- -
- 100%
- +
Тепловое состояние веществ в ядре Земли
Гипотеза (концепция) 22
По принятым в настоящее время представлениям температура в ядре Земли не превышает 5000°С. Ранее, вероятно, на такой температуре остановились, поскольку при более высокой температуре все вещества однозначно становятся газами, а это не укладывалось в головах ученых того времени. Кроме того, упрощенные представления о теплообмене, основанные, вероятно, на модели, повторяющей этот процесс в чайнике, подсказывали, что при более высокой температуре невозможно представить нормальное, существующее сейчас тепловое состояние на поверхности Земли. Такое представление сложилось в начале прошлого века. Расчеты показывали, что радиационное тепловыделение от урана, тория, и калия должно дать значительно более высокие температуры в глубинах Земли. Тогда для того, чтоб свести концы с концами и защитить свою концепцию (5000°С) в 1909 году было высказано предположение Джоли [Joly, 1909], а затем Холмсом [Holmes, 1926], что урана в ядре Земли нет. С тех пор такие ошибочные убеждения и существуют во взглядах ряда ученых. Были в прошлом и другие убеждения. Так, по представлениям Э. Канта ядро Земли раскалено как Солнце, но окружено плотным веществом, которого нет на поверхности.
Надо учитывать, что знания ученых того времени по ряду направлений во многом были примитивнее той информации, которая есть в программах нашей современной средней школы. В настоящее время знания о тепловых процессах превратились в науку. Имеются многочисленные расчеты тепловых процессов. На производстве ни один сложный аппарат, где происходят химические реакции, не проектируется без тепловых расчетов. В космической технике для конструирования искусственных спутников Земли в конструкторских бюро существуют целые отделы, задачей которых являются тепловые расчеты. В программы разработки изделий непременно входит создание отдельного экспериментального образца спутника только для тепловых и вакуумных испытаний, и это при том, что процессы выделения и передачи тепла на спутнике неизмеримо проще таких процессов в глубинах Земли.
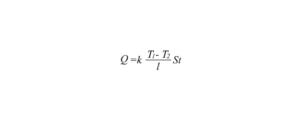
Чтоб получить более ясное представление, обратимся к результатам измерений. С увеличением глубины температура пород возрастает с градиентом примерно 20 градусов на километр. Представим модель, что тепло идет из центра Земли. Рассчитаем температуру в центре Земли, которая могла бы обеспечить имеющийся градиент по формуле Фурье для теплопроводности:

где Q – количество тепла;
k —коэффициент теплопроводности;
T1 – температура на поверхности Земли;
T2– температура в центре Земли;
S – площадь сечения геосферы;
T – время;
Ι – толщина слоя.
По упрощенному расчету, не учитывающему, что Земля – шар, и предполагающему, что все тепло идет из центральной точки, температура в центре Земли при сохранении градиента на всю глубину составит примерно 120000°С. А если учесть уменьшение площади передачи тепла с увеличением глубины, поскольку площадь геосфер с глубиной уменьшается, то реальный градиент температуры при неизменном тепловом потоке должен возрастать с глубиной пропорционально уменьшению площади, пропорционально квадрату глубины, следовательно, температура в центре Земли по этой модели должна составлять уже 14.4 ∙ 109°С.
Конечно, модель далеко не соответствует реальному состоянию. Все тепло не выделяется из центра Земли, и поэтому она должна быть отвергнута, но что—то в этой модели есть. Она позволяет усомниться в низкой температуре ядра, вырваться из гипноза оков догматической температуры в 5000°С, предположенной примитивными представлениями столетней давности, и искать правильное решение. Если напрячь усилия и обратиться к хотя и упрощенным, но современным тепловым расчетам, то появляется достаточно сложная картина. Для представления о тепловом состоянии необходимо учитывать, как реакции выделения тепла, так и, что совершенно очевидно, существующие реакции поглощения тепла за историю Земли. Также необходимо учитывать начальное тепловое, химическое и ядерное состояние массы Земли. Если принять за начальное состояние газопылевое космическое облако, а за конечное – нынешнее состояние, то картина выходит следующая.
