Все науки. №11, 2023. Международный научный журнал

- -
- 100%
- +
In this case, it is worth analyzing the reaction of the form (51).

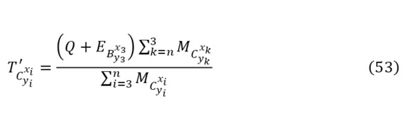
Exactly as the analysis was carried out for reaction (1), a similar algorithm is carried out for reaction (51), but, of course, the Coulomb barrier is not determined, since there is no directed particle for this reaction, therefore the yield of this reaction (52) is determined, and then the kinetic energy for all reaction products (53).


And one of the final points of the analysis of the decay reaction is the indication of the law of nuclear decay (54).

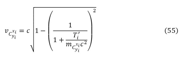
In this case, a certain stable nucleus and light particles are obtained, with a certain kinetic energy and a known velocity (55).

If the real core is radioactive again, although such cases are quite rare, the same algorithm for analyzing decay reactions works for them. In this case, each of the particles will also repel, receiving an additional outgoing Coulomb barrier, which is taken into account.
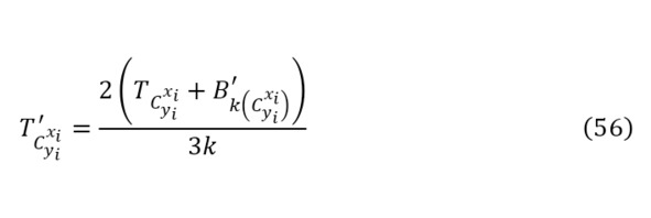
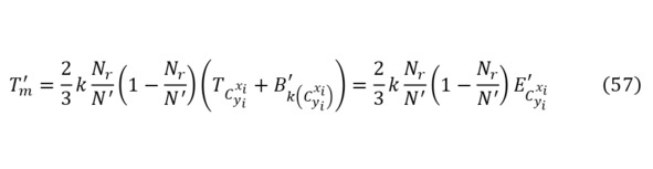
In this case, for the nucleus, the kinetic energy and the temperature generated from it are explained by means of the already derived patterns for the formed part (56) and for the entire target (57), and for light particles, the kinetic energy is known, as well as the charge through (58) and current (59).




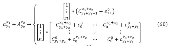
However, this does not end the analysis of the reaction, since only one channel of the nuclear reaction has been analyzed, which means that it is worth paying special attention to all possible different combinations (60).

In this case, all possible variations of nuclear reaction channels are expressed as a matrix product, however, of course, most of them, especially those associated with heavy nuclei, are unlikely, but even this is not a complete list, since there are also reactions when the kinetic energy of directed particles becomes sufficient to create new particles. In addition, do not forget the cases when the output of particles increases, that is, 3, 4, etc. are already formed. the products of nuclear reactions, but only for their recording it was already necessary to use complex n-dimensional matrices.
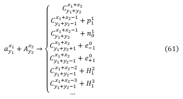
Therefore, in practice, only the most probabilistic ones are left (61).

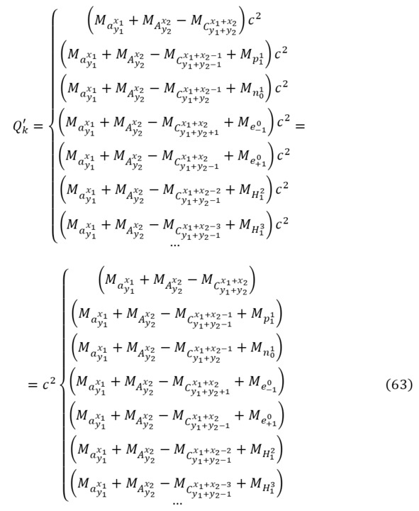
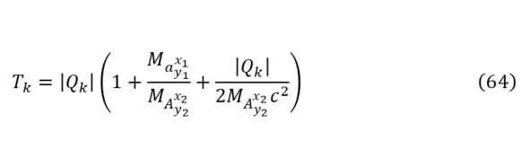
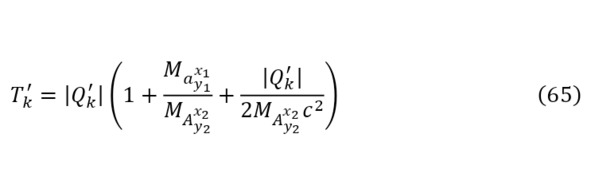
So, if the moment of formation of new particles is not taken into account, most often cases of the formation of an integral nucleus, the formation of a proton, neutron, electron, positron, deuteron, triton or other similar particles are taken (61). For each of these reactions, the output of the nuclear reaction channel is calculated for all possible enumerated combinations, unlike multidimensional cases and particle formation (62) and for more probabilistic channels of the nuclear reaction (63), along with the threshold of the nuclear reaction channel also for absolutely all cases except the above (64) and more probabilistic channels presented (65).




