- -
- 100%
- +
В эпоху коллапса Вселенная превращается, преобразуется, переходит или, наконец, воспроизводится вероятностным образом от одного цикла истории к другому… Вселенная время от времени сжимается до такой степени, что «проходит сквозь игольное ушко», полностью «перерабатывается» и вступает в новый динамический цикл (т. III, с. 483–484).
Мы не будем рассматривать здесь гипотетические высказывания о существовании множества Вселенных со своими физическими законами и своими сочетаниями физических постоянных, или представление о том, что Вселенная прошла через множество циклов, в начале которых физические постоянные менялись. Важно, что мы живем в цикле, где существует устойчивая комбинация констант[61], задающая существование основных состояний. Можно говорить о гармонии Вселенной, вводя представление о «принципе целесообразности» в отборе констант или даже о «биологическом отборе констант» (см. [там же, с. 487]). Может быть, наша Вселенная является не более чем случайно выбранной из множества существующих вселенных? Но ясно одно: именно наша Вселенная в силу ее структурной устойчивости оказывается удобной для описания ее дифференциальными уравнениями. Такая Вселенная, упорядоченная ограничительными постоянными, встает перед нами как структура из иерархически упорядоченных осцилляторов.
Иное положение дел в биосфере. Там мы имеем дело с множеством миров – каждая большая экосистема является одним из таких миров. Эти миры, в отличие от физических вселенных (если они существуют во всем их возможном многообразии), не имеют четких границ – они находятся в непрерывном взаимодействии (в физике вопрос о взаимодействии вселенных порождает, кажется, неразрешимые проблемы). В биологических мирах нет чего-то аналогичного фундаментальным физическим постоянным – или, если они даже и есть, то в силу своей крайней размытости они не наблюдаемы. Нет в биологии и аналога основных устойчивых связанных состояний[62] – не является же таким состоянием биологический код? И если в биосфере нет устойчивых связанных состояний, то что можно там описывать через дифференциальные уравнения? Последние являются языком, удобным для описания изменчивости лишь в некоторой структурно устойчивой системе. Обращаясь к дифференциальным уравнениям, мы исходим из весьма жесткой посылки, утверждающей, что изучаемый мир настолько хорошо организован, что он состоит из устойчивых структур, поддающихся алгоритмическому описанию. В современной физике это уже не мир лапласовского детерминизма – этот мир может содержать вероятностные явления, но они не должны нарушать некой фундаментальной устойчивости. Скажем, в квантовой механике пси-функция вероятностна по своей природе, но ее изменение регулируется дифференциальным уравнением Шрёдингера, содержащим фундаментальную постоянную – постоянную Планка. Само представление о хорошей организованности Мира не поддается четкому определению, но оно хорошо разъясняется из сопоставления мира физического с миром живого. События, происходящие в мире физическом, натянуты на устойчивые в своих численных значениях фундаментальные постоянные[63]. В этом состоит стационарность этого мира. В мире живого, конечно, есть свои постоянные, но они не поднимаются до ранга фундаментальных констант. Это такие же нефундаментальные постоянные, как, скажем, в физике период полураспада атома или температура плавления металла. Их числовые значения не являются критическими для существования самого этого мира. Отсюда становятся понятными неудачи с моделированием экосистем языком дифференциальных уравнений (об этом мы уже ранее говорили в работе [Налимов, 1983]).
Теперь представьте себе, как возмутились бы физики, если бы им сказали, что они вернулись к числовой мистике пифагорейцев. Может быть, философы поторопились в своих стремлениях отказаться от числовых философских представлений мыслителей древности. Возможно, что где-то на глубинных уровнях своего сознания древние мыслители предвосхищали роль числа в организации Мира[64]. И только теперь их некогда спекулятивные построения приобретают научное звучание.
Скептически настроенный читатель, конечно, может задать и такой вопрос: где гарантия того, что фундаментальные постоянные реально существуют? Может быть, это только некий артефакт, порожденный особенностями того языка, который физики изобрели для описания Мира? Ведь есть же и другое, правда, аппендиксное направление в физике – концепция bootstrap, отрицающая существование каких бы то ни было фундаментальных начал. Вселенная в этой системе представлений выступает как диалектическая паутина взаимодействий – ни одно из ее свойств или частей не оказывается фундаментальным [Chew, 1968], [Саpra, 1976]. В геометродинамике Дж. Уилера (о ней мы будем говорить ниже) развивается картина Мира, в которой имеют место взаимодействия без констант взаимодействия.
