Бизнес в стиле распил. Куда уходят богатства Родины

- -
- 100%
- +
• религиозного;
• морально-этического;
• культурного, обобщающий позитивный опыт предыдущих поколений;
• правового;
• политического.
Отечественная пятая колонна и вышедшие из ее рядов «специалисты» экономического блока российского правительства, продолжают убеждать вопреки очевидному, что стихия рынка – смысл их и нашей жизни. То есть во главу угла они ставят регулятор самого низшего 6-го уровня – экономический.
Другие надеются решить все проблемы путем банальной замены регулятора. Мечтая о чудодейственной палочке-выручалочке, они тщетно ищут тот самый заветный. Например, президент России Дмитрий Медведев пытается выстроить отношения в обществе на основе правового регулятора (регулятора 4-го уровня). Копируя в речах и делах первого и последнего президента СССР, Медведев, естественно, наследует и его главную управленческую ошибку.
Другой преемник, Владимир Путин, вслед за Юрием Андроповым уповал исключительно на политические методы, представляющие собой регулятор еще более низкого, 5-го уровня.
Сегодня лидеры США, Европы и России, на наш взгляд, совершают одни и те же ошибки. Прежде всего, у них нет понимания, что гармонизировать отношения в обществе на основе лишь какого-то одного из существующих социально-экономических регуляторов принципиально невозможно. Положительный синергетический эффект может дать только их целостная, неделимая система. Кроме того, их попытки игнорировать закон незаменяемости социальных норм, когда социальный регулятор более высокого уровня невозможно заменить регулятором более низкого уровня, противоречат всему нашему историческому опыту.
Ведь право не работает, если общество считает, что власть имущие попирают законы Божии, законы совести и морали, оскорбляют память предков. Пытаясь навязать нашему народу чуждые ему духовные и морально-нравственные ценности, власть рубит сук, на котором сидит. Следовательно, судя с чисто прагматической точки зрения, в Кремле надолго воцарится лишь тот правитель, который сможет разрешить это основное противоречие российского общества. Только тогда должным образом заработает право и вся политическая машина государства.
Социальные нормы и возможности управленческого манипулирования
Таким образом, мы видим, что традиционные общества оказываются более устойчивыми к внешним воздействиям и имеют больший запас прочности. Ислам и христианство становятся важным ресурсом выживания народов, так же как и великая тысячелетняя культура России, ее героические воинские и подвижнические традиции, пассионарный дух нации.
У нас есть убедительное историческое доказательство невозможности замены социальной нормы более высокого иерархического уровня нормой более низкого уровня. Речь идет о декларативной отмене в 1917 году в России религиозной, моральной и соответствующих им по содержанию норм права и институтов, включая институт семьи и частной собственности. Замена данных норм так называемой «революционной целесообразностью» и «красным террором» поставила саму жизнь и свободу каждого гражданина страны в зависимость от воли и прихоти узкой группы лиц, захвативших управление страной. Управленцев, считавших вполне допустимым вводить институт заложников или расстреливать сотрудников за пятнадцатиминутное опоздание. Естественно, частично оправившись от первой волны террора, общество начало последовательно восстанавливать иерархию социальных норм.
Нормы более высокого иерархического уровня невозможно подменить нормами более низкого иерархического уровня. Когда в СССР общество вплотную подошло к необходимости восстановления высшей, религиозной нормы (которую «моральный кодекс строителя коммунизма» заменить так и не смог), наступил логический конец государства нового типа, как ни пытался рационально мыслящий режим подменить вопросы веры умозрительной экономической утопией.
Сегодня аналогичную попытку объявить безусловный примат противоположных по смыслу экономических ценностей предпринимают мировые биржевые и финансовые элиты. Многочисленными исследователями проведен детальный анализ деятельности основных институтов глобализации и представлено обоснование их несостоятельности, в первую очередь, бреттонвудс-ких институтов (в лице Мирового Банка – МБРР, МВФ, ГААТ и его сегодняшнего преемника – ВТО), основы политики которых определяют известные закрытые мировые центры принятия решений.
Во всех странах уже появились конкретные научные, образовательные и пропагандистские национальные структуры, которые отнюдь не безвозмездно профессионально обслуживают их интересы (по принципам связанности и зависимости определить, чьи интересы представляют те или иные российские институты, организации и специалисты – легко разрешимая задача).