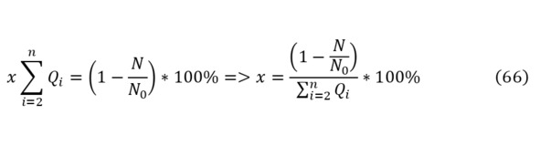
This is how the corresponding expressions were determined for all the presented channels of the nuclear reaction, it is worth taking the true formula (66), which represents the sum of the products of all the outputs of the channels by a certain number.

Moreover, one of the reaction channels was previously analyzed on a full scale, from which the value of the percentage efficiency of this channel (29) was obtained from the difference of which the required indicator is calculated. The present expression shows that each channel has its own percentage of efficiency, which in total is 100% of the effectiveness of the entire reaction.
From a practical point of view, this can be regarded as a percentage separation of all directed particles, and each of them performs one or another reaction channel in a certain proportion, of course, there is still some percentage attributable to beam scattering on the target, but this is the smallest value, after which all unlikely reactions occur. In addition, it is logical to assume that for cases when the reaction output becomes negative, that is, the channel itself, for which the output was determined – endo-energetically, then the probability of its passage in comparison with positive exa-energy channels becomes practically zero, therefore it is simply not taken into account in the equation.
If, when describing channels, almost all, even more likely channels are endo-energetic, then the channel that is closer to zero will become more likely, that is, for which it is necessary to spend less energy compared to others. Based on (66), it is possible to determine the probability for all reaction channels also relative to the nuclear reaction outputs (67—68) given in (62—63).