Поднятый выше вопрос, насколько нам известно, не ставят перед собой физики, но нам его постановка представляется правомерной, и мы дали бы на него такой ответ: Мир перед нами выступает как текст. Наши взаимодействия с этим текстом – это перевод его на доступные нам, человеческие языки. Один из них – язык поэтических текстов, он организован ритмически. За ритмами стоит число. Другой язык – это язык современной физики: он также организован через числа, но числа здесь уже выступают как константы. Мы не знаем, инвариантны ли числовые константы Мира ко всем возможным языкам физики, но, скажем, сама попытка создания концепции bootstrap свидетельствует о том, что если и можно вообразить язык физики, лишенный представлений о фундаментальных постоянных, то в нем все же нельзя отказаться от числа: структура Мира субатомных частиц в терминах bootstrap задается через матрицу вероятностей переходов.
Всего сказанного уже, наверное, достаточно для того, чтобы обратиться к философскому осмыслению роли числа.
Здесь мы рассмотрим позицию Канта, стоящего у истоков современной гносеологии. Он строил трансцендентальную философию, опирающуюся на раскрытие роли априорных форм сознания. Для Канта – возможно, первого философа, понявшего ньютоновскую науку, пространство – это априорная форма внешнего чувственного созерцания, время – априорная форма внутреннего чувственного созерцания. Именно априорность созерцания пространства и времени и сообщает им всеобщность и безусловную необходимость. Условием возможности априорных синтетических суждений оказываются 12 категорий, разбитых на четыре разряда:
количество включает категории единства, множества и целостности;
качество – реальность, отрицание, ограничение;
отношение – отношение между субстанцией и свойством, причиной и следствием, взаимодействие;
модальность – возможность, действительность, необходимость.
По представлению Канта, под эти категории, не порожденные опытом, рассудок подводит всякое содержание, получаемое им из наших чувственных восприятий. Число у Канта непосредственно не входит в список априорных категорий, но оно определяет представление о количестве и многообразности [1964]:
Чистый образ всех величин (quantorum) для внешнего чувства есть пространство, а чистый образ всех предметов чувств вообще есть время. Чистая же схема количества (quantitatis) как понятия рассудка есть число – представление, объединяющее последовательное прибавление единицы к единице (однородной). Число, таким образом, есть не что иное, как единство синтеза многообразного [содержания] однородного созерцания вообще, возникающее благодаря тому, что я произвожу само время в схватывании созерцания (с. 224).
Таким образом, число, порождаемое созерцанием через время, созданное самим человеком, оказывается, по-видимому, фундаментальнее самих априорных категорий.
Отметим, что сами математические построения у Канта носят априорный характер [там же]:
Прежде всего следует заметить, что настоящие математические положения всегда априорные, а не эмпирические суждения, потому что они обладают необходимостью, которая не может быть заимствована из опыта. Если же с этим не хотят согласиться, то я готов свое утверждение ограничить областью чистой математики, само понятие которой уже указывает на то, что она содержит не эмпирическое, а исключительно только чистое априорное знание (с. 114).
Это отступление к философской классике мы сделали для того, чтобы показать то место, которое число могло бы занять в системе гносеологических построений. Число может выступать как базовая категория сознания, наиболее фундаментальная из доступных нашему пониманию. Но вот так случилось, что в Западной культуре роль числа оказалась скрытой, будучи погребенной под покровом логической мысли. Физики совсем недавно обнаружили критическую роль фундаментальных постоянных. Раскопки продолжаются и в других областях знаний.
2. Закон Ципфа как проявление числовой упорядоченности текста
Наблюдается ли числовая упорядоченность в обыденном языке – том главном, что создал сам человек?
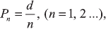
Перед нами закон Ципфа[65], отражающий числовую регулярность не только письменных текстов, но и текстов биотаксономии:

здесь n — ранг слов, упорядоченных по частоте их появления, Pn – частота появления слова n-го ранга, d – константа. (Закон Ципфа может быть записан в разных модификациях и часто называется законом Эсту – Кондона – Ципфа – Мандельброта.) Вначале считалось, что закон Ципфа отражает числовую упорядоченность самого языка. Но вскоре стали выясняться различные неприятности, заставившие интерпретировать его иначе. Прежде всего, оказалось, что этот закон хорошо выполняется только для выборок, содержащих около 22000 различных слов. Такие выборки, по оценкам Ципфа, должны были содержать около двухсот тысяч словоупотреблений, что, конечно, никак не охватывает все богатство языка.
