Заветные мысли

- -
- 100%
- +
Естественный прирост человечества, т. е. годовой перевес рождаемости против смертности, в разных странах различен, и для жителей всей Земли в среднем его можно принять ныне в 1 %, т. е. в год прибавляется на 100 человек по 1 человеку. В России этот прирост выше, чем в остальных частях Европы, именно никак не менее 1,4 %. В других европейских странах он пониже, например в Голландии, Германии и Норвегии – около 1,3 %; в Англии, Швеции, Италии и др. – от 0,8 до 1,2 %; в Испании, Швейцарии и т. п. – менее 1 %, а во Франции за последнее время близок к 0 %, хотя в ней приходится не более как 72 жителя на квадратный километр в среднем.6 В С.-А. С. Штатах, над числом жителей которых мы далее остановимся подробнее, естественный прирост несомненно более 1 %; то же можно сказать о Южной Америке. На Яве, где переписи ведутся уже давно и где голландское правительство мудро и мягко правит народом, прирост превышает 1 %. В Японии он также несомненно значительно выше 1 %. В азиатской Индии, находящейся под английским владычеством, естественный прирост долго был не менее 0,7 % и только в 90-х годах опустился вследствие смертности от голода до трети процента. Для Китая, Сиама и соседних стран, как и для совокупности всей Африки, прирост хорошо не известен, но путешественники единогласно показывают, что детей в этих странах множество, а потому едва ли можно полагать, что там естественный прирост менее 1 %. На основании этого можно с уверенностью утверждать, что общий прирост человечества в настоящее время если не равен 1 %, то близок, хотя есть сравнительно небольшие страны, подобные Франции, где народонаселение почти не возрастает, и есть народы или их отпрыски или части вымирающие, подобно нашим самоедам или некоторым природным жителям Новой Зеландии и некоторым индейским племенам.
Такое вымирание целых народов или племен под влиянием встречи с другими народами несомненно существовало в прежнее время в огромных размерах. Войны, вытеснение народов друг другом, моровые язвы всякого рода и такие первичные обычаи, как людоедство, действовали в ту же сторону. Все это следует намотать на ус тем, кто, говоря о благе народном, ссылается на времена прошлых периодов человечества.
Численный расчет еще яснее подтверждает это, показывая, что в прошлые времена жизни людей хотя и был избыток земли, размножение людей шло гораздо медленнее, чем идет ныне, и, доказывая этим лучше, чем какими-нибудь другими способами, действительные успехи (прогресс) человечества, так как увеличение наличности действительного прироста народонаселения может происходить только при улучшении общих жизненных условий, при уменьшении гибели части людей и при убыли слез отцов и матерей, видящих погибель детей от недостатков ли питания, или от войн, или от болезней и пороков. Исходя из современного количества жителей Земли, равного 1,6 миллиарда, и из современного среднего прироста в 1 %, легко вывести, что первый миллион людей при современном среднем приросте жил бы не более как за 750 лет от нашего времени, т. е. около 1150 г. по Р. X.7
Несомненно, что человечество, даже китайское, ассирийское, было уже очень многочисленно за 4000 лет до Р. X., т. е. тысяч за шесть до нашего времени. Отсюда несомненно следует, что в эти 6000 лет, несмотря на то что земли приходилось на каждого больше, чем ныне, средний прирост несомненно был ниже современного, а это значит, что древние порядки были не лучше, а много похуже современных и те, которые плачутся о давно прошедшем, вовсе не имеют в виду реального общего блага, руководятся же только слащавыми предрассудками.
Если считать, что прирост сохранится и впредь близким к 1 %, т. е. число жителей всей Земли будет удваиваться примерно в 60–70 лет, то через 100 лет, т. е. к 2000 г., получится жителей на Земле более 4 миллиардов, и тогда теснота будет такая же почти повсюду, как теперь в Германии. Этим численным способом совершенно просто и наглядно, т. е. реально, объясняется причина того, что все передовые страны с густым населением, даже маленькая Бельгия, в наши дни озабочены приобретением колоний. Англия, Франция и Германия и тут стоят впереди всех других народов, а Россия заблаговременно и дальновидно заняла соседние с нею пустыни. Этому же помогают еще в большей мере распространением таких реальных специальных знаний, которые дают и еще более обещают дать как всякие новые полезные занятия людям, так и умножение производительности всей земли. Всего же важнее для общей цели наших статей обратить внимание на то, что нынешний порядок течения дел во всем мире, особенно отсутствие губительных войн, заботы о прекращении распространения повального мора людей (чума, холера), и развитие сношений всех стран по морям и железным дорогам привели к тому, что жить всем людям во всем мире стало немного полегче, чем было еще недавно, и люди стали от этого размножаться больше, чем прежде. Именно тут прежде всего должно искать причину перемены множества прежних основных понятий и необходимости найти новые способы жизни людской (см. Вступление).