Шестьдесят лет всему миру активно навязывают систему суррогатных ценностей; пытаются выдать собственные узкогрупповые интересы за интересы всего мирового сообщества, отдельных наций и народностей; превращают деньги в новую всемирную религию. Игнорируя закон незаменяемости социальных норм, мировые биржевые и финансовые элиты тем самым закладывают основу не только глубокого экономического и политического кризиса, но и серьезнейшего мировоззренческого кризиса во всем мире.
Невозможность подмены религиозной нормы (регулятора) формальными институциональными как частное проявление закона незаменяемости социальных норм, с одной стороны, внушает традиционным обществам исторический оптимизм, а с другой – вооружает народы важным критерием идентификации начала осуществления чьей-либо управленческой интервенции. Заметим, что издержки на временную нейтрализацию действия социальной нормы возрастают в строгом соответствии с ее иерархическим уровнем.
Как правило, институциональные формы в той или иной степени адекватно отражают опыт прошлого или гипотетические представления власть имущих об оптимальном пути развития общества, либо, напротив, говорят о сугубо утилитарной реализации собственных интересов. Вместе с тем, любые формы общественной деятельности могут быть соотнесены с ценностными и моральными установлениями, такими, как вера, традиции, обычаи, нормы морали, неписаные корпоративные стандарты. Эти установления могут задавать действенные критерии оправданности и целесообразности определенных институциональных форм и регуляторов.
Однако в ситуации деформации моральной и социально-культурной составляющих жизни общества, обусловленной коренными общественными трансформациями, или при искусственном ослаблении религиозных и моральных принципов вплоть до их полной дискредитации, институциональные ограничители становятся единственным регулятором конкретных видов деятельности, например, экономической или политической. При этом внутренний авторитет общественных норм и правил подменяется внешним, мораль перестает быть критерием справедливости, единственно верным «высшим мерилом и руководителем» права и других институциональных ограничителей.
В этом случае право и другие ограничители оказываются важным ресурсом для извлечения дополнительных доходов в интересах управления. В противном случае издержки на преодоление моральных и религиозных ограничителей делают саму идею негласного перераспределения экономически несостоятельной и нецелесообразной.
Коррупция – лишь верхушка айсберга
На самом деле, народ уже давно понял то, что ученые лишь пытаются сформулировать – руководствуясь собственными интересами, структуры управления научились извлекать из несовершенства общественных механизмов дополнительный доход. Впрочем, в данном контексте вовсе не обязательно говорить именно о несовершенстве, имея тем самым в виду, что устранение каких-то организационных дефектов могло бы окончательно решить вопрос о пресечении корыстной мотивации в деятельности управленцев. Такая постановка вопроса, как уже сказано, на наш взгляд, является утопической и малоплодотворной. Более оправданным – и в теоретическом, и в практическом смысле – было бы указание на специфику институционального обеспечения экономической деятельности как на основу и исторически конкретную предпосылку дополнительного дохода менеджеров.
Знание специфических характеристик институциональных механизмов, своего рода посвященность в них, легко конвертируется в реальные ценности. Исходя из этого, отечественный экономист И. Дискин вводит понятие «институциональной ренты», соотнося особые финансовые возможности менеджеров (а также чиновников госучреждений, так или иначе включенных в процесс регулирования экономических процессов) с исключительным положением, занимаемым ими в институциональной сети, со знанием того, «как все это работает». Именно в этом ракурсе, по его мнению, можно адекватно поставить вопрос о коррупции.
Такой подход представляется весьма перспективным. В то же время, мы предлагаем содержательно расширить понятие институциональной ренты, введя понятие управленческой ренты. Имеется в виду совокупный доход управленца за вычетом официально декларируемого вознаграждения (классическая рента XIX века с материальных активов, номенклатурная, административная, профессиональная, институциональная, криминальная рента, рента с интеллектуального капитала – капитала знаний за вычетом заработной платы, бонуса и социального пакета). Соотношение вышеперечисленных составляющих управленческой ренты – важнейшая характеристика системы приоритетов управленца, лучший его портрет.
Далеко не весь объем этого дохода является прямым следствием коррумпированности. Более того, следует, по-видимому, различать его непосредственную и опосредствованную составляющие. Так, управленец, опираясь на знание того, «как все это делается», может предпринимать определенные действия, не приносящие ему прямого дохода в данный момент, но имеющие своим результатом упрочение правового, институционального, финансового положение близких ему групп, поддержание и укрепление статуса тех или иных социальных образований кланового характера.