По тепловому балансу, определяющему температуру, приход тепла обеспечивается процессами:
– ударное и гравитационное статическое собирание, а также сжатие частиц в массу планеты;
– энергии распада радиоактивных элементов;
– энергии распада ядерного топлива по цепному механизму;
– разогрев планеты Солнцем и космическим излучением.
Одновременно имеются процессы, приводящие к потере тепла:
– излучение тепла в космическое пространство;
– совершение работы расширения объема Земли;
– химические реакции по трансформации веществ мантии при повышении температуры;
– расширение при дросселировании газов при поднятии и выходе атмосферы и вод океанов
– плавление веществ ядра Земли и фракций мантии;
– испарение всей массы веществ ядра Земли;
– ионизация элементов в ядре Земли;
– выделение света и образование фотонного газа в ядре Земли.
Нужно учитывать, что в изначальном состоянии вещество газопылевого облака в космическом пространстве находилось в сравнительно холодном состоянии, а также то, что в этом состоянии вещество находилось в виде соединений с малыми изобарными потенциалами.
Наиболее емкие, приводящие к наибольшей потере тепла, процессы ионизации элементов и процессы выделение фотонного газа. Эти процессы происходят только при высоких температурах, но являются практически бездонными для нашей планеты поглотителями тепловой энергии.
Несмотря на значительное выделение тепла, температурная стабильность Земли объясняется прежде всего редким для нашего поверхностного мира явлением, погружением в глубинах Земли более горячего вещества вместо всплытия (конвекции) названное термонизом, о котором еще будет сказано ниже, значительным многоуровневым поглощением тепла в ядре и мантии, большим теплоизолирующим свойством мантии, коры Земли, слоев ядра, а также гравитационным разделением разных элементов по глубине Земли на слои, обеспечивающим изоляцию разогретых масс в центральной её части.
Наибольшее количество энергии поглощается при ионизации атомов. Атомы при ионизации аккумулируют огромное количество энергии. На первую ионизацию, например, калия затрачивается 44398 ккал/кг, на вторую ионизацию – 6687416 ккал/кг, на третью ионизацию —9670580 ккал/кг. Даже при потере только трех электронов (а их у калия 19) 1 кг калия поглощает энергию, содержащуюся в 16.4 тоннах тротила.
Если бы теплообмен в глубинах Земли шел бы по механизму простой конвекции, то при температуре в центре Земли и в 5000°С вся горячая масса ядра всплыла бы на поверхность. То же произошло бы и на Солнце, и температура его фотосферы точно превысила бы наблюдаемые 6000°С. Объяснением того, что такого не происходит может быть только существующее и предлагаемое явление термониза, по причине которого тепло на поверхность не выходит, а аккумулируется ионизацией тяжелых элементов, а также образованием фотонного газа в центре Земли.
Значительная аккумуляция тепла образованием фотонного газа связана с тем, что интенсивность образования фотонов (а значит и поглощения тепла) происходит в четвертой степени от температуры, и при высоких ее значениях увеличивается лавинообразно.
Большое количество процессов выделения и поглощения тепла, а также отсутствие информации в каких значениях эти процессы происходят, делает прямой расчет теплового состояния Земли невозможным. Температуру вещества на разных глубинах удалось рассчитать, используя результаты замера плотностей, расчета значений давлений на разных глубинах и оценки состава веществ геосфер.
По скорости прохождения сейсмических волн известна плотность вещества в ядре. Также сравнительно точно рассчитано давление на разных глубинах ядра. Допускаем, что в условиях ядра Земли свойства веществ соответствуют законам для идеальных газов, что экспериментально подтверждено до давлений в 100000 атм. [Гонигберг, 1960]. Используя значения давлений, плотностей и видов элементов, можно рассчитать температуры по слоям ядра Земли. Закон расширения Менделеева—Клапейрона для всех газов одинаков:

Из этого следует:

где P – давление в нормальных условиях 1 атм.;
V – объем одного г-атома элемента (0.0224м3) в нормальных условиях;
P1 – давление в искомой области;
V1 – объем межатомного пространства одного г-атома в искомой области;
T – температура нормальная 273 градуса К;
Т1 – искомая температура.