Карта Европы в XIX в.
В числе моих заветных мыслей на первом месте стоят вопросы этого рода, оттого с них и начал. Причину перемен, наступивших в мире, нельзя приписать ничему иному, как распространению во всем человечестве того, что называется гуманностью, или человечностью, того, что содержится в понятиях современных реалистов о возможности избежать войн, того, что заставляет заботиться больше о детях, чем было прежде, и того, что содержится в широком понятии о свободе труда. Еще недавно, очень недавно не была видна впереди теснота Земли, а теперь она для зрячего совершенно очевидна, и нельзя отказать Мальтусу в том, что он один из первых ее увидал в будущем. Но он не видел ни того, что наука будет находить возможность расширения всех условий жизни, ни того, что только при тесноте населения и при развитии всяких видов промышленности является совершенно живая насущная необходимость в просвещении, в развитии свободы труда и во всем прогрессе человечества, ни того, что при большой массе людей больше, чем при малом их количестве, затрудняются все те дела, которые вредят обществу и которые дают лишенный необходимости перевес немногим над остальными, ни того, наконец, что вообще, чем теснее, тем дружнее.
Тесноты людей не то что следует избегать, но необходимо искать, чтобы жизнь шла не черепашьим шагом, а скорым, современным, бодрым. Это относится столько же ко всему миру, сколько и к России, если она продолжит Петром Великим завещанный, Александром III реально начатый порядок развития всех видов промышленности, в том числе и земледелия. Если с промышленностью русский народ начнет хоть немного богатеть, как он явно богатеет у меня на глазах в Клинском уезде, то он не перестанет плодиться и еще умножит прирост, тогда всем хватит хлеба если не своего, то покупного, и, удваиваясь примерно в 40 лет (прирост равен 1,4 %), он неизбежно выделит большой процент жителей для развития других видов промышленности и для профессиональной деятельности всякого рода, что вместе с развитием просвещения и составит силу народную, даст возможность поддержать свою самостоятельность и развить свои особенности. Не о задержке прироста здесь может быть речь, а о поддержании его и об умножении условий жизни будущих поколений. О том, что для этого, по моему мнению, особенно важно сделать, и будет говориться в части дальнейших моих статей.
Средняя величина прироста, по всей видимости, хотя и не сплошь, имеет все шансы возрастать до некоторого предела, а затем, по всей достоверности, должна будет или остановиться, или падать, так как для беспредельного роста количества людей несомненно должен существовать предел, определяемый ограниченностью земной поверхности. Но ныне ничто не указывает на близость достижения не только предела прироста общего числа жителей, но и общего числа людей. Во всяком же случае современную эпоху человечества должно считать более благоприятною для возрастания числа жителей, чем какую-либо из предшествующих. Это составляет один из внешних признаков действительности современного прогресса человечества, так как в природе людей, как и всяких организмов вообще, вложено стремление к размножению, и о благе человечества нельзя говорить, не исходя из сведений о количестве народонаселения.
В вопросе о народонаселении после прироста на первом месте во всех отношениях должно поставить распределение жителей по возрастам и полам. Последняя сторона вопроса представляет, однако, интерес, ограниченный в экономическом смысле, потому что повсюду в мире число мужчин и женщин близко друг к другу, иногда немного более, иногда немного менее, что общеизвестно и что определяет, однако, некоторые не особенно существенные экономические явления. Распределение же по возрастам, напротив того, имеет громадное значение во всех социальных отношениях, так как все они определяются трудом людей, а малолетние и старики в нем не могут принимать участия. Какие пределы возраста должно считать работоспособными и трудоспособными – это особый вопрос, видоизменяющийся по географическим и социальным отношениям стран. Есть, например, народы, у которых на стариков возлагается труд правительственного совета, и есть народы, как китайский, где старики представляют экономические единицы, к которым относятся все остальные младшие поколения. В будущем должно ждать, что дети известного возраста, примерно лет до 17, будут заняты сплошь учением, так как сделаться человеком в истинном смысле можно будет со временем, только пройдя все усложняющийся круг готовой человеческой мудрости, без чего нельзя плодотворно прожить.