Это позволяет в ряде важных моментов по-новому взглянуть на проблему дополнительного дохода управленцев. Во-первых, наличие в нем опосредствованной составляющей делает его во многом не узколичным, но групповым. Речь идет о выделении особой социальной страты, обладающей собственным, в сильной степени консолидированным интересом. Управленческая рента – это явление общественного характера. Это существенная системная характеристика функционирования современных постиндустриальных обществ. Если говорить совсем коротко, то основой существования особой страты управленцев является наличие самих институциональных структур. Институты управления становятся инструментом извлечения дохода, своеобразным «средством производства».
Более того, управленца в современных условиях можно рассматривать как историческую вариацию традиционной фигуры частного предпринимателя: извлекая дивиденды из специфики функционирования институциональных механизмов и несовершенства функционирования общественных механизмов, управленец может на свой страх и риск пройти по касательной к ним, какой-то частью траектории своей деятельности (бизнес-проекта) выходя за рамки правового поля. В этом состоит его специфический «предпринимательский риск», если воспользоваться термином Йозефа Шумпетера. Здесь уже на уровне личности возникает серьезный конфликт интересов: интересов наемного менеджера и индивидуального предпринимателя (хотя бы в области управления ранее заработанными активами).
Прогрессирующая институционализация экономической сферы общественной жизни закрепляет суверенитет этой страты. В этой связи надо пересмотреть общепринятый подход к проблеме коррупции, при котором она рассматривается как некий устранимый дефект функционирования институциональных структур. Коротко говоря, этот подход сводится к тому, что коррупция есть результат отсутствия должного контроля, ошибочной нормативной базы и чьей-то личной моральной нечистоплотности. Признавая важность всех этих факторов, мы все же считаем, что такой подход уводит нас в сторону от существа обсуждаемой проблемы. Доход от коррупции – лишь явная и, видимо, не самая главная составляющая совокупного дохода управленцев, разделенного на отдельные, частные управленческие ренты. Это лишь верхушка айсберга.
С другой стороны, подчеркивание и искусственное раздувание проблемы коррупции выполняет идеологические функцию: оно смещает внимание общества с целостной проблемы институтов (под институтами понимаются устойчивые нормы и правила поведения людей, их традиции и представления) как источника все более возрастающей в своем объеме управленческой ренты на ее экстремальное и достаточно частное проявление – коррупцию, реализуемую чаще всего в форме прямой дачи взятки.
Вопросу о месте доходов от коррупции в общем составе управленческой ренты может быть дано и другое освещение. Являясь феноменом глобального характера, затрагивая все индустриальные (и особенно постиндустриальные) общества, управленческая рента, в то же время, в различных социально-экономических условиях приобретает специфическое содержание. На механизмы ее формирования отчасти накладывается уникальная для данной страны историческая традиция, страновая, региональная и отраслевая специфика.
Например, замораживание Н.С.Хрущевым в 1956 году заработной платы отечественных директоров, ученых и специалистов привело к замещению в составе управленческой ренты доли постепенно утрачиваемой части легально получаемых благ коррупционной рентой. В масштабе целой страны начали инициироваться глобальные проекты (такие как поворот рек, освоение целины, БАМ и, в конечном счете, проект «Перестройка»), которые позволяли значительному кругу заинтересованных лиц извлекать дополнительные доходы.
Как результат, сегодня в России при недостаточно оформившейся институциональной структуре коммерческой деятельности и дефиците правовых механизмов ее регламентации именно коррупция, так сказать, в «чистом виде», занимает доминирующее положение.
Коррупция ведет к переделу собственности
Нынешнее сообщество управленцев еще недостаточно консолидировано. Его корпоративная идеология (идеология менеджеризма) находится в стадии формирования. В этой ситуации сиюминутный интерес конкретного управленца часто оказывается превалирующим и склоняет его к коррупционным формам поведения, а дисбаланс интересов, как правило, превышает допустимые законом пороговые значения. В этом случае криминальная рента подлежит изъятию в доход государства или в качестве средств возмещения неоправданной утраты капитала и стимулирования труда. При отсутствии внешних и внутренних ограничителей в России действие основного закона управленческого империализма объективно ставит за грань закона большинство предпринимателей, которые считают возможным «делать деньги», не признавая правовые принципы.
