- -
- 100%
- +
41 Числа, сюда относящиеся, со многими подробностями помещены в гл. IV моего сочинения «Заветные мысли» и взяты прямо из отчетов 12-го цензуса (1900) С.-А. С. Штатов.
42 В гл. IV моего сочинения «Заветные мысли» приведено, что данные цензусов С.-А. С. Штатов явно показывают, что из стоимости товаров лишь 4 % идет предпринимателям и что рабочие и техники получают около 22 %, а на с. 190 видно, что один «хозяин» в год получает уже не более 2 тыс. руб.; 15 же лет назад получал 3,5 тыс. руб., а один техник, надсмотрщик и т. п. в среднем по 1 тыс. 300 руб. и один рабочий по 855 руб. в год вместо 674 руб. 15 лет тому назад. Ясно, что все хозяйство должно перейти само собою к работающим без всяких социалистических невозможностей и нелепостей: барыши хозяев уменьшаются, а заработки участников возрастают – в силу современного хода вещей и отношений, т. е. здесь идет своя эволюция – без революции.
43 Я понимаю, что хлопочут об уменьшении работы – это законно и согласно с прогрессом, но когда стремятся к уменьшению количества труда и стремятся получить все откуда-то «дарма», то я думаю, что идут не вперед, а назад. У нас труда-то мало, а работа людьми толчения воды или такая, которую могут делать ветер или пар, конечно, должна быть сокращаема до крайности. Дело бы много выиграло, если бы вместо выражения «рабочее время» употребляли выражение «трудовое время». Трудиться нам необходимо очень много, не покладая рук и не уставая головой, т. е. не считая чего-либо решенным.
44 Считаю долгом заметить со своей стороны, что размеры единичных фабрично-заводских производств, наиболее выгодных во всех отношениях, тем скорее могут вновь сокращаться, чем больше будет приобретать господства покровительство внутреннему производству, чего не должны забывать фритредеры. Сущность покровительственной системы (протекционизма) состоит в представлении временных (вследствие соревнования) выгод всякому внутреннему труду, а в том числе и сельскохозяйственному, кустарному, ручному и т. п. Этого, увы, очень многие не понимают. Содействовать труду и вызывать его у нас особо важно и своевременно всеми способами. Я не устану говорить, что в этом вызове труда промышленного и в содействии ему – главная задача нашей внутренней политики. Замечу еще, протекционное обложение ввозимых товаров у нас есть своего рода подоходный налог, потому что иностранные товары покупаются только при некотором избытке доходов, а все потребное для простецкой жизни у России имеется внутри. Таможенные доходы только убавляют всякие иные подати, и если таможенное обложение хорошо обдумано, как это было сделано при составлении тарифа 1891 г., то единовременно растут и таможенный доход, и внутреннее производство. Но и это дело протекционизма сложно в своих подробностях; одного принципа и здесь мало; нужны знание, изучение, внимание, мера, а не одно огульное и скороспелое решение, зрелое суждение, а не простое осуждение. Это одна из важнейших задач Государственной думы.
45 Перевозка дает возможность судить и об их развитии, а потому нельзя не пожелать, чтобы наша будущая перепись содержала возможно полные данные о перевозке и других видах сношений вместе с данными для земледелия, скотоводства, промышленности и торговли. В отрывках все это отчасти известно, но в целом поучительность была бы громадною.
46 Полицейские и пожарные (в числе 131 тыс. в 1900 г. и 75 тыс. в 1890 г.) отнесены в американской переписи к «domestic and personal service», но в нашей сравнительной таблице они считаны вместе с деятелями профессиональными и гражданскими служащими, как это принято в нашей переписи. Вообще говоря, было бы очень желательно, чтобы номенклатура и распределение жителей по разным видам деятельности в статистических работах разных стран были согласованы – ради удобства сравнений.
47 В число прислуги в американских переписях включаются лица, причисляемые часто в иные классы, например: цирюльники, ресторанные служители и т. п. От этого число прислуги вышло велико, хотя известно, что американцы держат мало прислуги (см. предшествующую выноску).