Finally, the kinetic energy of the products of each of the reaction channels can be determined according to the same algorithm that was originally used and presented in (9—10) and (12), exactly as for all nuclei, according to the algorithm already presented. Thus, finally, it can be said that the nuclear reaction (1), brought to a state of resonance with the energies of the incoming particles, close to the value of the Coulomb incoming barrier, has been fully analyzed.
RESULTS
The results of the analysis are presented as follows:
1. The condition of the task: a nuclear reaction of the form (1) was investigated with initially set parameters in the form of the kinetic energy of the directed beam and the mass of all participating particles in the nuclear reaction in a. u. m.;
2. Directed beams expend a certain amount of energy to overcome the Coulomb barrier, having residual energy – its found value is indicated;
3. The enumeration of the outgoing particles from the main channel of the nuclear reaction, including various groups of gamma quanta, if any, indicating the kinetic energy (where, if necessary, their classification by energy is also compiled), charge and current of each of them;
4. If the formed particles can probabilistically interact (like the annihilation of positrons and electrons), then this is indicated and an additional list with all relevant records is provided;
5. In accordance with each of the reactions, a list is given with all the work performed in J and power in Watts for each type of radiation with all components. At the same time, indicating general conclusions on the objectives of this study – general study / generation of electric energy / establishment of conclusions on some exact aspect, etc., as well as conclusions in the appropriate direction: the amount of energy generated, conclusions on the necessary aspect, general scientific data, conclusions, etc.
CONCLUSION
Based on theoretical analysis, the energies of the formed particles and their nature of origin are calculated. Nuclear reactions with bombarding charged particles with high and low kinetic energies of target nuclei have been studied, as well as the newly introduced resonant state of these nuclear reactions. Thus, the latest model for the study and analysis of a nuclear reaction was presented with the possibility of bringing it to a state of resonance.
ACKNOWLEDGEMENTS
The research project is funded by Electron Laboratory LLC and the Electron Scientific School at Electron Laboratory LLC as part of the large-scale Electron project. The author is grateful to the Academic Council of the Scientific School and colleagues for their advice and practical assistance in conducting the study, in particular Abdurakhmonov Sultonali Mukaramovich, Rinad Fuadovich Rumi, Jalolov Botirali Rustamovich and Karimov Bohodir Xoshimovich.
DECLARATION OF INTERESTS
The author, being the director of the organization that finances all the research within the framework of this article, declares that they have no known competing financial interests or personal relationships that could affect the work described in this article.
REFERENCES
1. Romanenko I.M., Holiuk M.I., Nosovsky A.V., Vlasenko T.S., Gulik V.I. Investigations of neutron radiation shielding properties for a new composite material based on heavy concrete and basalt fiber. Nuclear and Radiation Safety. 2023. Volume 3, Number 79, 42pp. – No. 472018.
2. Haubold Hans J., Kabeer Ashik A., Kumar Dilip. Analytic forms of thermonuclear functions. Physica A: Statistical Mechanics and its Applications. Volume 63015. November 2023. No. 129249.
3. Zavestovskaya I.N., Rusetskii A.S., Rusetskii A.S., Oginov A.V., Kocherov V.V., Shpakov K.V., Shemyakov A.E., Ryabov V.A. Investigation of the Yield of the Nuclear Reaction B + p – 3α Near Resonant Energy Using CR-39 Track Detectors. Bulletin of the Lebedev Physics Institute. 2023. Volume 50, Chapter 7, 279 – 284 pp.
4. Zhang H., Su J., Li Z.H., Li Y.J., Li E.T., Chen C., He J.J., Shen Y.P., Lian G., Guo B., Li X.Y., Zhang L.Y. Updated reaction rate of Mg25 (p,γ) Al26 and its astrophysical implication. Physical Review C. 2023. Volume 107, Chapter 6. No. 065801.
5. Dong G.X., Wang X.B., Michel N., Płoszajczak M., Płoszajczak M. Gamow shell model description of the radiative capture reaction B8 (p,γ) C9. Physical Review C. 2023. Volume 107, Chapter 4. No. 044613.
