Хроническая сердечная недостаточность (патогенез, клиника, диагностика, лечение)

- -
- 100%
- +
Женщины в значительно большей степени поддерживают стабильность генотипа, устойчивость наследственности, чем мужчины. Последние определяют генетическую подвижность, изменчивость генотипа, его большую чувствительность к изменению внешней среды. Золотая пропорция наблюдается не только во внешнем облике тела человека, но и в морфологии и функции внутренних органов, например печени. Так соотносятся между собой краниокаудальный размер левой доли и косой вертикальный размер правой доли печени, длина хвостовой доли и высота правой доли, толщина правой доли и длина печени в поперечной плоскости, высота правой доли и длина печени в поперечной плоскости, высота левой доли и длина правой доли в поперечной плоскости. Подобная закономерность наблюдается и в строении слизистой оболочки тонкой кишки: в соотношении высоты ворсинок и глубины крипт (Иванов С. В., 2011). Принцип золотой пропорции присущ и функциональной деятельности желудочно-кишечного тракта. Суточные объемы слюны и желудочного сока, слюны и сока тонкой кишки, сока тонкой кишки и панкреатического секрета находятся в ЗП. По нашим данным, у здорового человека соотношения общей кислотности, количества свободной и связанной соляной кислоты приближаются к ЗП. Общая кислотность относится к концентрации свободной соляной кислоты и последняя к связанной как 1,619. Отношение секреции желудка, стимулированной энтеральным раздражителем, к базовой секреции составляет 1,298, что соответствует «золотому вурфу». Функция почек также подчиняется закономерностям ЗП. Соотношения длительности фазы нарастания, спада диуреза и всего периода повышенной активности почек после молочно-водной нагрузки близки к золотым числам (Суббота А. Г., 1994b).
Близки к ЗП отношения продолжительности вдоха и выдоха, а также дыхательного объема к жизненной емкости легких. Изучая соотношение объема циркулирующей крови и плазменного объема у здоровых и больных перитонитом, К. С. Симонян (1971) пришел к выводу, что это отношение у здоровых людей соответствует ЗП и может быть использовано для определения здоровья человека. При перитонитах данное соотношение изменяется в сторону увеличения.
Наиболее часто инварианты, близкие к ЗП, встречаются в строении и функционировании сердца. Даже расположение сердца в грудной клетке приближается к этой закономерности. Примерно 1/3 сердца располагается в правой половине грудной клетки и 2/3 – в левой. Оптимизация работы сердца также обусловлена золотыми числами и их свойствами. Золотые числа составляют основу законов композиции сердечных структур. Каждое звено в системе сердца, начиная от субклеточных элементов кардиомиоцита до сердечной мышцы в целом, оптимально организовано в покое согласно ЗП и претерпевает оптимальные преобразования золотых отношений при физической нагрузке (Цветков В. Д., 1999).
Особенно отчетливо ЗП прослеживается при исследовании временных характеристик деятельности сердца. Известно, что длительность электромеханической систолы практически равна длительности электрической. А это значит, что продолжительность систолы желудочков легко можно определить на ЭКГ по интервалу Q – T. Давно отмечено, что при частоте сердечных сокращений, равной 60 ударов в минуту, интервал Q – T в среднем равняется 0,385 c, а интервал T – Q – 0,615 с, что соответствует числам ЗП. Эти числа были получены автором эмпирическим путем и не рассматривались с позиции ЗП, хотя они отражают эту пропорцию. То же самое можно сказать о систолическом показателе (СП), предложенном Л. И. Фогельсоном и И. А. Черногоровым (Фогельсон Л. И., 1957) для диагностики поражений мышцы сердца:

где Q – T и R – R – интервалы ЭКГ.
Н. В. Дмитриева (1989), используя геометрический анализ ЭКГ, установила, что у здоровых людей в геометрической модели кардиоцикла, представленной в виде треугольника, соотношение длительности диастолы, общей систолы и всего кардиоцикла равно 0,388: 0,612: 1, а соотношение продолжительности систолы желудочков и общей систолы составляет 0,6: 1. Эти соотношения близки к ЗП, отклонение составило 5 %. Для характеристики деятельности сердца как целостной системы Н. В. Дмитриева [и др.] (1991) предложили совокупную пропорцию параметров ЭКГ, соответствующую «золотому вурфу» (1,309) и представленную в следующем виде:

где QT, QRS, RR, RQ, R – P и R – T – интервалы ЭКГ.