Следовательно, сам бизнес закономерно подводит нас к необходимости восстановить правовой порядок в стране. Можно закрыть глаза на все преступления, совершенные в ходе приватизации, и даже провести амнистию, но это, в принципе, не решает возникшую проблему. Ведь следом за приватизацией в стране развилась и приобретает все больший масштаб тенденция массового совершения других преступлений в сфере экономики: в первую очередь используется механизм трансфертного ценообразования и сокрытия (экспортной) выручки, а также искусственное завышение себестоимости и фиктивные сделки.
Много лет изучая слияния и поглощения, мы пришли к неутешительному выводу: сегодня в России практически нет предприятий, где не совершались бы серьезные экономические преступления. По оценкам только нашего экспертного сообщества, насчитывается свыше 700 тыс. подобных предприятий. Подобное положение, обусловленное действием закона замещения интересов, для большинства российских бизнесменов объективно порождает риск потери свободы и основного капитала, с неизбежностью предопределяя новый серьезный передел собственности в России.
Тем не менее, можно утверждать, что доля коррупционной, «грубой» составляющей в общем объеме управленческой ренты будет постепенно уменьшаться. В этом, собственно, и состоит процесс повышения «цивилизованности» рыночных отношений. Примитивные способы присвоения будут замещаться более тонкими технологиями, менее уязвимыми с правовой точки зрения и, в конечном счете, более эффективными. Однако это процесс достаточно длительный.
Так или иначе, но наблюдаются определенные вариации степени криминогенности различных секторов рыночного пространства. Характерным примером может служить наше исследование строительного рынка России и Москвы, где действие рыночного механизма в значительной степени замещено действием структур влияния. Не секрет, что даже криминальные авторитеты со временем стремятся к приобретению респектабельности, вкладывая свои средства в доходный и сравнительно «чистый» бизнес. Как известно, проблема отмывания доходов давно приобрела общемировой характер. Она не сводится к выяснению криминального прошлого тех или иных физических лиц. Куда важнее и труднее установить фактическую зависимость между различными, на первый взгляд не связанными формами бизнес-практики.
Речь идет о фиктивной дезинтеграции бизнеса, когда сравнительно «чистая» коммерческая деятельность на уровне управления и циркуляции денежных средств оказывается связанной с криминальной деятельностью. Разработанная нами методология теории матриц влияния, даже при существующих сегодня весьма несовершенных критериях определения связанности сторон в российском законодательстве (например, ст. 20 и 40 НК РФ) и международных стандартах финансовой отчетности (МСФО № 24), дает эффективные средства для установления фактов такой зависимости.
В теоретическом плане это позволяет по-новому поставить и решить проблему субъектности в экономической сфере. Однако еще более важными представляются практические результаты. Алгоритм системного сопоставления выявленных схем реального бизнеса с институционально допустимыми пороговыми ограничениями позволяет в течение короткого срока в масштабе всей страны решить проблему устранения фиктивной дезинтеграции бизнеса со всеми вытекающими из этого правовыми и экономическими последствиями.
Вопрос нашего выживания
В 2011 году под справедливым лозунгом народной борьбы с коррупцией США и другие крупные игроки глобализации во многих странах с разным уровнем жизни и разными политическими системами начали апробировать нелегитимную смену власти. Очевидно, мы с вами становимся свидетелями нового этапа глобального передела мира. Он был затеян мировой финансовой элитой с целью окончательного уничтожения немногих сохранивших суверенитет национальных финансовых систем, а также для того, чтобы получить доступ к ключевым энергетическим и сырьевым ресурсам. При этом глобальные игроки и контролируемые ими спецслужбы активно используют социальные технологии шестого технологического уклада, когда в искусственно пробуждаемую стихию массового протеста грамотно подается управляемое точечное корректирующее воздействие.
Вместе с тем, для организации искусственного социального взрыва применяется и ряд известных еще с древних времен приемов и техник. Прежде всего, необходимо найти и с помощью «пятой колонны» перевести в антагонистическую стадию одно из накопившихся в обществе реальных противоречий. При этом используются три китайских стратагемы: «Чтобы нейтрализовать разбойников, надо поймать их главаря» (выбор противоречия); «Возвратный шпион» (использования «пятой колонны» и принципа «разделяй и властвуй»); а также стратагемы «Красавица» в номинации «Коррупция».