Если говорить об умеренных и северных климатах, то настоящую трудоспособность должно считать не иначе как в возрасте 20 лет и не позже 60 лет. Здесь рождается очевидный вопрос о распределении людей по возрастам. На первый взгляд, кажется, что оно не может быть сколько-нибудь единообразным в разных странах и условиях, но действительное исчисление ясно доказывает, что оно довольно однообразно в странах, стоящих на близкой степени просвещения, и мало различается даже при глубочайшем различии живущих народов, например у японцев и англичан.
Просвещение и тут играет свою роль главным образом потому, что молодые организмы, в особенности в первые годы жизни у народов непросвещенных и небогатых, вымирают в большем количестве не только от недостатка медицинской помощи и от лишений, но главным образом от неразвитости матерей, на которых лежит естественная обязанность ухаживать за детьми малого возраста, если отцы обязаны добывать средства для всей семьи.
Но там, где степень образованности и богатства народного близки между собою, там распределение по возрастам оказывается поразительно сходственным. Для показания этого из множества имеющихся данных избраны мною числа подробных переписей Германии и С.-А. С. Штатов. Но в этих последних, как всякому известно, немалый процент жителей составляют негры, индейцы и переселенцы разных стран, и этих последних, очевидно, нельзя ставить в один разряд с жителями, родившимися в самих Штатах. В этом отношении американские переписи дают всю возможность сделать различение, и приводимые ниже числа относятся лишь к белым жителям штатов, родившимся в них от матерей и отцов – уроженцев самих Штатов.
Приводимые далее числа (табл. 1) взяты не из последней переписи Штатов (1900), а из предшествующей, 11-й переписи 1890 г., так как тома последней переписи дошли до меня лишь недавно.
Таблица 1

По 11-й переписи, всех жителей в 1890 г. было 62,6 млн, но в их числе природных белых жителей от матерей и отцов, в Штатах родившихся, было только 34,3 млн, и вот они-то сочтены в нашем дальнейшем расчете (исключая лишь 47 тыс. жителей неизвестного возраста). В прилагаемой табл. 1 для Германии и Штатов приведены не только абсолютные числа в тысячах жителей каждого возраста, но и процентные количества лиц каждого возраста, чтобы дать легкую возможность сделать сличение. Ввиду сходства процентных чисел в последнем столбце дан средний процент возрастного состава.
Исходом в первом столбце служит возраст, считая 5 лет за единицу, и если стоит, например, число 30–35, то это значит, что табличное число показывает число жителей в возрасте более 30 лет, но менее 35 лет. Приводить же числа по годам, например от 1 года до 2 лет или от 30 до 31 года, было бы не только неудобно по множеству чисел, но и непоучительно, потому что какой-нибудь правильности можно ждать только от средних больших величин, а в мелочах и частностях можно подразумевать всегда мелкие неправильности, зависящие от множества обстоятельств, например от недородов в известные годы, от войн, от присоединения новых областей и т. п., что падает на определенные времена, отвечающие рождению лиц данного возраста. Такие частные влияния до некоторой степени сглаживаются, когда в таблицах приведено количество людей в возрасте, различающемся на 5 лет, как это сделано в прилагаемой таблице. Притом не подлежит сомнению, что точность показания возраста при переписях сравнительно невелика, так как точная проверка о возрасте каждого жителя совершенно невозможна.
Если же взять пятилетний промежуток, то, деля число жителей каждого возрастного периода на 5, мы получим число жителей в среднем возрасте, например из числа жителей 30–35 получим, деля на 5, число жителей в возрасте от 32 до 33 лет, что и обозначено далее чрез 33. При этом делается, конечно, предположение, что в течение 5 лет возрастание идет арифметически пропорционально годам, т. е. выражается линейным образом по годам. В частности, т. е. в узком пределе лет, это всегда можно допустить, принимая во внимание возможные погрешности каждого отдельного числа, отнесенного к году
Выражаясь алгебраически, всякую небольшую долю кривой линии можно представить в виде прямой линии. Но это, конечно, не относится ко всей совокупности чисел, потому что они выражаются не прямою, а кривою линиею, которая одна и представляет свой особый интерес, выражая собой изменчивые отношения между числом лет п и числом жителей данного возраста, которое мы означаем через у. Отношения этих чисел мы далее рассмотрим, приведя исходную таблицу. Оригинальные числа для Германии взяты из «Statistisches Jahrbuch für das Deutsche Reich für 1900», с. 3, а для Штатов – из «Abstract of the eleventh census 1890», c. 58.
