Законы и закономерности развития систем. ТРИЗ. Изд. 2-е, испр. и дополненное

- -
- 100%
- +
– и т. д.
Поля могут быть импульсными, с измененяемой скважностью.
Общая тенденция динамизации полей – это переход от постоянного к переменному и импульсному полю (рис. 5.29).

Рис. 5.29. Тенденция динамизации полей
Электрическое поле может быть статичным и динамичным. Электрический ток может быть: постоянный, переменный и импульсный, положительный и отрицательный. Частота и амплитуда тока могут меняться. Форма кривой переменного тока может быть разная: синусоидальная, прямоугольная, треугольная, пилообразная и т. д.
5.2.7. Идеальная форма
В некоторых случаях можно говорить и об идеальной форме.
Идеальная форма – обеспечивает максимум полезного эффекта для выполнения определенной функции.
5.2.8. Идеальный процесс
Технологический процесс происходит тем идеальнее, чем он производительней, качественней и чем меньше требуется затрат вещества, энергии, трудозатрат (в том числе и на управление процессом), и чем меньше вредных воздействий он производит.
Идеального процесса быть не должно, а имеется результат – продукт или действие, осуществляемое процессом.
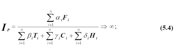
Степень идеализации процесса можно представить в виде формулы (5.4)52:


где
IP – степень идеализации процесса (безразмерная величина);
Fi – функциональность операции i (безразмерная величина);
Lk – уровень (важность) функции k в операции i (безразмерная величина);
Qk – качество выполнения функции k в операции i (безразмерная величина);
T – время выполнения операции i;
C – затраты средств на осуществление операции i;
H – вредное действие, создаваемое операцией i;
k – порядковый номер функции в операции i;
m – количество функций в операции i;
i – порядковый номер операции;
n – количество операций в процессе;
a, β, γ, δ – коэффициенты согласования.
5.2.9. Закономерность уменьшения степени идеальности (анти-идеальность)
Анти-идеальность – тенденция, противоположная закону увеличения степени идеальности, т. е. тенденция уменьшения степени идеальности.
В анти-идеальной системе количество функций стремится к 1, а для достижения поставленной цели не считаются с затратами времени и средств. Анти-идеальная система может причинять вред.
Часто в анти-идеальной системе стремятся осуществить максимально возможное качество выполнения функции, не считаясь с затратами, а возможно, и с причиняемым вредом (нежелательным эффектом).
Степень анти-идеальности можно представить в виде формулы (5.6):
(5.6)

где
I anty – степень анти-идеальности (безразмерная величина);
F – выполняемая функция или полезный эффект;
P – вредный эффект, затраты;
i – номер функции;
n – количество функций.
Частично эта тенденция была сформулирована ранее как закон избыточности.
Идеальность нацелена на уменьшение избыточности.
Анти-идеальность – это супер-избыточность.
Анти-идеальные системы характерны для достижения политических и военных целей, для создания военной техники и средств безопасности, в частности, для борьбы с террором, для создания уникальных объектов и престижа.
5.2.10. Резюме: направления и пути идеализации
Кратко опишем направления и пути идеализации.
1. Направления идеализации.
Идеализация идет в двух направлениях:
1.1. Сужение зоны рассмотрения технической системы: идеальная техническая система → рабочий орган → функция, которую он исполняет, т. е. система сводится к нулю.
1.2. Расширение зоны рассмотрения технической системы: рассматривается функция системы, функция надсистемы и т. д. вплоть до потребности. В этом направлении можно рассматривать другие альтернативные пути удовлетворения выявленной потребности. Таким образом, находятся принципиально новые пути решения.
2. Степени идеализации.
2.1. Система появляется в нужный момент в нужном месте по требуемому условию.
2.1.1. Складные объекты.
2.1.2. Надувные объекты.
2.1.3. Сменные части.
2.2. Самоисполнение.
2.2.1. Механизация.
2.2.2. Автоматизация.
2.2.3. Кибернетизация.
2.3. Идеальная система – функция.
2.4. Отказ от функции (функция становится не нужной).
3. Пути идеализации.
3.1. Сокращение отдельных частей системы или процессов.
3.2. Увеличения количества выполняемых функций.
3.3. Улучшение качества выполнения функции.
3.4. Сокращение затрат.
3.5. Устранение нежелательных эффектов.
4. Способы осуществления путей идеализации.
4.1. Увеличение удельных параметров.
4.2. Применение прогрессивного оборудования, материалов, процессов.
4.3. Использование одноразовых объектов.
4.4. Применение модульного принципа и блочных конструкций.
4.5. Использование дорогостоящих материалов только в необходимых местах в нужное время по требуемому условию.
4.6. Использование ресурсов.
4.7. Использование законов и закономерностей развития систем и механизмов их исполнения.
Анти-идеальность – тенденция, которая для достижения целей не считаются с большими затратами и, возможно, причинением значительного вреда.
5.3. Закономерность изменения степени управляемости и динамичности системы
5.3.1. Общие понятия
Закономерность изменения степени управляемости и динамичности является основной из закономерностей эволюции систем (рис. 5.30)

Рис. 5.30. Структура закономерностей эволюции систем
Эта закономерность имеет подзакономерность – закономерность изменения степени вепольности и закономерность изменения управляемости веществом, энергией и информацией (рис. 5.31).

