- -
- 100%
- +
В этой гипотезе предполагается наличие большого количества урана и тория, а также других тяжелых элементов в глубинах Земли, наличие высокой температуры в глубинах и постоянного выделения тепла от ядерных реакций. Представления по этой гипотезе соответствуют последним результатам исследований, по которым определено, что Земля в течении времени расширяется, что со временем магнитное поле Земли изменяется, а в самом ядре происходят заметные возмущения [Велихов, 2007]
Распределение элементов по геосферам Земли произошло постепенно, через ряд состояний (рис. 12).
В самый ранний период Земля собралась из частиц однородного вещества, образованного при взрыве нейтронной звезды (рис. 12 а). Однородное вещество ранней Земли содержало большое количество радиоактивных изотопов, намного большее, чем в настоящее время, что привело к его разогреву, переходу в вязкопластическое состояние и погружению более тяжелых фракций в сторону центра, а более лёгких к поверхности (рис. 12 б). Среди тяжелых имеются уран и торий при концентрации которых начались цепные ядерные реакции, выделяющие значительно больше тепла, чем при простом радиоактивном распаде. Это привело к тому, что в центре происходит более сильный разогрев Земли (рис. 12 в). Этот разогрев, который продолжается и в настоящее время, привёл к расширению Земли в нынешнее состояние (рис. 12 г).

Рис. 12. Образование Земли [Тимофеев, 2012]: а – Земля в начале архея состояла из однородного реликтового космического пепла; б – Земля после разогрева, погружения тяжелых пород в центр и изгнания лёгких ближе к поверхности Земли; в – разогрев ядра Земли из-за ядерных реакций; г – Земля в настоящее время с ядром, разделённым на слои элементов и мантией из геосфер пород различных элементов. Изображение поверхности Земли из сайта https://live.staticflickr.com/5343/10209385305_8b2341f255_b.jpg
Такое представление подтверждается ещё и тем, что породы поверхности Земли по большей части состоят из сравнительно лёгких элементов кислорода, кремния, алюминия, железа, кальция, углерода, калия, магния… Из этого представления также следует, что на большей глубине в ядре Земли находятся элементы имеющие большую плотность свинец, золото, вольфрам, осмий, уран, торий… Нахождение в ядре Земли сравнительно лёгких элементов железа, кремния, серы, как написано в современных учебниках и энциклопедиях совершенно нереально.
Геофизические методы исследований подтверждают эту гипотезу, показывая, что плотность пород, по мере увеличения глубины возрастает.
Ядро Земли состоит из элементов, находящихся в газообразном состоянии
Гипотеза 6
По существующим в науке в настоящее время представлениям наружное ядро Земли состоит из жидкого вещества, а внутреннее ядро вообще твердое. Температура в ядре без всяких обоснований приняли 5000°С. Такое представление противоречит другому утверждению учёных, что ядро состоит из железа и кремния, поскольку кремний кипит и превращается в газ при температуре 3540°С, а железо при температуре 3135°С Понятно, что при температуре в 5000°С ни кремний, ни железо ни в твёрдом, ни в жидком состоянии находится не могут. Таким образом наглядно видно, что в представлениях современных учёных в учебниках и энциклопедиях серьёзная путаница и их модель Земли не соответствует действительности.
Измерения показывают, что с увеличением глубины температура пород возрастает с градиентом примерно 20 градусов на километр. Представим модель, где тепло идет из центра Земли. Учитывая радиус Земли примерно 6000 км (более точно средний радиус 6371,032 км), температура в центре при сохранении градиента на всю глубину составит 120000°С. И это упрощенная модель, не учитывающая уменьшения площади поверхности сфер передачи тепла с увеличением глубины. Реально градиент температуры при неизменном тепловом потоке должен возрастать с глубиной пропорционально уменьшению площади (пропорционально квадрату глубины), поскольку Земля – шар, и с увеличением глубины площадь сфер уменьшается. С учётом этого расчётная температура в центре Земли намного превысит 120000°С
При столь высоких температурах вещество ядра Земли может находиться только в состоянии газа. Ни кого же не удивляет, что вещество фотосферы Солнца, которая имеет температуру 6000°С находится в состоянии газа хотя есть там и углерод, и железо, и алюминий. Понятие об газообразном состоянии ядра Земли, а также о постоянном увеличении его температуры от ядерных реакций объясняет факт расширения нашей планеты, а также природу многих тектонических процессов.