6. Turakulov S.A., Artemov S.V., Yarmukhamedov R. Analysis of the 12C (3He, d) 13N Proton Stripping Reaction to the Resonant State. Russian Physics Journal. 2023. Volume 65, Chapter 12, 2086 – 2093 pp.
7. Aliyev I. X. The collision energy of oncoming beams. A young scientist. International Scientific Journal. Part No.16 (306) /2020. ISSN 2071—0297. Publishing house «Young scientist». 2020. 7—10 pp.
8. Aliyev I. X., Karimov B. X. Linear electron accelerator in power engineering. An exact science. Issue No. 85. Pluto Publishing House. ISSN 2500—1132. 2020. 23—29 pp.
9. Aliyev I. X. On a heuristic idea about the emergence of a new energy technology for generating energy from resonant nuclear reactions. The international scientific journal «All Sciences». Electron Scientific School, Ridero. No. 1, 2022. 13—18 pp.
10. Aliyev I. X., Karimov B. X. Algorithm for the development of accelerator technology. The international scientific journal «All Sciences». Electron Scientific School, Ridero. No. 2, 2022. 9—16 pp.
11. Aliyev I. X. Aluminum resonant nuclear reaction. The international scientific journal «All Sciences». Electron Scientific School, Ridero. No. 3, 2022. 24—44 pp.
12. Aliyev I. X., Jalolov B. R., Karimov B. X. The role of resonant nuclear reactions in modern energy. The role of resonant nuclear reactions in modern energy. The international scientific journal «All Sciences». Electron Scientific School, Ridero. No.6, 2022. 50—113 pp.
13. Aliyev I. X. On the possibilities of mathematical apparatus on the way to creating an intuitive understanding device regarding the phenomena of electromagnetism during the simulation of plasma retention systems in systems of resonant nuclear reactions. The international scientific journal «All Sciences». Electron Scientific School, Ridero. No.6, 2023. 6—31 pp.
14. Aliyev I. X. The relevance and necessity of modern design of technologies based on neutron nuclear reactions with increased accuracy of monochromaticity when carried out on special accelerator technology. The international scientific journal «All Sciences». Electron Scientific School, Ridero. No. 7, 2023. 5—18 pp.
15. Montoya-Castillo Andresa, Markland Thomas E. A derivation of the conditions under which bosonic operators exactly capture fermionic structure and dynamics. Journal of Chemical Physics. 2023. Volume 158, Chapter 97. No. 094112.
16. Di Nitto A., Vardaci E., Davide F., La Rana G., Ashaduzzaman M., Mercogliano D., Setaro P.A., Banerjee T., Vanzanella A., Bianco D., Cinausero M., Gelli N. Clustering effects in Ar36 nuclei produced via the Mg24 + C12 reaction. Physical Review C. 2023. Volume 107, Chapter 2. No. 024615.
17. Wan, Kangnia, Li, Ming, Huang Tinga, Zhang Weia, Zhang Tianjia, Li Xiuqina, Wang Haifengd, Lv Juane. Accurate Determination of Trace Water in Organic Solution by Quantitative Nuclear Magnetic Resonance. Analytical Chemistry. 2023.
18. Kononchuk R., Feinberg J., Knee J., Kottos T. Enhanced avionic sensing based on Wigner’s cusp anomalies. International Conference on Metamaterials, Photonic Crystals and Plasmonics. No. 9482023. 13th International Conference on Metamaterials, Photonic Crystals and Plasmonics, META. 2023. No-1. 300609.
19. Mao Weia, Gong Weia, Gu Zhijieb, Wilde Markus, Chen Jikun, Fukutani Katsuyuki, Matsuzaki Hiroyuki, Fugetsu Bunshi, Sakata Ichiro, Terai Takayukig. Hydrogen diffusion in cerium oxide thin films fabricated by pulsed laser deposition. International Journal of Hydrogen Energy. 2023.
20. Godes Aleksandr I., Shablov Vladimir L. Lawson Criterion for Different Scenarios of Using D-3He Fuel in Fusion Reactors. Izvestiya Wysshikh Uchebnykh Zawedeniy, Yadernaya Energetika. 2023. Chapter 2, 134 – 147 pp.
21. Dorfman Amandaa, Wanhala Annab, Eng Peterb, Stubbs Joanneb, Colon Omara, Donetian Malika, Bracco Jacquelyn N. Inhibition of Strontium Adsorption and Desorption by Ethylenediaminetetraacetic Acid at the Barite (001) -Water Interface. Journal of Physical Chemistry C. 2023
22. Zhang Shizhenga, Xu Haoa, Xu Xing, Wei Wenqinga, Ren Jieru, Chen Benzheng, Ma Bubo, Hu Zhongmin, Li Fangfang, Liu Lirong, Yang Mingzhe, Lai Zeyu. Cross-Section Measurements of the 11B (p, α) 2α Reaction near the First Resonant Energy. Laser and Particle Beams. Volume 2023. 2023. No. 9697329.
23. Paryev E. Ya. Towards clarifying the possibility of observation of the LHCb hidden-charm pentaquarks Pc+ (4312), Pc+ (4337), Pc+ (4440) and Pc+ (4457) in near-threshold charmonium photoproduction off protons and nuclei. Nuclear Physics A. Volume 1029. 2023. No. 122562.