48 Все это совершенно чуждо каких бы то ни было намеков на истребление уже потому, что в основу всего должно положить вопрос об умножении народонаселения. С него непременно должно начинать. Он один эгоистические требования в силах направить в должную сторону. Оттого в «Заветных мыслях» высказываюсь в пользу того, чтобы «отцовство» (содержание детей) считалось первым условием (цензом) при всяких общегосударственных выборах.
49 А не имея этих подробностей, трудно проверить степень точности примененных приемов. Во всяком случае, однако, способ, применяемый нами, общее и строже американского. Но и в С.-А. С. Штатах, как у нас, большие воды! (озера, моря) исключены из поверхности и большие города приняты в расчет при нахождении центра населенности.
50 Можно показать, что есть случаи, когда центр схождения всех жителей не совпадает с центром населенности, понимаемым как центр тяжести, но совпадение это существует, вероятно, не только во многих очевидных случаях, но и вообще в странах с большой поверхностью и с большим числом жителей. Задача нахождения «центра сходимости» ждет своего полного решения.
51 В этом мы видим преимущество нашего положения, но не следует закрывать глаза на то, что тут содержится в то же время одна из причин сложности нашего современного быта, потому что он как бы невольно заставляет нас, находящихся еще наполовину в эпохе «земледельческого» быта, идти по пути, предпосылаемому, выработанному и указуемому «промышленным» строем жизни нас опередивших стран. Отсюда, не вдаваясь в разбор подробностей, становится ясной первая суетливость наших желаний, упований и мероприятий. Надо много осмотрительного благоразумия для того, чтобы при таком сочетании обстоятельств не угодить «из кулька в рогожку», куда толкают нас неразумные, полагающие, по всей видимости, что в истории можно перескакивать сразу и что «власть» – в чьих бы руках она ни находилась – может что-либо сделать против законов исторической необходимости. Будем ждать, что хоть в Государственной думе найдется благоразумное большинство, понимающее всю сложность теперешнего нашего состояния и необходимость установить прочные пути как для промышленности, так и для расселения, чего без экономической «свободы» сделать нельзя и чего политические «свободы» сами по себе одни сделать не могут. Узнать или уловить немногое простое в сложном составляет истинную задачу как всякого научного обладания или предвидения, так и чисто политического – внутреннего ли или внешнего.
52 Хотя расчеты все проверялись, но, по самому существу дела, за точность результатов можно ручаться лишь до определенной степени, а именно едва ли более чем до 10 по дуге, в особенности вследствие некоторой сомнительности в очертаниях северных и восточных частей России.
53 Когда я занимался (как упомянуто уже выше) подробностями проекта образцового училища наставников, мне желательно было узнать, хотя бы приблизительно, положение центра населенности всей России, считая – ради простоты, – во-первых, население в каждой губернии распределенным равномерно, во-вторых, положение центра населенности в каждой губернии совпадающим с положением ее губернского города и, в-третьих, принимая Финляндию и всю совокупность польских губерний за единицы, подобные отдельным русским губерниям. У самого меня в то время было много другого дела, а потому я поручил выполнить весь первоначальный приближенный расчет сыну своему И. Д. Менделееву, взяв соответственные числа (положение губернских городов и число жителей в губернии) по календарю, причем рекомендовал для первого раза придержаться простых приемов, применяемых американскими статистиками для определения центра населения С.-А. С. Штатов. Сын мой, однако, не захотел придерживаться этих приемов расчета, потому что счел их точность сомнительной в приложении к такой большой стране, какова Россия, а потому на основании общеизвестных начал, применяемых в механике для определения центра тяжести суммы связанных между собой весомых точек, вывел вышеприведенные формулы, по которым затем и рассчитывалось им, а затем мною с моими вышеупомянутыми сотрудниками положение центров как населенности, так и поверхности, потому что формулы, выведенные И. Д. Менделеевым, точны (считая Землю шарообразной, что здесь вполне допустимо) и для расчета оказались удобными. Так как формулы эти, сколько мне известно, в литературе предмета являются в первый раз, то следовало бы привести их полный вывод, но я считаю – краткости ради – достаточным привести их выражение, предполагая, что со временем где-либо и будет помещен весь способ вывода, основанного на общеизвестных началах механики, произведя сперва расчет в обычной системе координат – в пространстве, а потом выражая те же величины в географических координатах, т. е. широтах и долготах, относящихся к поверхности Земли.