Более точный расчёт температуры на разных глубинах в ядре Земли показан в гипотезе 23, а свойства веществ при разных температурах в главе 11.
Ядро Земли состоит из слоёв элементов с границами раздела между ними расположенных в порядке увеличения плотности
Гипотеза 7
При температуре выше 6000оС вещества могут находится только в атомарном газообразном состоянии, поскольку энергия атомов превышает энергии химических связей. В соответствии с результатами исследований Кричевского – Большакова [Кричевский И, Большаков П. 1941] при высоком давлении и температуре больше критической все газы расслаиваются с образованием границ раздела. В результате ядро Земли состоит из слоёв элементов с чёткими границами раздела между ними. Поскольку масса ядра Земли известна (1934·1021 кг) используя процентное содержание элементов в составе Земли из гипотезы №2, а также принимая допущение, что вся масса тяжелых элементов заключена в ядре Земли в результате расчёта получено, что ядро Земли состоит 47 сферических слоев элементов, где верхний слой ядра Земли состоит из цинка. На поверхности ядра выше слоя цинка распложены слои газов аргон, хлор, неон, фтор, кислород, азот, гелий, водород. Глубже расположены слои более тяжелых чем цинк элементов до урана. Элементы, атомы которых по плотности легче цинка из ядра за историю Земли вытеснены полностью в мантию, а то небольшое количество атомов лёгких элементов, которые постоянно образуются в результате ядерных реакций, например, водород, гелий… непрерывно всплывают через все слои и удаляются из ядра. Почти все элементы из которых состоит ядро Земли, кроме брома, йода, криптона и ксенона металлы. Поскольку пары металлов прозрачны и окрашены. Сечение ядра Земли имеет вид своеобразной радуги, что представляло бы весьма красивую картину, если бы это можно было увидеть. На рисунке слои окрашены в реальные цвета из наиболее ярких полос спектров показанных элементов, а толщины слоёв соответствуют количествам элементов в Земле. Изображение ядра Земли в сечении (рис. 13)

Рис. 13. Так выглядит сечение ядра Земли на самом деле.
Примерно также выглядят и ядра других похожих планет и не только Солнечной системы. Разница в том, что у меньших планет, которые находятся на более ранней стадии трансформации, ядра имеют меньше слоёв и образованы они из самых тяжелых элементов, а у крупных планет в ядре больше слоёв, вплоть до состояний, когда ядра полностью поглощают вещества мантий и кор. Тогда отсутствует граница между газообразными веществами ядер и газами атмосферы. Близко к такому состоянию сейчас находится Юпитер.
Слои элементов ядра прозрачны и окрашены в цвета их спектров излучения
Гипотеза 8
Известно, что пары металлов прозрачны. Из этого можно сделать предположение, что прозрачно и вещество металлических слоев ядра Земли. Большинство элементов (металлы) при нагревании излучают сплошной спектр света, в газообразном состоянии каждый элемент даёт свой характерный линейчатый спектр излучения с определёнными длинами волн. Спектры некоторых газообразных элементов показаны в таблице.
Излучение слоев в ядре Земли будет в виде смеси цветов отдельных линий спектра на характерных для каждого металла длинах волн, и могут выглядеть как зеленое стекло, рубин, цитрин, сапфир.
Например, слой талия – зеленого цвета, поскольку талий имеет в своем спектре ярко-зеленую линию. Цвета с указанием длин их волн линии спектров некоторых элементов ядра Земли (таблица 3).