Причем сегодня выбираются исключительно жесткие сценарии устранения «предводителей разбойников». Особо показательна судьба свергнутого президента Египта Хосни Мубарака, которая, как публично пригрозил премьер-министру РФ В.В. Путину бывший кандидат в президенты США Д. Маккейн, должна стать для него предостережением. От себя добавим – как и казнь 30 декабря 2006 года президента Ирака Саддама Хусейна или смерть в застенках трибунала ООН президента Югославии Слободана Милошевича. При реализации стратагемы «Красавица» во главу угла ставятся не классические плотские бомбы (как это было сделано, например, в отношении премьер-министра Италии Сильвио Берлускони или главы МВФ Доменико Стросс-Кона), а, прежде всего – коррупция. Во-первых, по-видимому, с целью экономии средств на организацию переворотов и, во-вторых, для банального «выпуска пара».
Социальные управляемые войны, очевидно, не ограничатся регионом Большого Ближнего Востока и Северной Африки. Высокая степень риска их реализации в России ставит под вопрос возможность самого проведения президентских выборов 2012 года. Вот почему сегодня особенно актуальной становится задача скорейшего искоренения системной коррупции в России, нейтрализация этого главного детонатора искусственных социальных взрывов качественно нового типа.
Поэтому уничтожение всех паразитарных звеньев как в цепочке от производителя до конечного потребителя, так и в системе управления – сегодня вопрос нашего с вами выживания. Суть нашего подхода, как уже говорилось, очень проста: сочетание различных интересов порождает и различные схемы ведения бизнеса. Именно экономические интересы являются ключом для понимания логики любого группового проекта. Конкретные группы интересов порождают соответствующие «чудеса» в контрактах, проявляются в системе ценообразования, условиях поставки и т. д. Поскольку интересы измеримы, то их скрыть нельзя, как бы вы не встраивали их в цепочку между производителем и конечным потребителем…
Основные типы «буферных» фирм и фирм-однодневок
По принципу наличия в любых финансовых схемах слабого звена, как правило, находящегося на стыке «теневого» и легального секторов экономики, нами были разработаны критерии выявления различных типов фиктивных контрактов и финансовых трансакций с признаками «отмывания» преступных средств. Как правило, последние осуществляются через различные фирмы «специального назначения», включая наиболее распространенный их тип – фирмы-однодневки.
Создание моделей деятельности фиктивных организаций различных типов с математической точки зрения не представляло большой сложности. Достаточно было определить K*T + L*[T/3]+M – размерность евклидова пространства rk*t+l*[T/3]+m, являющегося фазовым для класса фирм специального назначения данной типологии т,
где K – количество параметров, зависящих от номера месяца (каждый месяц имеется наблюдение за параметром);
L – количество параметров, зависящих от номера квартала;
M – количество параметров, не зависящих от времени;
T – время существования фирмы (в месяцах);
т – тип модели (типологии).
И затем для каждой типологии определить набор конкретных критериев.
Рассмотрим наборы параметров, зависящих от времени, которые используются в различных моделях.
Помесячно:
A(t), t=1,…,T – общие поступления помесячно.
B(t), t=1,…,T – общие выплаты помесячно.
E(t), t=1,…,T – численности персонала.
Условие наличия необходимого уровня текучки персонала:

Где, т – это тип модели.
Условие: объем статистики близок к нулю в абсолютных показателях
Emax – максимальное количество сотрудников данной фирмы. Для каждого типа т свой параметр.
Условие предельной численности персонала:
Emax ≤ Eτ
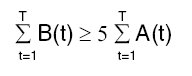
Ряд конкретных типологий и критериев был определен в работах директора научно-образовательного центра управленческих инноваций РГТЭУ О.И.Кулыгиной, всего более 12 типологий. В частности, О.И.Кулыгиной наиболее распространенный тип фиктивных фирм-«однодневок», банально занимающихся незаконным обналичиванием, был определен как совокупность организаций с более чем пятикратным превышением объема поступлений над выплатами, периодом финансовой деятельности до 12 месяцев включительно и без набора персонала. В частности, модель финансовой деятельности подобных организаций описывалась следующей формулой:

где, совокупный оборот не превышал 100 млн. руб., а период финансовой деятельности – T ≤ 12 месяцев.
Аналогичные финансовые модели деятельности фиктивных фирм-«однодневкок», занимающихся обезналичиванием преступных доходов описывались О.И.Кулыгиной формулами:

где, совокупный оборот не превышал 100 млн. руб., а период финансовой деятельности – T ≤ 12 месяцев.