54 Здесь невольно напрашивается мысль о необходимости систематических горных разведок на всем нашем Севере, что отчасти уже начато и что, по-видимости, ждет лишь энергичного продолжения. Обсуждая этот вопрос, однако, нельзя не увидеть того, что и он, как многие у нас, наталкивается на недостаток средств и лиц, пригодных к умелому и энергичному ведению подобных дел. Средства еще добыть можно довольно скоро, но и об их своевременном получении следует подумать более и ранее, чем о многом ином (для этого средство одно: усиленный промышленный рост, как я доказываю с разных сторон здесь и в «Заветных мыслях»); что же касается лиц, необходимых в этом деле, – с большой подготовкой, то это требует и больше времени, и больше вдумчивого отношения, так как надо начинать с профессоров, с их подготовки. Оттого-то я со своей стороны настаиваю на крайней спешности устройства образцового училища наставников или профессорского института, для которого нельзя жалеть средств, лишь бы только был толк, а не новая пустая трата на образцовых «балагуров» и «забастовщиков». Без лиц знающих и трудолюбивых ни тут, ни во многом ином – ничего не выйдет.
55 В декабре 1905 г., когда за центры населения губерний приняты были губернские города и вообще были взяты непроверенные календарные числа и допущены многие упрощения, положение центра населенности оказалось (по расчету И. Д. Менделеева) все же при сев. широте 53°0′ и на долготе 8°40′. Близость результата (примерно до 100 верст) зависит от того, что при большом числе данных небольшие погрешности единичных чисел оказывают малое влияние на вывод.
56 Судя по степени точности (т. е. по величине вероятной погрешности) в определении полуосей земного сфероида, в длине градуса меридиана можно ждать погрешностей уже в сотых долях версты, а потому больше чем два десятичных знака приводить не следует, уверенность же есть только в десятых версты, тем более что Земля не представляет в точности форму эллиптического сфероида, а форма «геоида» еще неточно известна.
57 Карта начерчена в масштабе 10 верст в миллиметре, а уменьшение до указанного размера произведено при съемке цинкографической копии.
58 Длину у градуса, параллели, при широте х, можно вообще рассчитать по формуле:

59 При изображении России, по-видимому, лучше было бы принять действительные размеры не только по всем меридианам (как у нас и принято), но и на параллелях в 45 и 65° сев. широты; тогда искажения были бы очень малы на всей карте, зато тогда меридианы (прямые) не сходились бы в полюсе и около самого центра населенности России все же были бы небольшие искажения, чего нет в принятой здесь проекции карты России.
60 Оригинальная карта сохраняется, и, если потребуется ее новое издание, она будет по мере возможности дополняться и поправляться. Всякие указания на неточность или недостаточность будут приняты мною с большою благодарностью.
ДОПОЛНЕНИЯ К «ПОЗНАНИЮ РОССИИ»1 Все упомянутое можно доказывать, но притом надо, во-первых, много писать, а во-вторых, много критиковать, а того и другого я стараюсь в предлагаемой книге избежать всеми способами, не нарушая ясности. Если местами мне приходится касаться некоторых современных утопий, то это делается мною преимущественно для выяснения того рода мыслей, который руководит мною при обсуждении общественных вопросов.
2 […] Идеальные стремления не только к постепенному (эволюционному) усовершенствованию отношений лиц в обществах и обществ в государствах, но и к некоторой мере насильственного принуждения к желаемому порядку течения дел, конечно, неизбежны, а потому и у социалистов, анархистов и коммунистов нельзя отрицать передовую правдивость их идеальных требований. […]
3 В примечании 3 Д. И. Менделеев кратко излагает свои соображения по вопросу о собственности, которые нельзя признать правильными, ибо он упускает из виду историческую смену форм собственности, а также различия между собственностью на средства производства и средства потребления. (Прим. ред. издания 1952 г.)