24. Alayafi Hassan Ali, Alruwaili Mubarak, Aljumah Talal Khalid, Alshehri Alid, Alrasheed Deema, Alanazi Muhannad Faleh AlRuwaili, Raed, Ali Naif H., Albarrak Anas Mohammad, AlRashdi Barakat M., Taha Ahmed E. Mycoplasma pneumoniae and Schistosoma mansoni co-infection in a young patient with extensive longitudinal acute transverse myelitis. Journal of Infection in Developing Countries. 2022. Volume 16, Chapter 12, 1933 – 1938 pp.
25. Pelloni Sandro, Rochman Dimitri. Adjustment of JEFF-3.3 data for U-235 and Pu-239 in the fast, non-resonant energy range. Annals of Nuclear Energy. Volume 177. 2022. No. 109296.
26. Liu Fu-Long, He Chuang-Ye, Wang Hao-Ran, Bo Nana, Wu Di, Ma Tian-Li, Yang Wan-Sha, Wei, Ji-Hong, Wang Zhi-Qiang, Liu Yi-Na, Song Ming-Zhe, Liu Yun-Tao. Thick-target yield of 17.6 MeV $\gamma$ ray from the resonant reaction 7Li (p, γ) 8Be at Ep = 441 keV. Nuclear Instruments and Methods in Physics Research, Section B: Beam Interactions with Materials and Atoms. 2022. Volume 529, 56 – 60 pp.
ЭКОНОМИКА
АГРОСАНОАТ КЛАСТЕРЛАР БОШКАРУВ ВА УЗ-УЗИНИ БОШКАРИШНИНГ ТАШКИЛИЙ ВАЗИФАЛАРИ
УДК 005.3
Базаров Хайрулло Хайитбаевич
Ўзбекистонда хизмат кўрсатган иқтисодчи, Фарғона вилоят хокими
Аннотация. Агросаноат кластери ва фермер хужалигидаги бошкарувнинг ташкилий вазифаси ишлаб чикариш тизимидаги киши хулкининг шахсий ва ижтимоий ниятларини урганишни назарда тутади, чунки шахснинг ва мехнат жамоаси манфаатларининг мазкур ишлаб чикаришнинг ижтимоий-иктисодий максадларига мувофик булиши учун маълум мехнат (мувофикловчи), иктисодий, ижтимоий ва бошкарувчилик алокалари урнатилиши ва таъминланиши керак. Ходим узи тизимнинг фаол унсури булган холда, айни тизимнинг максадларини тугри тушуниб ва кабул килиб, тизимнинг самарали фаолият курсатишини таъминловчи зарурий ишлаб чикариш алокаларини узи урната олади. Ва шунда унинг кластерчилик урни намоён булади.
Калит сўзлар: Агросаноат кластери, тоифалаштириш, Агросаноат кластери фалсафаси, Ипакчилик илмий-тадкикот институти.
Аннотация. Организационная задача управления в агропромышленном кластере и фермерском хозяйстве предполагает изучение личностных и социальных интенций поведения человека в производственной системе, так как для этого необходимо установить определенные трудовые (регулировочные), экономические, социальные и управленческие отношения. интересы личности и трудового коллектива должны соответствовать социально-экономическим целям данного производства и должны быть обеспечены. Если человек является активным элементом системы, он может понять и принять цели системы, а также установить необходимые отношения развития, обеспечивающие эффективное функционирование системы. И затем обнаруживается его урна с кластерами.
Ключевые слова: агропромышленный кластер, классификация, философия агропромышленного кластера, Научно-исследовательский институт шелковой промышленности.
Abstract. The organizational task of management in an agro-industrial cluster and a farm involves the study of personal and social intentions of a person’s behavior in the production system, as it is necessary to establish certain labor (adjusting), economic, social and managerial relations for the interests of the individual and the labor team to be in accordance with the socio-economic goals of this production. and must be provided. If a person is an active element of the system, he can understand and accept the goals of the system, and establish the necessary development relationships that ensure the effective functioning of the system. And then his clustering urn is revealed.
Key words: Agro-industry cluster, classification, Agro-industry cluster philosophy, Silk Research Institute.
Агросаноат кластерининг бошкарувнинг бош вазифаларидан бири – кластернинг яхлит тизими сифатида шаклланиши, фаолият курсатиши ва ривожланиши максадларини урнатилишидир. Мазкур вазифа ёндош ишлаб чикариш ва бошка ижтимоий-иктисодий тизимлар билан алокадорликда чикиши мумкин; ишлаб чикариш тизимининг, унинг унсурлари каби бошка тизимлар (унсурлар) билан алокага киришиш объектив хусусияти хар бир аник холатда маълум сонли объектлари булган якуний алокаларни урнатишнинг мутлако маълум имкониятлари билан ифодаланади.