Это соотношение у здоровых лиц составило 1,285 ± 0,065, т. е. отклонение от «золотого вурфа» было менее 5 %. По данным этих авторов, такое соотношение позволяет характеризовать оптимальный уровень миокардиального гомеостаза. Он определяется по степени координации деятельности миокарда предсердий и желудочков, по асинхронности фаз их сокращения и расслабления.
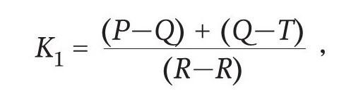
Наряду с этим, по соотношению отдельных параметров можно описать различные стороны деятельности сердца. Известно, что продолжительность кардиоцикла связана с экстракардиальными системами регуляции, в том числе с симпатическими и парасимпатическими нервами. Авторы утверждают, что отношение общей систолы к длительности кардиоцикла (K1) хорошо отражает экстракардиальную регуляцию сердечной деятельности:

где P – Q – продолжительность систолы предсердий, Q – T – продолжительность систолы желудочков, R – R – продолжительность кардиоцикла.
Нарастание частоты сердцебиений сопровождается увеличением данного показателя, урежение пульса – снижением.
П. П. Черныш (2003) предложил использовать отношение полной систолы к кардиоциклу для определения типа регуляции вегетативной нервной системой (симпатической или парасимпатической). Преобладание парасимпатических влияний ведет к уменьшению данного показателя, при симпатикотонии наблюдается противоположная картина. Это отношение позволяет судить о преобладании тонуса симпатического и парасимпатического отделов вегетативной нервной системы более точно, чем индекс Кердо. При наличии ХСН отношение длительности полной систолы к кардиоциклу увеличивается и определяет степень выраженности ХСН, что указывает на активацию симпатической нервной системы.
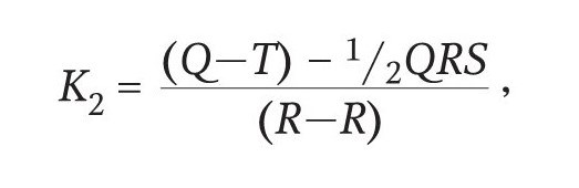
Показателем работы внутреннего контура регуляции сердца, предложенным Н. В. Дмитриевой [и др.] (1991), является отношение длительности систолы желудочков к общей систоле (K2):

где QRS – желудочковый комплекс, остальные обозначения те же, что и в предыдущей формуле.
Далее пойдет речь о гармонии структуры и функционирования сердца у людей и животных. В. Д. Цветков (1993; 1999) установил, что у млекопитающих в основе соотношения временных, механических, объемных и кровотоковых параметров лежат свойства ЗС. По его данным, продолжительность систолы, диастолы и всего кардиоцикла образует пропорцию ЗС (0,382: 0,618: 1). ЗС, или представленная в нем аффинная симметрия, в чистом виде присуще структурам сердечного цикла только в «золотом» режиме кровообращения. Такой режим соответствует покою при частоте сердцебиений, равной 63 уд/мин для человека, 94 уд/мин – для собаки. За счет ЗП удается достичь такого сопряжения с сосудистой системой, при котором сердце функционирует с минимальными затратами мышечной энергии.
В результате проведенных нами исследований удалось установить, что ЗП систолы и диастолы к кардиоциклу, систолы к диастоле у мужчин и женщин выявлялись при разных частотах сердцебиений (Малов Ю. С., 2008; 2009). Эти отношения, близкие к 0,618, наблюдались у мужчин при частоте сердечных сокращений (ЧСС) 64 уд/мин, у женщин – 55 уд/мин. При увеличении ЧСС уменьшается продолжительность систолы и диастолы, но при этом время диастолы сокращается быстрее, чем систолы. Продолжительность систолы становится больше, чем продолжительность диастолы. При ЧСС 168 уд/мин у мужчин и 144 уд/мин у женщин отношение систолы к кардиоциклу составляет 0,618, диастолы к кардиоциклу – 0,382, а отношение систолы к диастоле приближается к величине ЗП, соответствующей 1,618. Частоты сердечных сокращений, при которых наблюдается ЗП, у женщин соответствуют числам Фибоначчи, у мужчин – близки к ряду чисел, полученных от сложения через одно чисел Люка (65 и 170). Этот ряд представлен следующими числами: 15, 25, 40, 65, 105, 170 и т. д. Деленные на 5, они дают ряд чисел Фибоначчи. Следует заметить, что отношение максимальной ЧСС к оптимальной, наиболее экономичной, у женщин составляет 2,618, или квадрат 1,618, у мужчин – 2,625, или квадрат 1,620.