Здесь световое излучение находится в «плену» вещества в виде фотонного газа. Ионизация элементов сильно влияет на длину волны излучаемого света, поэтому цвет свечения элементов в ионизированных слоях изменяется по глубине в связи с увеличением степени ионизации от температуры. Максимум излучения электромагнитных волн испускаемого света сильно зависит от температуры в слое.
По закону смещения Вина длина волны максимума излучения обратно пропорциональна абсолютной температуре Т:

где С – постоянная, равная 0,2898 см∙град-1;
λ – длина волны.
Расчет показывает, что длина волны максимума излучения на поверхности субъядра составляет 43.8 Ắ, а в центре Земли 37.2 Ǻ, что соответствует ультрафиолетовой области излучения электромагнитных волн.
Высокие температуры в глубинах планет-гигантов и Солнца приводят к мощному фону в их глубинах рентгеновского и гамма-излучения.
Процесс сепарации урана по изотопам
Гипотеза 9
В гипотезе №7 несколько упрощённо было предложено считать, что ядро Земли состоит из 47 слоёв разных элементов. Если учесть, что многие элементы состоят из нескольких изотопов, отличающихся по атомным массам. Например, свинец имеет 4 стабильных изотопов, осмий 7, а олово 10. Отличие по массам изотопов непременно заставит слои элементов расслоится ещё на несколько слоёв. Учитывая, что число стабильных изотопов (период полураспада более 100 миллионов лет) в природе равно примерно 300 то число слоёв в ядре Земли будет приближаться к двум сотням. Особенное значение имеет расслоение на изотопы урана, поскольку в изотопе урана 235 при достижении достаточной концентрации в результате сепарации начинают самопроизвольно происходить цепные ядерные реакции, на подобии тех, которые осуществляются в атомных реакторах, что приводит к резкому увеличению высвобождения тепловой энергии. Поскольку скорость сепарации на космических телах пропорциональна силам гравитации, то высвобождение энергии от цепных ядерных реакций больше, чем больше масса космического тела. Именно цепные ядерные реакции, вызванные процессом сепарации урана 235, в большой степени приводит к значительному разогреву ядра Земли, расширению планеты, изменениям магнитного поля, возмущениям в переходном слое F (рис. 13) между внутренним и внешним ядром.
Внутреннее ядро Земли состоит из урана 238 и заурановых элементов
Гипотеза 10
Вещества внутреннего ядре Земли находятся в состоянии реального газа, а плотности их подчиняются закону Авогадро, по которому чем больше атомная масс элемента, тем больше его плотность.
Из всех стабильных элементов наибольшую атомную массу имеет уран. Распространённость в природе изотопа урана 238 99.2739% (период полураспада 4.5 ∙ 109 лет), следовательно, внутреннее ядро Земли содержит большое количество этого изотопа урана.
Цепные ядерные реакции в слое, обогащенном ураном 235, выделяют значительного количества нейтронов, что постоянно приводит к ядерным реакциям образования заурановых элементов нептуния 237, плутония 239, америция 243, кюрия 245… которые могут собираться во внутреннем ядре. В коре и мантии Земли эти элементы отсутствуют из-за малого периода полураспада. Элементы внутреннего ядра подвержены ядерным реакциям, при которых образуются элементы с меньшей атомной массой, постепенно поднимающиеся во внешнее ядро Земли и увеличивающие массу слоёв стабильных элементов, например свинца.
Учитывая, что силы гравитации ближе к центру Земли значительно снижаются, а в центре равны нулю (в центре Земли невесомость) сепарация здесь не происходит, очень сильны диффузионные процессы, расслоения по плотности различных атомов не происходит. У поверхности внутреннего ядра на расстоянии 1271 км от центра Земли, силы гравитации уже имеют заметное значение и проходят процессы сепарации.