Таким образом
T1 = 12187.5 P1V1
Подставив значения объема и давления в тех областях ядра Земли, где по расчетам вещество находится в состоянии реального газа, можно определить здесь температуру.
Расчет температуры в ядре Земли
Гипотеза (концепция) 23
Давление в центре Земли примерно 3,6 миллиона атмосфер. Рассчитаем объем одного грамм-атома урана в ядре Земли, что несложно. Грамм-атом урана – это 238 грамм. Плотность вещества в центре ядра Земли – 12.5 г/см3. Следовательно, объем 1 г-атома урана составит 238/12.5=19.04 см3. Для расчета температуры необходимо убрать из этого объема газа объем, занимаемый самими атомами урана, и оставить только объем межатомного пространства. Объем атома урана составляет 17.15 кубических ангстрем. В одном г-атоме находятся 6х1023атомов. Следовательно, сами атомы занимают 1.029х1025 кубических ангстрем объема. Это равно 10.29 см3. Следовательно, межатомное пространство будет равно 19.04—10.29 = 8.75 см3, что соответствует 8.75х10—6 м3
Подставляя эти величины в формулу, получаем значение температуры в центре ядра Земли 12187.5х3,6х8.75=383906°К.
Однако, такая оценка оказывается неточной, поскольку при такой температуре атомы ионизированы, следовательно, имеют меньший размер, что сказывается на объеме межатомного пространства, использованного для расчета. Для более точной оценки температуры необходимо подобрать степень ионизации атомов, соответствующую расчетной температуре в слое. Для расчета примем допущение, что все атомы при расчетной температуре имеют одинаковую энергию (нет распределения энергий частиц по Максвеллу). Что степень ионизации происходит ступенчато. Что ионизация очередного электрона в элементе начинается по достижении температуры, соответствующей энергии ионизации. Увеличение тепловой энергии атома на 1 эв соответствует увеличению температуры на 7752°К.
При полученной расчетной температуре в 383906°К, атомы будут иметь энергию 383906°К/7752 К=49.52 эв.
Энергия последовательной ионизации атома урана составляет 6.19, 11.6, 19.8, 36.7 эв. Поскольку в литературе энергии ионизации урана более высоких степеней найти не удалось, используем для приближенного расчета близкие энергии ионизации лантана (5.59, 11.38, 19.1, 52.2, 65.7, 80.0, 99.5, 114.1). С учетом неизбежного при пересчете увеличения значений температуры в слое, предположим, что энергия ионизации составляет +7, радиус иона для урана +7 составит примерно 0.8Ǻ, объем иона 2.14Ǻ3, а расчетная температура в центре Земли получается 779220°К, Оценим верно ли мы взяли степень ионизации +7. Разделив рассчитанную температуру 779220 °К/7752°К, получаем энергию ионов в 100.51 эв. Эта энергия соответствует ионизации +7 (для лантана 99.5). Значит, принятая степень ионизации +7 верна.
По этой же схеме рассчитаны температуры в других горизонтах по глубине ядра Земли и показаны в таблице 7. Расчеты проведены по уровням внешних радиусов слоев элементов.