Из приведенной табл. 1 видно, что относительное (процентное) число жителей разного возраста в Германии и Штатах чрезвычайно близко, отчего и можно было взять среднее и в этом среднем у, отнесенном к определенному году п, можно ждать уже сглаживания частных погрешностей отдельных переписей, потому что среднее относится к 85 млн жителей. Этого же среднего, до некоторой степени сглаженного результата можно достичь еще лучше, складывая первоначально абсолютные числа для Германии и Штатов и выводя из этой суммы указанный результат по годам n через 5 лет. Так и сделано во второй таблице, в столбце, обозначенном через y, выражая опять число жителей в процентах. Числа этого столбца, конечно, очень близки к числам последнего столбца предшествующей таблицы. Но в них все же должно ждать ряд разных мелких погрешностей, неизбежно свойственных как самим, так и рассчитанным из них результатам.
Полученные таким образом числа для у приведены в табл. 2 в столбце со знаком у. Сличение этих чисел с ранее выведенными показывает, что разность между ними очень невелика и касается только десятых долей процента, что допустимо уже по необходимости ждать в переписях лишь относительной точности, так как абсолютная точность ни в этих, ни в каких опытных числах по самому существу невозможна.
Таблица 2

Желая узнать сущность закона распределения жителей по возрастам, остановимся над соотношением полученных у и n. Для них необходимо ждать еще некоторых отступлений, зависящих в данном случае например от того, что в 60-х годах в Америке господствовала междоусобица между северными и южными штатами, а в то же время Германия вела войну с Австрией и к началу 70-х годов вела большую войну с Францией, что должно было нарушать не только стройность чисел рождаемости, но и смертность для лиц в зрелом военном возрасте, а это должно отразиться на числе жителей, родившихся в этих и следующих годах (т. е. для лиц, имеющих при переписи 30–40 лет), и на числе мужчин в возрасте около 50–60 лет, потому что они были во время этих войн в цветущей молодости, преимущественно падавшей во время войн. Не умножая подобных примеров, должно ясно сознавать, что наблюдение и расчет должны между собой немного отличаться, если отыскивается закон нормального распределения по возрастам, который один представляет свой научный интерес.
Но и указанные отступления от нормы не должны, по существу, превосходить некоторого, притом небольшого, предела; например, не должны касаться целых процентов, а ограничиваться их долями, потому что числа извлечены из целого числа миллионов, а отступления касаются только сотен тысяч. Сколько мне известно, еще никто не принимался за вопрос о нормальном законе распределения числа жителей по возрастам, и если я решаюсь приняться за такой трудный новый опрос, то лишь по той причине, что верю в закон больших средних чисел и в правильность всяких отношений, кажущихся на первый взгляд зависящими лишь от частной воли и от случайного сцепления обстоятельств. Эта уверенность внушена долгим изучением явлений природы, а оно приводит к заключению, что все крупное общее среднее всегда оказывается закономерным, хотя всегда состоит из ряда мелочей, носящих на первый взгляд капризный индивидуальный характер.
Максвелловская теория газов – лучший пример для этого, и я не упущу случая внушить молодежи склонность к изучению представлений, подобных максвелловским, если хотят разобраться в вопросах социологии. Не желая усложнять изложения, я ограничиваюсь этим намеком и обращаюсь к примеру распределения народонаселения по возрастам как к такому, в котором можно уже видеть значение общих крупных чисел и закономерную в них стройность. Ведь механику, физику, химию изучали вначале исключительно приемами качественными и описательными, причем были, в сущности, рабами действительной природы, а понемногу становятся ее господами, подмечая присущую явлениям этого рода закономерность. Ведь и там изучению подлежат лишь частности, и всякое измерение сопряжено с неизбежными погрешностями, а общее крупное оказывается состоящим из данного числа капризных мельчайших отдельностей, в крупном же общем среднем все эти мелкие капризы исчезают, и тогда выступает основной, Божеский закон, который один делает рабов действительными господами предпринимаемого и предстоящего.