Глава 2. Образование современной Земли
Причина, по которой газы оказались в глубинах Земли
Гипотеза 11
Из глубин Земли часто, как в результате бурения, так и по причине вулканических явлений поднимаются газообразные элементы азот, гелий, углеводороды, пары воды, углекислый газ… Естественно возникает вопрос, а как они туда попали? Нашлись учёные, которые предложили биогенную причину образования природных газов. По их мнению, газы и нефть образовались в результате разложения остатков от живых организмов, но это не объясняет выход газов, которых в живых организмах нет.
Ответ на этот вопрос понятен если рассмотреть механизм образования планет. При образовании Солнечной системы, после взрыва нейтронной звезды, те парообразные элементы, которые имеют достаточно высокую температуру плавления, конденсировались в космическом пространстве с образованием рыхлых кристаллов пепла, по структуре подобных снегу или саже. Образовавшиеся при нейтронном взрыве элементы – газы Н, О, N, Cl, F, He, Ne, Ar, Kr, Xe адсорбировались на большой поверхности пепла и взаимодействовали с этими кристаллическими веществами с образованием химических соединений, в том числе нитридов, гидридов и окислов. Земля (как и другие планеты) собралась в однородный шар из космического реликтового пепла, при этом газы оказались равномерно распределены в составе всего ее объема (рис.12 а). В результате поднятия температуры от энергии распада радиоактивных изотопов, породы распадаются с выделением газов, которые поднимаются и выходят на поверхность планет. Выделяются и адсорбированные газы. Поднятие происходит в тех случаях, когда плотность газов, которая из-за высоких давлений в глубинах Земли может быть большой, оказывается меньше плотности вмещающих пород.
Распределение элементов в глубинах Земли по плотности атомов
Введение новой характеристики вещества – «Плотность атома»
Гипотеза 12
Атомы оцениваются по ряду характеристик: атомной массе, энергии ионизации, атомному радиусу, периоду полураспада…, в этой гипотезе предложено оценивать атомы ещё по одной характеристике. Введено понятие ПЛОТНОСТЬ АТОМА и рассчитаны плотности атомов для всех элементов [Тимофеев, 2009б].
Плотность атома равна атомному весу, деленному на объем атома.
Атомные веса элементов известны и имеются в справочниках. Атомные объемы нетрудно рассчитать, принимая, что атомы имеют форму шара, а атомные радиусы известны.
Значение атомных радиусов не однозначное, а зависит от вида связи между атомами. Радиусы бывают ковалентные, ионные, металлические ван-дер-ваальсовы. [Волков, Жарский. 2005]. Кроме, того, ковалентные связи могут быть как одинарные, так и двойные или тройные и размеры этих связей разные. Имеет значение и структура кристаллической решетки. В некоторых книгах, например, [Неницеску 1968], на это не обращалось особого внимания. Получилось так, что в первом издании книги взятые из этих источников величины атомных радиусов для атомов инертных газов соответствовали ван-дер-ваальсовым радиусам. Однако ван-дер-ваальсовы радиусы создаются незначительными силами и не могут сохраняться в условиях высоких давлений глубин Земли. Более правильно, в случае рассмотрения вопросов геологии, для инертных газов использовать ковалентные радиусы, что сделано в этом издании. Это привело здесь к значительному увеличению расчётных значений плотностей их атомов. В расчётах плотностей атомов для всех элементов использованы значения радиусов одинарных ковалентных связей, имеющие широкое распространение в том числе и для органических веществ, а также использованы значения металлических радиусов.
Атомные радиусы взяты из справочника Волков, А.И., Жарский, И. М. Большой химический справочник / – Мн.: Современная школа, 2005. – 608 с ISBN 985-6751-04-7. https://bookree.org/reader?file=627009&pg=47
Недостающие в справочнике атомные радиусы, отмеченные значком * взяты из «Краткой химической энциклопедии М 1963».
Ковалентные радиусы атомов показаны в (таблице 4).

Более наглядная картина изменения радиусов атомов, расположенных в порядке увеличения атомных номеров (как в таблице Д. И. Менделеева) показана на рис. 14. Элементы, показанные серым цветом, стабильных изотопов не имеют, и в природе встречаются в незначительных количествах.