Хар кандай ишлаб чикариш, у саноат корхонаси ёки фермер хужалиги булишидан катъий назар, ташки мухит билан мулокотлар учун очик булади. У ёндош ишлаб чикариш ва бошка хил ижтимоий-иктисодий тизимлар билан алокага киришиши, янада мураккаб ишлаб чикариш тизимига интеграцияланиши мумкин. Ташки алокалардан фойдаланиб бошка тизимлар билан бирикиш кобилияти ишлаб чикариш тизимининг энг жиддий хусусиятидир, унингсиз мазкур тизим умуман яшай олмайди.
Агросаноат кластери ишлаб чикариш (энг содда ёки кушма) тизимининг уз-узини ташкиллаш кобилиятининг табиати ихтиёрий эмас, балки кайта ишлаб чикариш конунларига буйсунадиган ишлаб чикаришнинг мохиятидан келиб чикадиган объектив тусида булади. Лекин уз-узини бошкариш бошкарувнинг кластерчилик вазифаси билан кандай узаро нисбатланар экан? Энг содда ишлаб чикариш тизим, масалан, «трактор – инсон» факат ер унсури ва тракторнинг ишлашини таъминловчи кичик тизимлар (ёкилги, эхтиёт кисмлар, таъмирлаш, асбоблар) билан унинг технологик алокалари бузилмаган холатдагина ва шунингдек качонки тракторчининг мехнати туланиши шартида ижтимоий максадга мувофик хусусиятга (иктисодий ва ижтимоий алокалар) эга булса фаолият курсата олади. Буларнинг барчаси кайта ишлаб чикариш жараёнини таъминловчи объектив зарурий алокалардир.
Агросаноат кластери ишлаб чикариш тизимининг, унинг унсурлари каби бошка тизимлар (унсурлар) билан алокага киришиш объектив хусусияти, хар бир аник холда маълум сонли объектлари булган якуний алокаларни урнатишнинг мутлако маълум имкониятлари билан ифодаланади.
Бундай кобилият тизим валентлиги деб номланади. Валентликни мазкур тизимли унсурнинг кушма тизимда у ёки бу тизим (унсур) билан бирлаша олиш имкониятларни таърифловчи бир катор техник, технологик ва иктисодий курсаткичлар белгилайди1.
Ташкил илишнинг бошкарув сифатидаги вазифаларининг бири – бу комбинацион имкониятларни аниклаш ва ишлаб чикариш тизимининг умуман самарадор фаолият курсатишини таъминловчи окилона алокаларни урнатиш учун тизимлар валентлиги урганишдир.
Бошкарувнинг максадлари ва вазифалари. Максадни фахмлаш; ташкиллашнинг бурчи; компания фалсафаси; бурчни ифода килиш мазмуни.
Ташкил этиш максадлари, максадни ифода килишга куйиладиган талаблар, максадларни тоифалаштириш, вазифа бажарувчи кичик тизимларнинг максадлари; максадлар дарахти.
Максадлар буйича бошкарув концепцияси, унинг мохиятлари, тамойиллари, максадлар буйича бошкарув жараёни боскичлари, афзалликлар ва камчиликлар; бошкарув вазифалари; режалаштириш, ташкил эттириш, манфааатлар ифодаси, мувофиклаштириш, назорат.
Агросаноат кластери кластер бурчи. Бошкарувнинг бош вазифаларидан бири – бу кластернинг яхлит тизим сифатида фаолият курсатиши ва ривожланишига эришиш максадларини урнатиш демакдир.
Агросаноат кластери максадни фахмлаш – ривожланаётган бозор иктисодиёти шароитида тотобора каттарок ахамиятга эга булаётган менежер фаолиятидаги бошлангич пайтдир. Давлат тасарруфидан чикариш ва монополиядан чикариш, мулк эгалиги шакллари хилма хиллигининг конун томонидан мустахкамланиши, иктисодиёт бошкарувининг марказсизлантирилиши ва минтакавийлаштирилиши натижасида янги тузилаётган корхоналар сони йилдан йилга купаймокда. Улар уз хаётий циклини яратилиш боскичидан бошлайдилар, ушбу боскичда энг аввал кластернинг максадлари, вазифалари, унинг ихтисослашуви, улчамлари, ресурслари, махсулот ёки хизмат истеъмолчиларининг бозорлари белгиланади. Худди шу вазифаларни зиммасига натижалар учун тулик масъулият юклатилган мустакил хужалик юритувчи субъектлар хам хар доим хал килишлари лозим.
Агросаноат кластери максадли вазифа корхона фалсафаси ва яшаш мазмунини ифодаловчи корхона бурчининг урнатилишидан бошланади. Унда одатда корхона тасарруфи батафсиллаштирилади, корхона ишлашининг тамойиллари, рахбариятнинг эълонлари ва хакконий ниятлари баён этилади, кластернинг энг мухим тавсифларининг таърифи келтирилади.
Аввалги хужалик юритиш шароитида корхоналар уз бурчини белгиламасди, чунки марказлаштирилган бошкарувда хар бир бошкарилаётан объектнинг максадлари ва вазифалари юкоридан белгиланиб, катъиян буюрилар эди. Одатдагидек, улар режали топшириклар ва марказий органлар томонидан ажратилган ресурслардан фойдаланиш курсаткичлари тизими оркали ифодаланар эди.
Агросаноат кластери хозир бозор иктисодиётининг кучга кираётган конунлари хужалик юритувчи субъектлар хулкининг маълум коидаларга буйсунишини талаб килади. Булар орасида кластернинг яратилиш максади, атроф мухит, ходимлар, умуман жамият учун зарурийлиги ва фойдалилиги тугрисида тасаввур берадиган кластер бурчининг шаклланиши мавжуд. Янада умумийрок тизимнинг кисми булмиш кластер ва кластер бурчи уртасида зиддиятлар булмаслиги лозим.