Далее выяснилось, что с формулами, описывающими числовую упорядоченность, все обстояло хорошо, когда их сравнивали с частотами отдельных художественных произведений. Они никогда не описывали произвольные лексические выборки – отрывки из отдельных произведений или их объединения, представляемые в виде одной выборки. Возникли сомнения в правомерности самого существования числовой упорядоченности языка. Математик Ю.К. Орлов, один из лучших в нашей стране знатоков проблемы, посвятивший ее изучению более 20-ти лет, дает разъяснение, снимающее все нарекания [Орлов, 1980]:
…закон Эсту – Кондона – Ципфа – Мандельброта оказался законом не языка, а текста. Законом отдельного чрезвычайного высокоорганизованного сообщения, рассчитанного на привлечение внимания максимально широкой аудитории. Нехудожественные тексты (научные, технические, философские) выполняли этот закон, если можно так выразиться, с большой натяжкой. Огромные выборки, претендующие представлять «язык в целом», не выполняли его вовсе (с. 82).
Таким образом, для текстов мы получаем [там же]:
…ту самую гармоническую последовательность чисел, которую с незапамятных времен получил Пифагор для колебания струны и которая лежит в основе так называемого натурального звукоряда (а так как все прочие музыкальные звукоряды можно рассматривать в качестве приближения к натуральному, то и всех музыкальных шкал вообще). По-видимому, эта аналогия имеет глубокий смысл… (с. 74).
И в то же время Ю.К. Орлов обращает внимание на то, что выполнимость закона Ципфа для текста (выборки в 22000 слов) следует, как это легко показать, из числового значения константы d, которая, по оценкам лингвистов, оказывалась приблизительно равной одной десятой. Иными словами, порядок в высокоорганизованных текстах нашего языка оказался заданным числом.
Теперь остановимся на мгновение и проведем мысленный эксперимент. Вообразим, что люди покинули Землю, истерзанную и загубленную их усилиями. Вскоре на Земле появились исследователи-метанаблюдатели, чуждые нашей словесной культуре. Обнаружив множество оставшихся после нас письменных знаковых систем, они, естественно, стали бы изучать их прежде всего чисто статистически. Немедленно был бы обнаружен закон Ципфа и все с ним связанное. Метанаблюдатели должны были бы признать, что среди изучаемых ими систем есть удивительные – обладающие высокой числовой организованностью. Отсюда, наверное, был бы сделан вывод о том, что эти знаковые системы имеют смысл – они являются текстами, несущими семантику. Правда, нам трудно представить себе, как эта семантика могла быть понята вне культурной преемственности и традиции. Интерес к текстам быстро, наверное, был бы потерян, хотя вокруг этого феномена несомненно возникли бы мифы (всегда хочется разгадать непонятное), которые скептически настроенные иноземляне отнесли бы к проявлениям мистицизма.
Отметим здесь, что известный в биотаксономии закон Виллиса также описывается распределением Ципфа [Кафанов, Суханов, 1981], которое теперь запишем в обобщенной форме:

где Pn – относительное число таксонов, каждый из которых содержит N таксонов следующего, более низкого ряда.
Здесь мы имеем дело с распределением таксонов высшего ранга по числу содержащихся в них таксонов следующего, более низкого ранга. Скажем, речь может идти о распределении родов по числу содержащихся в них видов. Обнаруживается глубокая аналогия с тем, что наблюдается для письменных текстов. Отсюда, как это видно из сказанного выше, следует, что метанаблюда-тель должен был бы воспринять видовое многообразие жизни как многообразие текстов. Правда, смысл этих текстов остается еще не ясным и для самих биологов. Если С.В. Мейен [1978] придает закону Виллиса глубокое общебиологическое содержание, хотя и считает его загадочным, то в статье [Кафанов, Суханов, 1981] мы находим следующее высказывание:
Однако нам кажется, что систематики ничего не потеряют, если в своей практической деятельности они не будут руководствоваться этим законом. Классификационные схемы в любом случае существенно не изменятся, а любые биологические интерпретации закона Виллиса— Ципфа, по нашему мнению, останутся несостоятельными (с. 349).
Как странно читать эти строки – в них со всей отчетливостью выступает глубокое недоверие к результатам биологических наблюдений, выражаемых в числе. Чем вызвано такое неприязненное отношение к числу?
Конец ознакомительного фрагмента.
Текст предоставлен ООО «ЛитРес».