4 Эти признаки, однако, не принадлежат ко всеобщим и неизбежным, особенно при развитии современных рационалистических учений, но так важны, что, по-моему, их надо признавать первым условием для полной общественной правоспособности (например, для права на избирательный голос или для занятия многих должностей), тем более что множество людских действий определяется именно заботами о семьях, и особенно о детях.
5 Вторую из важнейших, по моему мнению, причин расширения переселений составляет искание лучших личных условий жизни, третью – избыток силы и стремление к переменам и новизне и лишь четвертую – недостаток средств для жизни. Заботу же о собственности потомства считаю наиважнейшей и наиболее настойчивой.
6 Это отвечает среднему годовому приросту в 0,6965 %, а он ныне в мире близок к 0,9 %, как увидим далее, а при годовом приросте около 0,9 % удваивание совершается менее чем в 80 лет. Допустим удвоение лишь в 100 лет и примем к 1900 г. на Земле 1600 млн жителей. Тогда в 1800 г. должно было бы быть 800 млн, в 1700 г. – 400 млн и т. д. К эпохе Рождества Христова на всей Земле было бы, при сохранении такого прироста (0,9 %), только 3 тыс. (точнее, 3052) всех людей. А так как тогда, наверное, на всей Земле жило уже немало миллионов людей, то и очевидно, что современный прирост много больше средневекового. Отсюда ясно уже, что тогда порядки были неблагоприятно-худы, потому и изменены людьми на новые.
7 Так как народы друг у друга часто проникают и нередко между собой сливаются и этот процесс еще далеко не закончился, то рассмотрению удобнее подлежат отдельные страны, а не народы, тем более что государственное распределение людей определяется более всего и даже преимущественно, если не исключительно, территориальными отношениями, а не какими-либо иными. Исчезновение в будущем – конечно, не близком – безземельных народов мне кажется неизбежным и несомненным. Из того, как ирландцы, немцы и т. п. постепенно в С.-А. С. Штатах превращаются в «американцев», отчасти уже виден механизм такого «исчезновения».
8 Я старался так расположить все числа и придать им такой вид, чтобы можно было подводить не только те суммы, которые даны в таблицах, но и всякие иные… По этой причине величина годового прироста дается не в процентах к числу современных жителей, а в абсолютных количествах ежегодно прибывающего числа жителей. По той же причине в столбце С (третьем) данные показывают не отношение числа женщин и мужчин, а абсолютную разность их количеств.
9 Статистика земель, т. е. распределение их между различными применениями (для строений, посевов, лесов, дорог и т. п.), по способности к хлебопашеству, по размерам владений и т. п. во многих странах мало известна, а заслуживает такого же внимания, как и статистика народонаселения. Что касается возрастного состава народонаселения разных стран, то большинство известных мне данных помещено мною (и отчасти разобрано) во 2-й гл. моих «Заветных мыслей», но к этому предмету я предполагаю еще раз возвратиться, когда найду для того время и возможность.
10 Так, например, для Германской империи за последнее время встречаются два числа: 56,37 и 60,61 млн. Первое число по переписи 1900 г., а второе – по предварительным подсчетам переписи 1 декабря 1905 г.
11 Одну из важнейших (хотя и не первичных) и, если можно так выразиться, полезнейших сторон всякого «знания» составляет предвидение реальных явлений, уже по той причине, что оправдание предвидения дает уверенность в возможности твердых или истинных выводов изучения. В начальные эпохи зарождения наук в состав знаний обыкновенно включается лишь описание познаваемого, логическое его обсуждение, выводы, объясняющие узнанное, и критика всяких о нем суждений. Это все необходимые элементы знаний, но не они, а только оправдания предвиденного дают полное ручательство в истинности данных выводов знаний. Это ясно понял первый Бэкон Веруламский, но это и поныне неясно множеству людей, особенно мечтательной научной молодежи, которая – того не сознавая, конечно, – твердо верит не проверенному предвидением, а опирающемуся лишь на логические посылки, т. е., в сущности, действующей такими приемами, какими оперировали софисты, схоластики и другие, до Бэкона жившие, исследователи.
