Путешествие в квантовую механику

- -
- 100%
- +

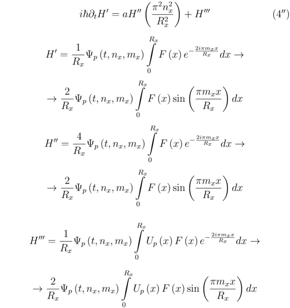
Примечательно, что в равенстве (4*) присутствуют общие экспоненциальные множители e-2iπ∞x/Rxe-2iπ∞x/Rx,…,e2iπmxx/Rxe2iπnxx/Rx,…,e2iπ∞x/Rxe2iπ∞x/Rx, от которых необходимо избавиться, оставив в результате только несокращаемые коэффициенты Фурье H`, H`` и H```. Теперь выполним несколько математических преобразований:

После чего разделим безразмерные переменные в уравнении (4``) относительно комплексного параметра Ψp (t, nx, mx), тогда:

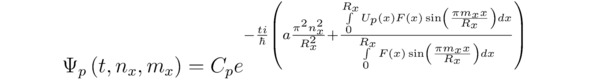
Напоследок, прибегая к тождеству ограниченности вероятности ∫-Rx0Rx0ΨΨ*dx=1, возьмём определённый интеграл ∫-Rx0Rx0ΨΨ*dx. В рассматриваемом примере подобранные коэффициенты Cp и Cp* не будут зависеть от времени t, поскольку сумма ∑p|Cp|2 останется постоянной ∑p|Cp|2=∑pCpCp*=1 в том случае, когда t=0 и/или все Ep∈R. Бесспорно, область определения действительной части волновой функции Re (Ψ) расположится на отрезке [0,Rx]. Вместе с тем для математической константы Rx возможно задать абсолютно любое положительное значение, удовлетворяющее равенству Rx=2Rx0/Ox. Неудивительно, что в рамках настоящей теории непрерывные выражения Ψ и Ψ* являются периодическими, а их графики y=Ψ (x) и y=Ψ* (x) симметричными или асимметричными относительно оси ординат y, следовательно:


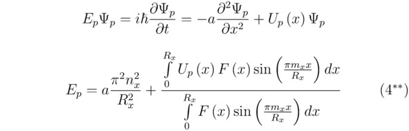
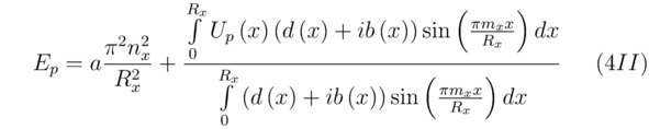
Наконец, отталкиваясь от выведенного ранее одномерного нестационарного линейного уравнения Шрёдингера, рассчитаем полную энергию Ep находящегося в состоянии Ψp электрона, тогда:

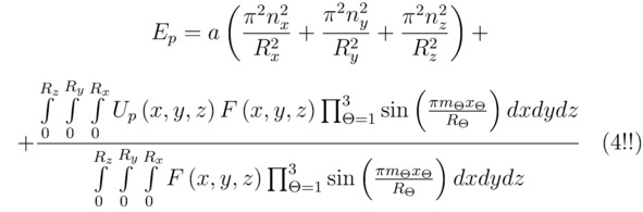
Для трёхмерного базиса (x,y,z) интересующая нас величина Ep составит:

Если в формуле (4**), полученной для полной энергии Ep, произвольная функция F (x) не сократится, то найденный параметр Ep по факту окажется неопределённым (при Up (x) ≠const). Таким образом, опираясь на предложенную в данном параграфе методику, можно констатировать, что абсолютно все выраженные в общем виде соотношения E1, Ep и другие, похожие на эти, будут зависеть в том числе и от степени вариативности случайных процессов, протекающих в исследуемой физической системе. В стационарных условиях, когда Ep=const, левые и правые части тождеств (4**) и (4!!) примут фиксированные во времени t значения.
4.2 Кот Шрёдингера. Коллапс волновой функции
Если функции ψ1 и ψ2 являются волновыми, то их линейная суперпозиция ψ3 = c1ψ1 + c2ψ2 описывает некоторое состояние изолированной от внешнего воздействия квантовой системы. В том случае, когда измерение определённой физической величины f` в состоянии ψ1 приводит к результату f1, а в состоянии ψ2 – к результату f2, тогда измерение состояния ψ3 приведёт к результатам f1 или f2 с вероятностями |c1|2 и |c2|2 соответственно. Конечно, произвольно заданная комбинация частных аналитических решений того или иного нестационарного линейного уравнения Шрёдингера c1ψ1, c2ψ2, cpψp и всех оставшихся всегда может быть представлена как сумма эквивалентных им волновых функций ∑pΨp.
Совершенно ясно, что концепция мысленного эксперимента, связанного с котом Шрёдингера, заключается в следующей идее. Сперва в ящик помещаются банка с ядом, молоточный механизм с детектором и изначально живой кот. Естественно, что в ходе ядерной реакции срабатывает детектор, приводящий в движение разбивающий сосуд с ядом молоточный механизм, после чего кот умирает. Согласно квантовой механике, если над ядром не производится наблюдение, то его состояние описывается суперпозицией 2-х состояний: распавшегося и нераспавшегося. Между тем кот, сидящий в ящике, окажется и живым, и мёртвым одновременно. Если же ящик открыть, то экспериментатор сможет обнаружить только какое-нибудь одно конкретное состояние: «ядро распалось, кот мёртв» или «ядро не распалось, кот жив».
Немаловажно отметить, что в квантовой механике коллапс волновой функции Ψ возникает тогда и только тогда, когда обобщённая комплекснозначная величина Ψ (первоначально выраженная в виде суперпозиции нескольких собственных состояний Ψ=∑pΨp) сводится к одному собственному состоянию Ψp по причине взаимодействия изучаемой здесь физической системы с внешним миром. В дальнейшем это взаимодействие мы будем называть «наблюдением» или «измерением». Под нормированной суперпозицией ∫-Rx0Rx0ΨΨ*dx=1 понимается приравненная к единице сумма проинтегрированных по dx надлежащих плотностей вероятностей ∑p∫-Rx0Rx0ΨpΨp*dx=1, которые допустимо считать взаимно зависимыми. Безусловно, всякая объединённая волновая функция ∑pΨp, несмотря ни на какие обстоятельства, будет продолжать подчиняться тому или иному линейному нестационарному уравнению Шрёдингера, точно так же как и сама величина Ψp.
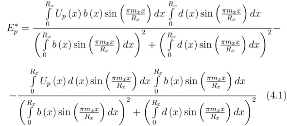
В 1927 году Вернер Гейзенберг использовал идею редукции волновой функции ψ для объяснения квантового измерения искомой нормированной вероятности |cp|2. Однако в этом параграфе будет показано, что коллапс – это фундаментальное физическое явление, которое возможно обосновать математически, опираясь на общее аналитическое решение того или иного нестационарного линейного уравнения Шрёдингера Ψ. Кстати говоря, сами вычисления нужно производить в трёхмерном комплексном пространстве. Тем не менее для упрощения расчётов мы выберем одномерный случай. Пусть F (x) =d (x) +ib (x), следовательно:


Несомненно, квадрат модуля коэффициента |Cp|2 будет определять начальную нормированную вероятность |cp|2 локализации соответствующей частицы в состоянии ψp. Действительно, постоянный член aπ2nx2/Rx2, входящий в состав формулы (4II), всегда можно опустить, поскольку выше было положено условие зависимости полной энергии Ep от произвольно заданной функции F (x). Для того чтобы осуществить дальнейшие математические преобразования, необходимо в первую очередь выделить вещественную часть Re (iEp) из отыщенного ранее выражения (4II). Допустим, что E*p=Re (-iEp), тогда:

Суперпозицию квантовых состояний Ψ=∑p=1S`Ψp удобно представить так:


где S` – полное количество возможных состояний изучаемой в данный момент физической системы C10
Конец ознакомительного фрагмента.
Текст предоставлен ООО «Литрес».
Прочитайте эту книгу целиком, купив полную легальную версию на Литрес.
Безопасно оплатить книгу можно банковской картой Visa, MasterCard, Maestro, со счета мобильного телефона, с платежного терминала, в салоне МТС или Связной, через PayPal, WebMoney, Яндекс.Деньги, QIWI Кошелек, бонусными картами или другим удобным Вам способом.