Из 33 элементов, составляющих ядро, выбрано 12 слоев элементов, по которым проведен расчет температур на уровнях расположения их слоев. Значения полученных температур и промежуточные параметры для расчета показаны в таблице 8. Расчёты были проведены мной, а данная концепция впервые была опубликованы в работе [Тимофеев, 2014]

По значениям температур этих слоев построена кривая (рис. 21). Здесь мы видим, что начиная от поверхности наружного ядра температура сначала поднимается довольно плавно, затем, примерно в слое никеля начинает происходить значительное нарастание температуры. Начиная со слоя рутения происходит ионизация вещества. Далее в субъядре кривая снова переходит к более плавному поднятию температуры. В центре Земли температура достигает максимума, примерно 780000°К. Именно при такой температуре уран в состоянии газа по расчету имеет плотность 12.5 г/см3 в условиях давления 3.61 миллион атмосфер и находится при этом в седьмой степени ионизации. Снижение интенсивности нарастания температуры на глубине более 5000 км объясняется тем, что основные цепные ядерные реакции активно выделяющие тепло протекают в слое F. Дальнейшее, менее интенсивное нарастание температуры в субъядре (в слое G) объясняется менее активными здесь реакциями, выделяющими тепло за счет радиоактивного распада, здесь U238 и заурановых элементов.

Рис. 21. Изменение температуры по глубинам в ядре Земли: 1 – кривая давления; 2 – расчетная кривая температуры без учета ионизации атомов; 3 – реальная кривая изменения температуры в ядре Земли с учетом ионизации
В течение истории Земли температура ядра непрерывно растет со средней скоростью примерно 0.17 °С за тысячу лет.
Фотонный газ в ядре Земли
Гипотеза 24
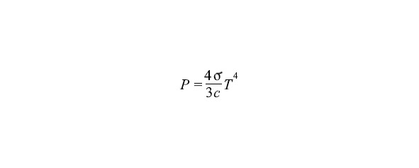
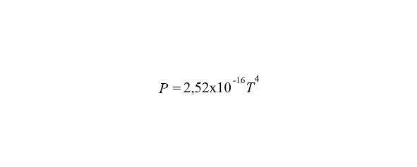
Высокая расчетная температура в ядре Земли требует учесть влияние давления фотонного газа. В газообразном веществе при высоких температурах кроме атомов элемента появляется значительное количество фотонов, которые создают дополнительное давление [Мартинсон, Смирнов http://fn.bmstu.ru/data-physics/library/physbook/tom5/ch1/formulas/fml1.43_more.htm]. Давление света в обычных условиях составляет очень небольшую величину. Солнечные лучи в яркий день создают давление приблизительно 0.43 дин/м2. Однако, учитывая, что давление пропорционально четвертой степени от температуры, при высоких температурах оно достигает значительных величин. Давление фотонного газа рассчитывается по формуле:

Здесь σ – постоянная Стефана—Больцмана, 5.67.10—8Дж·с—1·м—2 · К—
с – скорость света в вакууме.3х108 м/с,
что соответствует

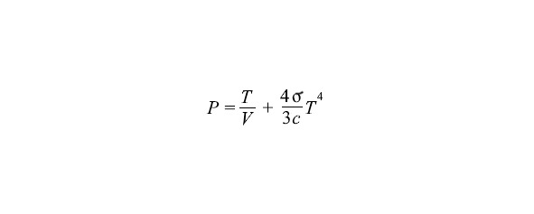
График изменения давления фотонного газа от температуры (рис. 22). Расчетная величина давления фотонного газа в центре Земли при температуре 780000°К равна 932 атм, что составляет 0,026% от общего давления (3.61миллиона атм.) и уже влияет на состояние ядра. Полное давление в определяемой зоне ядра Земли описывается формулой:

Давление фотонного газа в центре Земли показано (рис. 15).

Рис. 22. Изменение давления фотонного газа от температуры: 1 – давление фотонного газа в центре Земли в настоящее время
Составляющая давления кинетической энергией атомов возрастает линейно от величины температуры, в то время как составляющая давления фотонного газа зависит от температуры в четвертой степени. Поскольку величина давления в ядре ограничивается силами гравитации, то повышение давления фотонного газа компенсируется снижением давления, создаваемого кинетической энергией атомов за счет увеличения объема и снижения плотности вещества. Очевидно, что вклад давления фотонного газа в состояние больших планет Юпитера, Сатурна, а также Солнца и звезд значительно больше, чем у Земли из-за более высокой температуры в их глубинах. Высокие давления фотонного газа привели к расширению веществ и снижению плотностей больших космических тел. Ядро Земли находится в стадии начала процесса расширения от возрастания давления фотонного газа. Величины давлений фотонного газа в ядрах планет растут от непрерывно повышающихся температур.