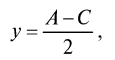
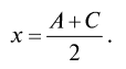
12 Если означим число лиц женского пола через х, а мужского – через у, то очевидно, что А = х + у, тогда как С = х – у, следовательно, по данным А и С легко определить х и у, а именно

тогда как

13 Чтобы получить для страны или народа в процентах эту среднюю годовую прибыль народонаселения из данных для двух годов, разнящихся на n лет, можно поступать различно, но, мне кажется, правильнее всего применять следующий способ: из позднейшего числа вычитать предшествующее, разность умножать на 100 и делить сперва на n, а потом – на среднее из позднейшего и предшествующего чисел. Этот «средний процент прироста», различаясь для разных народов и времен, служит известною – и очень важною – их характеристикою, и при вымирании народа или при выселении народа из страны (Ирландии) становится отрицательным, а в пределе – по времени, – когда вся Земля заполнится людьми, прирост как процентный, так и абсолютный, неизбежно уменьшаясь (Франция), станет нулевым, т. е. число жителей постоянным – по крайней мере, за известное число лет в среднем.
14 Следовательно, для Ирландии годовой прирост – величина отрицательная, и именно В близок к – 0,034.
15 Сумма поверхности Англии, Шотландии и Ирландии (около 278 тыс. кв. верст) менее поверхности одной Уральской области (284 тыс. кв. верст) или одной Пермской губернии (290 тыс. кв. верст).
16 Главную причину, по которой отделяют Европу от Азии, мне кажется, должно искать в классическом мировоззрении, а никак не в каких-либо чисто географических соотношениях, которые заставляют, скорее всего, отделить Северную Америку от Южной, даже тогда, когда Европа не станет отделяться от Азии. Когда сибирские пустыни и киргизские степи окажутся населенными русскими и просвещение России довольно поработает для слияния Дальнего Востока, включая в него Китай и Японию, с Западною Европою, тогда настанет действительная новейшая история, а с нею, вероятно, позабудут отличие Европы от Азии. Весь секрет этого дела – в Китае, и я не стану утверждать, что нам теперь же, ничуть не мешкая, следует завязать тесный союз с Китаем (сепаратно, быть может, и с Японией, или обратно – что уже дело политиков), а изучение Китая и перемен, в нем совершающихся, усилить в разнообразных отношениях, и отнюдь не ограничиваясь одним Пекином и Ханькоу. Китай, как и Россия, не трупы, как их иные считают, а только спящие великаны, пора пробуждения которых наступила.
17 До прорытия Суэцкого канала мыс Доброй Надежды и другие африканские владения Англии играли ту же роль станций на пути в Индию и Австралию.
18 Без Адена и Перима, которые сочтены нами выше, но с Андобанскими и Никобарскими островами.
19 Хотя для ближайшего ознакомления со всем современным составом азиатских и африканских владений Англии мною затрачено немало времени, но я не убежден в том, что пропусков в моем счислении нет, так как даже за самые последние годы Англия не прекращает втихомолку забирать для себя все то, что не занято другими правительствами. […]
20 Они немного отличаются от того, что дает «The Stateman’s Year-Book for 1906» (p. XLV, Introductory Tables), так как там общая поверхность дана 11,9 млн англ. кв. миль, или 30,8 млн кв. км, а общее число жителей принято для 1901 г. равным 398,4 млн, что дает, при 0,5 % годового прироста, к 1907 г. 410,3 млн жителей. Различия эти так процентно малы, что я считаю излишним входить в разъяснение причины разности.