Прочитайте эту книгу целиком, купив полную легальную версию на ЛитРес.
Безопасно оплатить книгу можно банковской картой Visa, MasterCard, Maestro, со счета мобильного телефона, с платежного терминала, в салоне МТС или Связной, через PayPal, WebMoney, Яндекс.Деньги, QIWI Кошелек, бонусными картами или другим удобным Вам способом.
Примечания
1
Налимов В.В. 1993. В поисках иных смыслов. М.: Изд. группа «Прогресс», с. 171–172.
2
Nalimov V.V. 1985. Space, Time and Life. The Probabilistic Pathways of Evolution. Philadelphia: ISI Press, 110 p.
3
Из-за столкновения с комсомолом.
4
Василий Васильевич Налимов оставался сотрудником МГУ до последних дней жизни, плодотворно работая и в возрасте 86 лет (прим. ред.).
5
Впервые опубликовано: Вопросы философии, 1997, № 10, с. 58–76.
6
Здесь мы опять подходим близко к представлению Дж. Уилера [Wheeler, 1983]. В этой работе он говорит о «законе без закона» и поднимает вопрос о возможной роли смысла в третьем, наступающем этапе развития физики. У него это звучит так:
Является ли регулирующий принцип физики требованием смысла? Быть может, мы должны спросить: что порождает смысл? Придется ли нам обращаться к философии, чтобы добиться успеха в решении этой проблемы? (C. 404.)
7
Ради удобства читателя в этом параграфе повторяется то, что в расширенном варианте изложено в книге [Налимов, 1989].
8
Из сказанного здесь следует, что представление о свободе на глубинных уровнях сознания обладает большей ясностью, чем на уровне Аристотелевой логики. Это было подтверждено и нашими медитационными экспериментами [Налимов, Дрогалина, 1995].
9
Основные положения этого направления были сформулированы Э. Мунье еще перед Второй мировой войной.
10
В.В. Налимов часто употреблял термин «эволюционизм» для обозначения самого процесса эволюции (прим. ред.).
11
Особенно отчетливо это проявляется при изучении антропного принципа.
12
Подробнее описанная здесь позиция изложена в книгах [Налимов, 1993, с. 105–110] и [Налимов, 1994].
13
Этим принципом далеко не всегда пользуются. Скажем, в православии посмертное бытие человека описывается так, как современный человек не может представить себе даже всей силой воображения (подробнее об этом см. в гл. 3). Или другой пример: в «счастливые» коммунистические времена нас уверяли, что гулаговский труд – это естественное перевоспитание. Такое тоже трудно вообразить.
14
Непосредственным свидетельством тому служит название книги В.В. Налимова, изданной во Франции, – Les Mathématiques de l’Inconscient [1996].
15
Здесь уместно привести высказывание Ж. Адамара [1970]:
Когда греки, приблизительно за 4 века до новой эры, рассматривали эллипс… и вывели отсюда многочисленные и замечательные следствия, они не могли думать ни о каком использовании этих открытий. И тем не менее без этих исследований Кеплер не мог бы открыть спустя 2000 тысячи лет законы движения планет, и Ньютон не мог бы открыть закон всемирного тяготения (с. 116).
16
Недавно на кафедре теоретической и прикладной лингвистики филологического факультета МГУ была принята резолюция: «Считать нецелесообразным включение предложенной к.ф.н. Долинским В.А. темы „Языковая концепция В.В. Налимова“ в программу спецкурсов». Одно из основных возражений: «Сомнение вызывает идея, что наше сознание имеет математическую основу». Протокол заседания кафедры заверен печатью. Вскоре, словно в ответ на резолюцию, во Франции вышла вышеупомянутая книга Les Math é matiques de l’Inconscient [1996]. Интересно, что вот так могут расходиться позиции современников.
17
Свое представление о математике Платон формулировал так [1971]:
Я понимаю: ты говоришь о том, что изучают при помощи геометрии и родственных ей приемов… Рассудком же ты называешь, по-моему, ту способность, которая встречается у занимающихся геометрией и им подобных (511, b, d, с. 319).
18
Амплитуда – отклонение от нулевого значения величины, колеблющейся по определенному закону.
19
Философская интерпретация квантовой механики дана также в книге [Healеy, 1990].
20
В физике термин локальность используется в тех случаях, когда точка, находящаяся в пространстве и времени, оказывается в зависимости только от ближайшей точки в ее окрестности. В квантовой механике, согласно [Davies, 1988]:
…можно полагать, что волновая функция, как считают некоторые физики, проявляется во всей Вселенной (с. 177).