По-видимому, это наибольшие частоты, при которых сердце работает в пределах функциональных возможностей. Они определяют оптимальные преобразования сердца при физической нагрузке. Дальнейшее увеличение ЧСС может сопровождаться перенапряжением и повреждением мышцы сердца. Известно, что частота пульса, равная 170 уд/мин, является предельной при физических нагрузках. Это обосновано тем, что взаимосвязь между ЧСС и мощностью выполняемой физической нагрузки имеет линейный характер у большинства здоровых людей вплоть до частоты пульса 170 уд/мин. При более высокой частоте пульса эта линейная зависимость нарушается. Можно предположить, что сердце работает в пределах физиологических возможностей, когда отношение систолы к диастоле не выходит за рамки инвариант ЗП: от 0,618 до 1,618.
Различие мужчин и женщин наблюдается не только на антропологическом уровне, но и в работе сердца. У женщин систола желудочков продолжительнее, ее отношение к этому же параметру у мужчин в среднем составляет 1,081. Пропорция между отношениями продолжительности систолы к кардиоциклу у женщин и мужчин равняется, по нашим данным, 1,079. Это близко к соотношению среднего роста мужчин и женщин, которое составляет 1,072. Таково же в среднем отношение частей мужского и женского тела (15: 14). Отношение ЧСС у мужчин и женщин при ЗП (0,618 и 1,618) составляет 1,118 и 1,154, что является квадратом чисел 1,057 и 1,074, отражающих различие частей тела мужчин и женщин. Параметры структуры и функций органов мужчин и женщин, так же как пропорции их тел, отклоняются в разные стороны от золотой пропорции. Для тела человека характерно не только стремление к ЗП, но и отклонение от нее, связанное с половыми и индивидуальными особенностями, своеобразные «вариации на тему ЗП» (Васютинский Н. А., 2006).
А. М. Жирков (1995) на 46 добровольцах показал, что продолжительность систолы, диастолы и кардиоцикла при нормосистолии образует ЗП, а именно 0,382: 0,618: 1. Изменение соотношения продолжительности систолы с изучаемыми параметрами он использовал для диагностики гипертонической болезни (ГБ) и прогноза течения инфаркта миокарда (ИМ).
Оказалось, что показатели пульсового, минимального и максимального артериального давления (АД) находятся в отношении 0,365: 0,635: 1, т. е. близки к ЗП. Характерно, что это соотношение в аорте не изменяется при разном уровне нагрузки и разной частоте сердцебиений.
В своей работе В. Д. Цветков (1993) впервые отметил, что существует пропорциональность, близкая к ЗС, между среднесистолическим, среднедиастолическим и средним давлением в аорте.
Отношения между систолическим АД (САД) и диастолическим АД (ДАД), диастолическим и пульсовым АД (ПАД) представляют собой величины, приближающиеся к ЗП (Черныш П. П., 2003).
Исследование АД, проведенное нами совместно с А. Н. Куликовым у 275 нормотензивных (здоровых) лиц в возрасте 18 – 50 лет классическим методом Короткова и осциллографическими методами, подтвердило данные результаты (табл. 1). Соотношения САД/ДАД и ДАД/ПАД были близки к ЗП и не зависели от возраста. Отклонения САД/ДАД от ЗП в среднем не превышали ±2,5 %, а ДАД/ПАД – ±4 %.