21 Полагаю, что, с образованием самостоятельно управляемых австралийских штатов, Англия обеспечила за собой Австралию крепче, чем это было бы возможно каким-либо иным способом. Ныне же к этому добавляют поиски Японией малозаселенных земель и очевидный аппетит к Австралии. Очевидно, что политика Англии должна быть очень сложна, что все и видят на деле.
22 Для европейских стран избыток женщин, как известно, давно определяется преимущественно избытком смертности мальчиков в юном и среднем возрастах, так как мальчиков родится обыкновенно больше, чем девочек.
23 Это число считаю, однако, не твердо установленным, а потому отмечаю в таблице особым условным знаком. Перевес рождений над смертями за последние годы во Франции гораздо менее 92 тыс., а именно для 1902 г. 54 тыс., 1903 г. 73 тыс. и 1904 г. 57 тыс. Данные для переписи 1906 г. мне еще не известны.
24 Надо заметить, что 1/10 % прироста для Англии и Франции близка к 40 тыс., а для Германии к 50 тыс., так что одни изменения в эмиграции едва ли объясняют общность явления, хотя почти несомненно, что в самом конце XIX ст. эмиграция в названных странах – от быстрого роста промышленности – убывала.
25 Считаю полезным повторить, что мое дело сводится исключительно на указание явлений действительности, считаемых мною прочными и имеющими свое значение для понимания взаимного отношения людей. Объяснение замечаемого и извлечение из него следствий не входят в основную задачу моей работы и требуют особого нового труда и притом огромного, чего я не могу предпринять, довольствуясь беглыми замечаниями, внушаемыми опытами жизни.
26 По переписям 1815 и 1848 гг. в России жителей было около 45 и 74 млн. По этим числам и по сравнению с 1897 г. (128 млн) годовой прирост около 1830 г. был равен 1,48 %, а около 1870 был равен 1,09 %. За указанное время Россия увеличилась в размерах и числа прежних переписей («ревизских сказок») нельзя считать точными, и потому для годового прироста России принято 1,5 %, как величина вероятная по данным о перевесе (1,8 %) рождений над смертями в 50 губерниях в 1897 г.
27 Для расчета исхожу из того, что 27 января 1897 г. было 128,24 млн, а протекло до 27 января 1907 г. 10 лет, годовой же прирост равен 0,015 на 1. Отсюда получается число жителей к 27 января 1907 г. = 128,24 (1,015)10 = 148,83, а годовой прирост = 2,232 млн, а в один день = 6,1 тыс., в 27 дней = 165 тыс., следовательно, к 1 января 1907 г. = 148,66 млн. Погрешность сделанных допущений в результате дает едва ли ошибку более 1 %, т. е. число жителей России к 1907 г. едва ли более 150 млн и, вероятно, не менее 147 млн. Среднее из этих округленных чисел (148,5) и принято мною.
28 Смею надеяться, что меня поправят, если я где-либо – неумышленно – окажусь неверным. Моя цель: уразуметь Китай, ныне явно возрождающийся к новой жизни и к нам близкий, не только по географическому положению и отношению к Японии, но и по многим иным важным сторонам. А, уразумев Китай, по мне, следует с ним немедля сблизиться в политическом и промышленном отношениях.
29 Может быть, я и ошибаюсь, но по тому, что узнал из знакомства с некоторыми писаниями китайских мудрецов, полагаю, что Китай направит свои силы, когда их почувствует, исключительно на успехи внутренние, не военно-завоевательные, а мирные, на науки, сельское хозяйство, промышленность и торговлю, а потому-то я особо стою за тесноту сближения с Китаем, о чем говорил уже в своих «Заветных мыслях». Бояться можно китайского соперничества не нам, а тем, кто видит в Китае только рынки сбыта, чего у нас, при большом соприкосновении с Китаем и нашей малой промышленной развитости, нет или оно стоит пока на втором плане. Я бы не прочь был даже и от таможенного союза с Китаем и даже от свободной торговли у нас чаем, так как его удешевление, наверное, послужит к уменьшению пьянства, но не должно забывать, что без таможенной охраны чай можно обложить внутренним налогом, который, во всяком случае, хуже налога на водку и на табак.