Малая плотность вещества Сатурна, Юпитера, Урана, а также сравнительно малая плотность вещества Солнца есть следствие не их состава из водорода. Представления о водородном Солнце и водородных больших планетах примитивны. Это, вероятно, то, что первое пришло в голову для объяснения малой плотности веществ этих космических тел, поскольку водород в состоянии разреженного газа имеет самую малую плотность. Есть вещество, которое намного легче водорода в условиях высоких температур и давлений, это фотонный газ. Состав элементов, из которых состоят Солнце, Сатурн, Юпитер, Уран, все-таки ближе к составу Земли, а малая плотность этих космических тел объясняется большим содержанием в их глубинах фотонного газа.
Некоторое давление в глубинах космических тел могут создавать и самые разные виды излучений, например, нейтроны, протоны, α- и β-частицы. Оценка величин такого давления не проводилась, но очевидно, что с увеличением масс космических тел, следовательно, с увеличением интенсивности протекания в них ядерных реакций, значения таких давлений будут возрастать. Эта тема представляет самостоятельный интерес для дальнейших исследований.
Массообмен в ядре Земли
Гипотеза 25
Состояние веществ в ядре Земли не является стабильным и неизменным. Процессы изменения и перемещения веществ начались с самого зарождения планет и продолжаются в настоящее время. Изменения проходят закономерно, одновременно с участием целого ряда процессов, при этом одни процессы завершаются окончательно, как например, полный распад определенных изотопов, другие в определенный момент времени начинаются и продолжаются миллиарды лет. Одни процессы имеют глобальное значение, как по массам, так и по выделениям энергии, другие проходят в малых масштабах. Выглядит так, будто преобразования происходят по программе какого-то командно-временного механизма планетарного масштаба, при этом процессы на разных планетах похожи, имеют сравнительно небольшое отличие, связанное с несколько отличающимися их составами и с разной массой.
Перемещение масс вещества мантии в ядро
Гипотеза 26
С поднятием температуры до достижения значения, при котором энергия теплового движения частиц достигает энергии химических связей, происходит распад пород в атомарное состояние. Такой процесс начался в архее и образовал зарождающиеся ядро Земли и мантию, с образованием границы, где протекают реакции распада.
В процессе распада вещество мантии, имеющее часто сложный состав, разделяется на две основные фракции. Легкую фракцию, состоящую из веществ со сравнительно малой плотностью атомов, которая поднимается вверх через слои мантийного вещества, образуя столбы дистиллированного (деплетированного) вещества, очищенные от включений более плотных атомов и тяжелую фракцию, которая состоит из веществ со сравнительно большой плотностью атомов. Тяжелая фракция опускается в ядро Земли и разделяется на отдельные виды атомов, распределяясь по соответствующим слоям. В настоящее время граница раздела находится на глубине примерно 2900 км от поверхности Земли, где давление составляет примерно 1.5 миллиона атмосфер. Известно, что ряд веществ может находиться в состоянии элементов в нормальных условиях (ртуть, золото, инертные газы…). С возрастанием температуры перечень таких элементов увеличивается. Для этих элементов нет препятствий под высоким давлением переходить в состояние кристаллического газа даже не на границе между мантией и ядром. Эти элементы при определенных для них температурных условиях переходят в плотное состояние кристаллического газа в объеме мантии, что приводит к выпадению их из мантии в ядро (для тяжелых элементов) раньше, чем до них дойдет горячий фронт ядра Земли. На поверхности ядра Земли при температуре 4000—5000°С происходит распад самых термостойких здесь мантийных соединений. Образовавшиеся при распаде тяжелые атомарные элементарные вещества конденсируются в отдельные капли кристаллического газа разного состава по видам элементов, которые погружаются