Наиболее близки к инвариантам ЗП были отношения данных показателей у здоровых лиц в возрасте от 31 до 40 лет. Более близким к ЗП можно считать АД, равное 110/68 мм рт. ст. Известно, что уровень АД может зависеть от места, условий, времени измерения давления, физической и умственной нагрузки, класса измерительных аппаратов и т. д. Значения АД при традиционном способе измерения врачом, аутометрии в офисе, при повторном измерении врачом, по данным суточного мониторирования и аутометрии АД вне клиники достоверно не различались.
Таблица 1
Отношения САД/ДАД и ДАД/ПАД у здоровых лиц в зависимости от возраста

Отклонение отношения САД/ДАД от пропорции ЗС не превышало 2 %, а ДАД/ПАД было не более 4 %, что вполне допустимо. Более выраженное увеличение отношения ДАД/ПАД при первом измерении АД врачом связано с повышением диастолического давления как реакцией на «белый халат». Уменьшение этого отношения при амбулаторном исследовании обусловлено особенностями модели измерительных приборов, занижающих диастолическое давление.
При аутометрии АД у нормотензивных пациентов в течение суток отношение САД/ДАД утром составило 1,638, вечером – 1,635, т. е. мало менялось и было близко к ЗП. Отношение ДАД/ПАД соответственно было равно 1,587 и 1,590. Эти пропорции не изменялись также и в ночное время. По итогам трехдневной аутометрии у 105 нормотензивных лиц АД оставалось стабильным и в среднем равнялось 117/72 мм рт. ст., что соответствовало пропорции ЗС (САД/ДАД = 1,625, ДАД/ПАД = 1,6). Эти показатели свидетельствуют о том, что у здоровых лиц соотношение систолического и диастолического, а также диастолического и пульсового АД представляет собой ЗП. Можно предположить, что выявленная закономерность отражает оптимальное функционирование сердца – обеспечение кровью органов и тканей.
Нами исследованы АД и вышеуказанные отношения у больных разными формами артериальной гипертензии (АГ): ГБ I – II стадии, преходящая артериальная гипертензия (ПАГ), изолированная клиническая гипертензия (ИКГ) и «маскировання» артериальная гипертензия (МАГ) (табл. 2).
Таблица 2
Средние значения АД и отношения САД/ДАД и ДАД/ПАД в зависимости от формы гипертензии

Анализ полученных данных показал, что, несмотря на различные уровни АД при разных формах гипертензии, отношения САД/ДАД мало чем отличались друг от друга и были близки к пропорции ЗС. Это указывает на синхронное повышение систолического и диастолического давления у больных с разными формами гипертензии. Соответствие отношений ДАД/ПАД пропорции ЗС отмечено у больных ГБ, ПАГ и МАГ. Только у больных ГБХ наблюдалось более выраженное отклонение этого отношения от ЗС (9 %). Оно вызвано несинхронным повышением ДАД по сравнению с САД, что способствовало уменьшению ПАД.
Таким образом, у больных ГБ I – II стадии и другими формами гипертензии повышение САД и ДАД происходило в соответствии с закономерностями ЗС.
Эти же показатели исследовались у 132 больных ишемической болезнью сердца (ИБС) и ГБ с признаками ХСН. Пациенты были разбиты на три группы в соответствии с классификацией АСС/АНА. Систолическое и диастолическое АД у них оказалось достоверно выше, чем в контрольной группе. Пульсовое давление у больных с ХСН в стадии А мало чем отличалось от такового у здоровых. На стадиях В и С оно достоверно превышало контрольное. Это повлияло на отношения САД/ДАД и особенно ДАД/ПАД у больных в стадии А. Отклонения данных показателей от ЗС составили соответственно 8,6 и 26 %, что достоверно больше, чем в контрольной группе. Отсюда можно сделать вывод, что развитие ХСН сопровождается нарушением гармоничного функционирования сердца. Это проявляется в изменении пропорций между САД и ДАД, ДАД и ПАД.
Таким образом, у больных ГБ и ИБС с СН о нарушении гармоничности функционирования сердца можно судить по изменению пропорций между показателями артериального давления.
Отношение САД/ДАД, близкое к ЗП (0,618), В. В. Шкарин (1998) назвал структурной точкой АД, которая отражает нормальное функционирование сердца. У больных артериальной гипертензией этот показатель отклонялся от данной точки.