Рис. 14. Изменения радиусов атомов в порядке увеличения атомных номеров элементов.
На рисунке видно, что радиусы атомов не увеличиваются равномерно по мере увеличения их атомных весов, а изменяются с периодичностью, соответствующей периодам элементов в таблице Д. И. Менделеева. При этом в периодах таблицы наибольшими радиусами обладают щелочные металлы, а наименьшими, как правило, инертные газы.
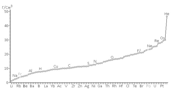
По значениям атомных радиусов рассчитаны объёмы атомов, а далее плотности атомов (впервые опубликованы в работе [Тимофеев, 2009б]). Для более понятного представления, плотности атомов из рассчитанных значений в атомных массах, делённых на кубические ангстремы переведены в привычные единицы г/см3. Полученные значения плотностей атомов в порядке их возрастания показаны в (таблице 5).

Для наглядности плотности атомов элементов показаны на рис. 15. Видно, что плотности возрастают не в порядке возрастания атомных номеров элементов.

Рис. 15. График изменения плотности атомов в порядке увеличения атомных номеров
Если малая плотность атомов щелочных металлов была предсказуема, то совершенно неожиданным оказалось аномально высокое значение плотности атомов гелия.
Рассчитанные плотности атомов в порядке возрастания значений показаны на рис. 16

Рис. 16. Кривая изменения плотности атомов в порядке возрастания значений
Использование такого показателя, как «плотность атома» даёт ключ к пониманию глубинного строения Земли, что будет показано ниже.
Концепция распределения элементов по глубине космических тел в зависимости от плотностей их атомов
Гипотеза 13
Если в состоянии реальных газов распределение в ядре Земли элементов происходит в соответствии с их атомными массами, то в других состояниях оценку распределения элементов по глубине нужно проводить по плотности их атомов.
О закономерности возрастания плотности веществ с возрастанием глубины известно. Так в верхней сфере Земли состав газов изменяется с высотой. Выше 2 тысяч километров превалирует самый легкий газ – водород, ниже до 600 км второй по плотности от водорода – гелий, еще ниже атомарный кислород, а ниже 200 км преобладает более тяжелый молекулярный азот. Ниже атмосферы, плотность воздуха которой на уровне моря равна примерно 1.2 кг/м3, вполне закономерно расположена гидросфера (реки, моря, океаны) с плотностью 1000 кг/м3, а под ней породы коры Земли со средней плотностью 2800 кг/м3. Глубже, информация о плотности получена сейсмическими методами и показывает, что плотность возрастает с увеличением глубины до значения примерно 12500 кг/м3 в центре Земли. Совершенно замечательно, что чудесным способом геофизических замеров в свое время найдена информация о том, что там у нас в глубинах, поскольку максимальная глубина, с которой удалось получить вещество прямым путем бурения на Кольской сверхглубокой скважине, только 12.262 км, что совсем немного, учитывая, что радиус Земли составляет 6378 км (на экваторе). Зная плотность пород на разных глубинах, а также имея точную информацию о плотности всех элементов Земли, можно было бы составить полную схему состава пород по глубинам. Решение этой задачи осложняется тем, что элементы в глубинах Земли могут быть не только в твердом элементарном состоянии, но и в виде многочисленных их соединений, а сами соединения могут иметь еще и разные кристаллические структуры, имеющие разную плотность. При этом одни соединения могут трансформироваться в другие. Меняться могут и кристаллические структуры. Кроме того, может изменяться и агрегатное состояние веществ, они могут плавиться, могут закипать и переходить в газообразное состояние. Картина получается очень сложной. Атомы элементов более стабильны, чем кристаллические породы, поскольку для их преобразования нужно затратить более высокую энергию (энергию ионизации), чем для разрушения химических связей кристаллической решетки пород. По этой причине для оценки состава пород по глубинам предложено оценивать вещества по плотностям атомов, предполагая, что плотности пород, особенно под большим давлением, коррелируются с плотностями атомов, из которых они состоят.
