с фильтроэлементом они больше – до 15–103 Па при номинальном расходе.
Преимущества очистителей инерционного типа:
– постоянство степени очистки (при номинальном расходе, при уменьшении расхода степень отчистки уменьшается),
– незначительные потери давления и эффективное удаление основной части загрязнений в процессе длительной эксплуатации при высокой долговечности, небольших размерах
низкой первоначальной и эксплуатационной стоимости.
Конец ознакомительного фрагмента.
Текст предоставлен ООО «ЛитРес».
Прочитайте эту книгу целиком, купив полную легальную версию на ЛитРес.
Безопасно оплатить книгу можно банковской картой Visa, MasterCard, Maestro, со счета мобильного телефона, с платежного терминала, в салоне МТС или Связной, через PayPal, WebMoney, Яндекс.Деньги, QIWI Кошелек, бонусными картами или другим удобным Вам способом.