Следует обратить внимание на то, что отношения САД/ДАД и ДАД/ПАД больше всего соответствуют ЗП при измерении АД с помощью классического аускультативного метода по Н. С. Короткову. При осциллографических методах исследования отклонение отношения САД/ДАД от ЗП достоверно больше, чем при измерении АД по методу Н. С. Короткова. Это обусловлено некоторым занижением ДАД при измерении АД осциллографическим методом. Оказалось, что у здоровых людей существует определенная пропорция между САД и конечным систолическим объемом левого желудочка (ЛЖ). Она равна квадрату числа 1,618. Ее изменение свидетельствует о нарушении сократительной способности миокарда, что наблюдается у больных ГБ с ХСН.
По данным В. Д. Цветкова (1993), у млекопитающих отношение длительностей систолы и кардиоцикла в покое одинаково и равно 0,40 – 0,46, независимо от вида животных, их веса и частоты сердечных сокращений. В покое доля ударного выброса составляет 0,37 – 0,42 от конечного диастолического объема, тогда как доля остаточного объема должна составлять 0,58 – 0,63. В состоянии покоя сердце млекопитающих сокращается в режиме, при котором систола, диастола и суммарные характеристики сердечного цикла соотносятся между собой в пропорции ЗС. Наши исследования (Малов Ю. С., 2008; 2009) показали, что доля ударного объема (УО) у здоровых людей равняется 0,58 – 0,65 конечного диастолического, а доля конечного систолического – 0,42 – 0,35. Таким образом, значения этих долей приближаются к 0,6 и 0,4.
При открытом митральном клапане в левый желудочек поступает 58 % крови от общего ее количества в кардиоцикле, и еще 42 % – в течение систолы предсердий. В левое предсердие (ЛП) 37 % крови поступает в фазе раннего наполнения и 63 % – в фазе позднего наполнения. При изучении эхокардиограмм 105 здоровых лиц нами было установлено, что соотношение скорости раннего трансмитрального кровотока и скорости в период сокращения предсердий составляет в среднем 1,581, что соразмерно ЗП (1,618). Отклонение составляет менее 4 %, что укладывается в математические погрешности. По данным разных источников, эта величина колеблется от 1,6 до 1,638. То есть она представляет собой инвариант, характеризующий гармоничную работу сердца. Уменьшение его свидетельствует о диастолической дисфункции ЛЖ.
Большой вклад в диагностику ХСН с использованием инвариантов ЗП внес П. П. Черныш (2003). Он на обширном материале (118 здоровых лиц) показал, что отношения продолжительности систолы к диастоле, диастолы к кардиоциклу, систолы предсердий и желудочков к кардиоциклу приближаются к 0,618. Такая же закономерность прослеживается при сопоставлении конечного систолического размера (КСР) с конечным диастолическим размером (КДР) левого желудочка, конечного систолического объема (КСО) с УО и УО с конечным диастолическим объемом (КДО). Отношение КСО/КДО соответствует величине, близкой к 0,382. Отклонения, как правило, не превышают 5 % (Малов Ю. С., Черныш П. П. 2007; Малов Ю. С., 2009). Если фракция выброса также является инвариантом ЗП, то пределы ее колебаний в норме не должны быть столь широкими, как принято считать в кардиологии в настоящее время. Можно предположить, что эти пределы составляют 58 – 65 %, так как отношение УО/КДО у здоровых лиц равнялось 0,58 – 0,65 (в среднем 0,618 ± 0,031).
Как показывают приведенные литературные данные и результаты собственных исследований, строение и функционирование сердца основано на принципе ЗП, которая проявляется при оптимальной работе данного органа, т. е. в покое. Отношения параметров структур и функций сердца в покое у здоровых людей близки к ЗП. По мнению В. Д. Цветкова (1999), организация сердечного цикла в соответствии с ЗП и числами Фибоначчи является результатом эволюционного развития млекопитающих. При патологии эти соотношения нарушаются и могут быть использованы для диагностики заболеваний сердца, в том числе и ХСН.
ГЛАВА 2
ОПРЕДЕЛЕНИЕ СЕРДЕЧНОЙ НЕДОСТАТОЧНОСТИ
Терминология является атрибутом любой науки и отражает уровень ее знаний. Каждый термин должен иметь одно значение. Содержание понятия как знания раскрывается в его определении. Аристотель писал: «Иметь не одно значение – это значит не иметь ни одного значения; если у слов нет (определенных) значений, тогда утрачена всякая возможность рассуждать друг с другом, а в действительности и с самим с собой».