Гипотезу можно представить следующей формулировкой.
В любом массивном космическом теле, на участках, не находящихся в состоянии реального газа, глубина расположения того или иного элемента в большой степени, как правило, коррелируется с плотностью его атома.
Заметно, как отличается эта схема от принятой в настоящее время концепции, где ядро Земли состоит из железа и кремния.
В определенной степени кривая отражает последовательность распределения элементов по глубине любого массивного космического тела. Элементы с большей плотностью атомов (Hg, Tl, W, Re, Pb, Os…) расположены глубже, а с меньшей (Li, Na, K, Ca…) – ближе к поверхности. Имеются и отклонения от этой зависимости, поскольку плотность вещества может зависеть еще и от вида химических соединений, валентности элементов, вида кристаллической решетки, агрегатного состояния или ионизации. Вещества изменчивы в разных условиях, и изменения приводят к перемещениям пород по уровню в космическом теле. Плотность же атомов стабильна для каждого элемента и является важным фактором плотности вещества, пока атомы существуют. Эти особенности будут рассмотрены в последующих главах.
Плотность атомов изменяется не в порядке возрастания атомных номеров в таблице Д. И. Менделеева, а достаточно сложно (рис. 15)
В архейский период развития Земли произошла великая перестройка элементов (состояние рис.12 б), когда вещества распределились в соответствии с увеличением их плотностей с глубиной (таблица 6).
В таблице теоретическое расположение элементов по глубине в архейский период (в порядке увеличения плотностей их атомов) и содержание элементов в Земле по нуклонной концепции гипотезы 4, показывающее толщину пластов залегания.

Водород, азот, кислород, фтор являются достаточно тяжелыми элементами. Породы на основе самых тяжелых элементов погрузились в центр Земли, образовали ядро из соединений He, Ir, Os, Pt, Re, W, Au …, в том числе радиоактивных урана и тория, распад которых разогревает ядро (рис. 12, в). Легкие породы, содержащие Li, Na, K, Ca, Mg всплыли в верхнюю мантию. В следующие периоды произошел дополнительный разогрев ядра Земли, далее расширение Земли, выход из глубин воды и газов, переход ее в нынешнее состояние (рис. 12, г).
Образование ядра Земли
Гипотеза 14
Погружение пород на основе более тяжелых элементов ближе к центру Земли привело к повышению содержания там радиоактивных элементов U, Th. Это привело к дополнительному разогреву центральной части Земли в результате их естественного радиоактивного распада. При разогреве до 1500—5000°С (рис. 17 в) произошло химическое разложение пород ядра Земли на атомы (атомизация), например, по реакциям
2UH3→2U↓+6H ↑
2PdO→2Pd↓+2O↑
Th3N4→3Th↓+4N↑
Бассетит Fe (UO2) 2 (PO4) 2→Fe↑+2U↓+2P↑+12O↑
Далее произошла естественная сортировка атомов по плотности, более тяжелые атомы погрузились, а более легкие поднялись выше. В кристаллическом состоянии плотность веществ ограничена связями между атомами. Например, в алмазе атомы занимают только 34.01% всего объема (рис. 17 а). В газообразном состоянии связи между атомами отсутствуют, и при высоком давлении атомарным элементам ничего не мешает собраться в более плотное состояние, чем кристаллическое. Такое состояние получило название КРИСТАЛЛИЧЕСКОГО ГАЗА [Тимофеев, 2009], когда атомы не имеют свободного межатомного пространства, а собраны в наиболее плотную гексагональную структуру (рис. 17 б). Плотность вещества в состоянии кристаллического газа всегда выше его плотности в твердом кристаллическом состоянии, когда атомы рассредоточены химическими связями. Переход вещества ядра Земли в состояние кристаллического газа привел в архее к сжатию ядра Земли и всей планеты.