21
Обратим также внимание на широко известную книгу [Stapp, 1993], посвященную квантово-механическому подходу к проблеме разум – материя. В этой книге автор объединил 11 работ за период 1971–1993 гг.
22
В Логическом словаре [Ивин и др., ред., 1994] вводится представление о Вопросе логическом:
Правильный ответ на В. л. предполагает, что сам В. л. является корректным (правильно поставленным). Всякий корректный В. л. вида «ψ?» предполагает, что входящее в него высказывание вида «ψ» является логически осмысленным (и субъект и предикат высказывания является не просто некоторым правильно построенным термом, но конкретным термином, в силу чего высказывание в целом либо истинно, либо ложно) (с. 27).
23
Впервые опубликовано: Вопросы философии, 1996, № 11, с. 65–74.
24
Каждый вопрос имеет не только вопрошающую, но и утверждающую часть – именно она и составляет предмет анализа.
25
В ХХ в. дикая форма суда повторяется во имя новой веры – большевистской.
26
В 30-е годы XX века русский отряд Тамплиеров (Восточный) был уничтожен в России. Правда, их не жгли, а всего лишь расстреливали; иных отправляли в лагеря – они назывались исправительными [Налимов, 1994].
27
В нашей книге [Налимов, 1993] глава Х посвящена критике оснований культуры. Параграф 15 называется «Покорение человека техникой». В нем рассматриваются позиции М. Хайдеггера, X. Ромбаха, Ж. Эллюля. Критика эпохи становится новым философским термином.
28
Райнхольд Нибур (1892–1971) – американский протестантский теолог, представитель диалектической теологии.
29
И понятно, почему. Это хорошо объяснил, в частности, М. Мамардашвили [1995]:
Вся цивилизация, вся культура, все христианство – это сказки, выдумки, ерунда в той мере, в какой это не вырастает из души каждого. Вера в Христа не имеет никакого значения, если ты не породил заново образ Христа, идя из глубин своей темноты (с. 89).
30
Иначе свалившиеся на нас беды не были бы столь сокрушительными. Не обрели практического значения и учения об этике, разработанные выдающимися авторами – И. Кантом, М. Вебером, П. Кропоткиным, Л. Толстым.
31
Например, проблемы феминистского движения, положения негров и др.
32
Пролиферация – разрастание путем многообразия.
33
Американский автор Г. Моррис считает креационизм научным подходом [1990].
34
Например, американский автор Ф. Хоук пишет [Hoke, 1995]:
Г. Холтон – профессор физики и истории науки в Гарвардском университете – утверждает, что иррациональность… является цикличной и периодически возникает в Новое время… (с. 1).
35
Термин заимствован из книги Д. Андреева [1995].
36
Многие серьезные авторы утверждают, что именно техника порождает науку, а не наоборот [Roy, 1992].
37
[Ренан, 1990]:
Общая мечта выливалась в одном слове «рай», старинном слове, заимствованном еврейским, как и всеми восточными языками, у Персии и первоначально означавшем сады царей Ахеменидов: чудный сад, где будет вечно продолжаться та очаровательная жизнь, которая уже началась здесь на земле (c. 154].
38
В начале революции в России была сделана попытка подойти к пониманию Космического сознания, выразившаяся в движении мистического анархизма [Налимов, 1994]. Но большевистский режим отказался от дискуссии – проще оказалось одних расстрелять, других – отправить в лагеря. Да и жертвоприношение было не лишним, вполне ритуальным – кровью жертв удобрялась почва идеологии: демоническая мистика проверялась на практике и в России, и в Германии.
39
Напомним здесь, что раннее христианство не отвергало реинкарнацию [Lampe, 1987].
40
В Философской энциклопедии [1970] читаем:
Форма – способ организации и способ существования предмета, процесса, явления (с. 383).
Как можно воспринять сказанное здесь, даже учитывая то, что это давняя традиция, идущая еще от Платона и Аристотеля?
41
В нашей брошюре [Налимов, 1994] приведены высказывания М. Хайдеггера о темпоральности бытия и сопоставлены с ними образы, зафиксированные поэтом-философом А. Введенским. В более широком плане можно обратить внимание на книги: [Fraser, Lawrence, Park (eds.),1978], [Fraser (ed.), 1981], а также [Налимов, Дрогалина, 1995], в которой рассматривается и проблема личностного времени.