К сожалению, в толковании термина «сердечная недостаточность» в последнее время наметилась явная неопределенность. У него нет единого значения. Это происходит от смещения представлений о части и целом. Сердечная недостаточность – это часть ряда болезней сердечно-сосудистой системы как целого. Но в общем мнении исследователей она сама превращается в болезнь, т. е. в целое. А те заболевания, синдромом которых она является, становятся причиной ее развития или, более того, «фактором риска», или триггером развития. Это сильно затрудняет ее понимание.
СН неизбежно проявляется при всех заболеваниях сердца, при которых страдает его сократительная (насосная) функция, что приводит к нарушению общей гемодинамики. Кроме того, СН может возникать у больных с патологией других органов и систем, которая сопровождается увеличением нагрузки на миокард или вызывает вторичное повреждение сердца. Из современной литературы порой трудно понять, к какой категории относятся эти проявления. В настоящее время существуют две точки зрения. Одна из них рассматривает СН как синдром, т. е. проявление болезни, другая – как нозологическую форму, болезнь. В третьей редакции Национальных рекомендаций Всероссийского научного общества кардиологов (ВНОК) и Общества специалистов по сердечной недостаточности (ОССН) (2009), хотя и петитом, но четко заявлено, что «с современных клинических позиций ХСН представляет собой заболевание с комплексом характерных симптомов (одышка, утомляемость и снижение физической активности, отеки и др.), которые связаны с неадекватной перфузией органов и тканей в покое или при нагрузке и часто с задержкой жидкости в организме». Однако подобная клиническая картина может встречаться при заболеваниях крови, легких и почек. Клиническая картина не является основанием для утверждения ХСН нозологической формой. Возникает вопрос, к какой категории следует относить подобные изменения.
Чтобы разобраться в этом вопросе, необходимо остановиться на понятиях болезни и синдрома. К сожалению, исходя из прагматических целей и предлагаемых стандартов диагностики и лечения больных, эти понятия трактуются размыто. В одних случаях болезни называют синдромами, в других – синдромы болезнями. Заболевание кишечника обозначают как синдром раздраженного кишечника, а синдром почечной недостаточности – хронической почечной болезнью. То же самое можно сказать о хронической обструктивной болезни легких (ХОБЛ) и о других синдромах. Как правило, синдромы называют болезнями, когда они ярко проявляются, особенно в завершающей стадии основного заболевания. Примером тому служит синдром ХСН. С научной точки зрения такой подход неприемлем.
Научная база медицины, ее многовековой прогресс имеют под собой фундамент нозологии заболеваний, уточнения их причинно-следственных зависимостей и концепции этиологии и патогенеза болезней (Гогин Е. Е., 2010). Синдромный диагноз необходим для неотложной практики лечения. Под отдельной нозологической формой следует понимать болезненный процесс, имеющий определенную причину (этиологию), механизмы развития (патогенез) и клинико-анатомическую картину, свойственные этой болезни и отличающие ее от всех других (Саркисов Д. С., 2000). Исходя из этого определения, ХСН не может быть отнесена к нозологической форме (болезни). Она не имеет ни специфической анатомической картины, ни единой причины.
В нашем понимании, болезнь есть острый или хронический процесс, развивающийся в организме и характеризующийся нарушениями целостности структур и их функций (гомеостаза), вызванными внешними или внутренними факторами (Малов Ю. С., 2007а). Для развития заболевания должна быть причина. Этиология (причинность) всегда есть результат взаимодействия двух факторов, как правило, внутреннего и внешнего. К внутренним факторам относят различные генные нарушения, обусловленные соматическими мутациями или полиморфизмом. Внешние факторы представлены многочисленными микроорганизмами, многоклеточными паразитами, физическими и химическими воздействиями, дефицитом питания и кислорода (Малов Ю. С., 2007a; 2007b).
Конец ознакомительного фрагмента.
Текст предоставлен ООО «ЛитРес».
Прочитайте эту книгу целиком, купив полную легальную версию на ЛитРес.