в ядро. По расчетам верхний слой ядра состоит из цинка в состоянии кристаллического газа. Нахождение цинка в жидком состоянии здесь исключено, поскольку он имеет сравнительно невысокую температуру кипения 907°С. Таким образом, все элементы образовавшейся тяжелой фракции, если это не цинк, который просто вливается в верхний слой ядра дождем из капель кристаллического газа, идут через цинковый слой, погружаются через другие слои ядра, находя свои слои для каждого элемента, и вливаются в них. По мере опускания происходит нагревание капель более горячими нижними слоями, через которые они проходят, и вещество их в определенные моменты может перейти в состояние реального газа, что, тем не менее, не позволяет ему и в этом состоянии смешиваться с веществом любых окружающих слоев, кроме своего. Производительность выпадающего дождя, пополняющего массу ядра Земли, в среднем за период его развития составляет (масса ядра, деленная на возраст Земли 1934х1021/4.5х109=429.7х1012 кг/год) порядка 500 миллиардов тонн в год. Если мантия будет разрушаться с такой же скоростью и далее, то раскаленные массы ядра появятся на поверхности Земли через 9.4 миллиарда лет, и вся Земля будет состоять из ядра, как практически из одного ядра состоит в настоящее время Юпитер или Солнце.
Термониз перехода вещества в кристаллический газ
Гипотеза 27
На поверхности Земли в условиях малого давления хорошо известно явление конвекции. Конвекция – это всплытие разогретой массы в среде менее нагретого вещества. Объясняется конвекция тем, что вещество при нагревании расширяется, и плотность его уменьшается. В глубинах Земли, где высокие давления препятствуют тепловому расширению (силы гравитационного сжатия превосходят силы расширения, вызванные кинетической энергией теплового движения частиц), при нагревании может происходить явление погружения более нагретого вещества. В условиях глубин Земли есть два фазовых перехода при нагревании, вызывающих увеличение плотности веществ. Переход в состояние кристаллического газа при температурах разрушения межатомных связей (1000—6000°К) и переход в ионизированное состояние при температурах более 30000°К. Оба эти перехода фазового состояния могут создавать условия для погружения более разогретого вещества в ядре Земли. Явление погружения более разогретого вещества получило название «термониз» [Тимофеев, 2009б].
Термониз – это перемещение разогретого вещества вниз в условиях, когда плотность его из-за разогрева возрастает.
Зонами термониза от перехода вещества в состояние кристаллического газа являются слои элементов верхней части наружного ядра. Одними из веществ в этой зоне, переходящими в состояние кристаллического газа, могут быть H, He, N, O, F, Ne, Cl, Ar. Плотность атомов этих элементов достаточно высокая, и в состоянии близком к состоянию кристаллического газа они вполне могут быть в числе элементов, образующих геосферы в этой зоне. Слои этих веществ образуют тепловой барьер на поверхности ядра.
Слои элементов на границе нижней части верхнего ядра Земли и субъядра являются зонами термониза от перехода вещества в ионизированное состояние.
Плотность атомов при ионизации, а также при дальнейшем увеличении ее степени, существенно возрастает из-за резкого уменьшения их размеров. Очевидно, что вещество при ионизации погружается.
В нормальных условиях явление термониза наблюдается у воды в температурном диапазоне +4—0°С. В этом диапазоне при нагревании у воды увеличивается плотность, и более нагретая вода погружается вниз. На рис. 23 показан термониз (тепловой барьер) перехода в кристаллический газ на границе мантии и ядра Земли. Также образно, в виде языков пламени, направленных в центр, изображена картина термониза ионизированного вещества в ядре Земли.

Рис. 23. Ядро Земли. Термониз. 1 – уран 238 и ионизированные продукты ядерных реакций; 2 – слой F (уран 235, 233); 3 —слои наружного ядра Земли; 4 – термониз перехода в кристаллический газ (граница между ядром Земли и мантией)