Не только в переносном, но и в подлинном смысле отдельный человек есть не что иное, как атом, и в совокупности людей, т. е. в крупных числах, до них относящихся, должно ждать такой же простоты и правильности, как в числах, получаемых от так называемой мертвой природы. Вот одна из тех заветных моих мыслей, которую очень желательно мне внушить будущим поколениям русского юношества, приложение которой к действительности я желал бы демонстрировать при помощи данных о народонаселении, и прежде всего о распределении по возрастам. Беглый взгляд на графическое выражение зависимости между у и n показывает уже, что они расположены по стройной, или, как привыкли выражаться математически, правильной, кривой линии. Найти законность – значит найти алгебраическую зависимость между у и n, т. е. между возрастом и числом жителей этого возраста. Геометрические соображения простейшего свойства показывают, что первое приближение к истине получится уже тогда, когда эту зависимость представим в виде вертикальной параболы, т. е. выразим:
у = А + Вn + Сn2 (I)
где А, В и С – суть постоянные числа, а y и n – переменные (ординаты и абсциссы кривой). Ни одной минуты я не думаю, что такое выражение есть окончательное и вполне точное, утверждаю только, что оно очень близко удовлетворяет действительности и отступает от нее лишь на величины недалекие, подобные разностям между у 1-й и 2-й таблиц. Числа, разочтенные по формуле, приведены в последних столбцах табл. 2. Сходство вычисленных и наблюденных у наглядно показывает степень применимости вышеозначенной формулы.
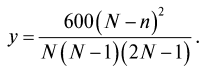
Для ее нахождения, т. е. для определения числовых значений коэффициентов А, В, С, очевидно, достаточно трех данных, а их гораздо более. Каждые три данные у и n дадут свои коэффициенты, нужно найти некоторые вероятнейшие А, В и С и можно было бы руководствоваться при этом правилами способа наименьших квадратов, а так как n равно отстоят друг от друга, то можно было бы прибегнуть к известному приему моего покойного друга П. Л. Чебышева, развитому мною при исследовании колебания весов. Но в данном случае есть два соображения, упрощающих дело.
Во-первых, n есть число не беспредельно большое, а ограниченное некоторым пределом N, показывающим тот средний наибольший возраст, примерно около 100 лет, до которого доживают люди в настоящее время и при котором их число впадает в пределы точности опытных чисел и выводимой формулы8. Следовательно, при n = N величина у может быть принята равной нулю. В то же время должно признать прямо, судя по числам и действительности, что у, или число жителей, достигает при возрасте N своей наименьшей величины, а потому на основании известного закона минимумов В + 2Сn при этом равно 0, т. е. В = – 2CN. Во-вторых, выражая у в процентах, очевидно, что сумма всех у от 0 до N = 100, что разрешает отношение между С и N и приводит к следующему выводу, касающемуся А, В и С в формуле (I), а именно9:

Подставляя эти выражения для А, В и С в уравнение (I), получим:

Это показывает, что по первому приближению, или первой законности в распределении числа жителей по возрастам, значение у-ов исчерпывается знанием n-ов и одним постоянным предельным возрастом N, а через это нахождение всей зависимости между у и n упрощается до крайности, т. е. из каждого отдельного значения и соответствующего ему n получается свое N. Если N расчесть на основании данных для малых возрастов, то выходит N не менее 110, даже до 115 лет. Если же это сделать на основании чисел уже стариков, то N выходит не только гораздо меньшим, но даже меньшим 100 лет, показывая этим, что в последние десятилетия вместе с возрастанием прироста (с отсутствием войн, развитием просвещения и пр.) увеличились условия для продолжительности человеческой жизни.
Это определяется, по всей вероятности, не столько успехом медицины и гигиены, сколько развитием благосостояния и уменьшением шансов погибнуть в зрелом возрасте, не доживая до старости; получаемые для разных значений n величины предельного возраста N, очевидно, не могут быть тождественны между собою и тем ближе к истине или вероятнейшему, чем более величина у. На основании этого и рассчитана средняя величина N, и она оказалась лежащею вблизи от N= 105 до N = 110 лет для той совокупности данных, которые взяты из приведенных выше переписей Германии и Соединенных Штатов. Подставляя эти числа, получаем
у = 0,000×2629(105 – n)2;
у = 0,000×2285(110 – n)2. (III)
Числа, рассчитанные по этим выражениям, приведены в последних столбцах табл. 2. Необходимость привести два ряда разочтенных чисел отчасти еще выясняется из последующего изложения.
Сличение разочтенных чисел с наблюдением для у-ов показывает, что наши выражения (I) или (II) вообще, а в частности (III) для Германии и Штатов недалеко отступают от действительности, т. е. что распределение населения по возрастам довольно точно выражается параболою 2-го порядка, т. е. в таком деле, как распределение по возрастам, господствует в норме при данных условиях правильная общая закономерность, что и требовалось показать для того, чтобы понемногу вселять убеждения в правильной закономерности социальных отношений, кажущихся капризными и сбивчивыми. Для показания этого же общего начала я приведу еще одно доказательство, относящееся к общему числу жителей С.-А. С. Штатов, но предварительно считаю не лишним остановиться над некоторыми обстоятельствами, относящимися к возрастному распределению.