Рис. 5.31. Закономерность изменения управляемости и динамичности
Кроме того, эта закономерность содержит две тенденции: увеличения и уменьшения управляемости и динамичности.
Основная из этих тенденций – это увеличение управляемости и динамичности. Вторая тенденция – вспомогательная. Особенности их применения будут изложены ниже.
Увеличение управляемости и динамичности – две взаимосвязанные тенденции, позволяющие увеличить степень идеальности системы.
– Более идеальная система должна быть более управляемой и более динамичной.
– Более управляемая система должна быть более динамичной.
– Динамичная система может приспосабливаться к внешним и внутренним изменениям, меняя свои параметры, структуру и функции:
а) в пространстве;
б) во времени;
в) по условию.
Закономерность увеличения степени управляемости и динамичности заключается в том, что любая система в своем развитии стремится стать более управляемой и боле динамичной, т. е. система должна повышать свою степень управляемости и динамичности.
5.3.2. Закономерность увеличения степени управляемости
Развитие системы идет в направлении увеличения степени управляемости.
Система может быть управляемой тогда и только тогда, когда она содержит в себе элементы с связи между ними, способные воспринимать управляющие сигналы, преобразовывать их в управляющие воздействия и адекватно воспринимать информацию о внутренних изменениях в системе и внешних воздействиях на нее. Это свойство часто называют отзывчивостью.
Общая тенденция увеличения степени управляемости (рис. 5.32) – переход:
– от неуправляемой к управляемой системе;
– неавтоматического (ручного) управления к автоматическому;
– проводного управления к беспроводному;
– непосредственного управления к дистанционному;
– от центрального управления к распределенному и самоорганизующемуся управлению (управление сетями).

Рис. 5.32. Общая тенденция увеличения степени управляемости
Закономерность увеличения степени управляемости также называют закономерностью вытеснения человека из системы, так как увеличение управляемости системы уменьшает степень участия человека в работе системы.
Раньше мы рассматривали следствия этой закономерности при рассмотрении степеней идеализации:
– система появляется в нужный момент в нужном месте, по необходимому условию;
– система все делает сама – самоисполнение (рис. 5.33):
а) механизация;
б) автоматизация;
в) кибернетизация (интеллектуализация).

Рис. 5.33. Уменьшение участия человека в работе системы
Тенденцию самоисполнения еще называют уменьшение участия человека в работе системы или вытеснения человека из системы.
Сначала человека вытесняют (заменяют) на уровне рабочего органа, затем на уровне источника и преобразователя вещества, энергии и информации, далее на уровне связей и наконец, на уровне системы управления, к которым относятся автоматизация и кибернетизация (рис. 5.34).

Рис. 5.34. Вытеснение человека из системы
Тенденция перехода от неуправляемой к управляемой системе показана на рис. 5.35. Она представляет собой:
Переход от неуправляемой системы к управлению по разомкнутому контуру, затем к переходу к системе с обратной связью, к адаптивной (самонастраивающейся) системе, к самообучаемой и самоорганизующейся системе и, наконец, к саморазвивающейся и самовоспроизводящей системе.

Рис. 5.35. Переход от неуправляемой системы к управляемой
5.3.3. Закономерность увеличения степени вепольности
Понятия о веполе и закономерности изменения степени вепольности будет рассмотрена в главе 17.
Общая тенденция представлена на рис. 5.36—5.40.

Рис. 5.36. Общая тенденция развития веполей

Рис. 5.37. Тенденция изменения структуры веполя

Рис. 5.38. Тенденция изменения комплексного веполя

Рис. 5.39. Тенденция изменения сложного веполя

Рис. 5.40. Тенденция изменения форсированного веполя
5.3.4. Закономерность изменения управляемости веществом, энергией и информацией
Закономерность изменения управляемости веществом, энергией и информацией подразделяется на закономерности (рис. 5.41):
– Изменения управляемости веществом;
– Изменения управляемости энергией и информацией.

Рис. 5.41. Изменение управляемости веществом, энергией и
информацией
5.3.5. Тенденция изменения управляемости веществом
В свою очередь изменение управляемости веществом осуществляется
(рис. 5.42):
– Использованием «умных» веществ;
– Изменением концентрации вещества;
– Изменением количества степеней свободы;
– Изменение степени дробления;
– Переходом к капиллярно-пористым материалам (КПМ).

Рис. 5.42. Изменение управляемости веществом
Тенденция изменения степени дробления Тенденция увеличения степени дробления Общая тенденция увеличения степени дробления
Тенденция увеличения степени дробления (дисперсности) – это постепенный переход от твердого состояния к гибкому жидкому, газообразному и полю53.
Чаще всего эту тенденцию применяют к рабочему органу.
Твердость может быть разных степеней и зависит:
1) от межатомных расстояний;
2) координационного числа – чем выше число, тем выше твердость;
3) валентности;
4) природы химической связи;
5) направления (например, минерал дистен (кианит) – вдоль кристалла твердость 4,4, а поперек 7);
6) хрупкости и ковкости;
7) гибкости – минерал легко гнется, изгиб не выпрямляется (например, «тальк»);
8) упругости – минерал сгибается, но выпрямляется (например, «слюда»);
9) вязкости – минерал трудно сломать (например, «жадеит» – разновидность пироксена);
10) спаянности.
Рабочий орган может быть монолитным и немонолитным (состоящим из отдельных частей). Вещество рабочего органа может меняться от твердого к нетвердому (мягкому, гибкому), жидкому, газообразному и перейти в поле.
Рассмотрим более детально последовательность дробления. Она представлена на рис. 5.43.

Рис. 5.43. Схема тенденции увеличения степени дробления
Эта последовательность характеризуется переходом от твердой монолитной системы (1) к гибкому, эластичному объекту (2). Дальнейшее дробление приводит к разделению объекта на отдельные части, не связанные между собой или связанные с помощью какого-либо поля, например, магнитного.
Дробление идет в сторону измельчения каждой части вплоть до получения мелкодисперсного порошка или микросфер, т. е. объект становится порошкообразным (3).
Следующий переход приводит к гелю (4) – пастообразному веществу.
Затем изменяется степень вязкости вещества до получения жидкости (5). Далее изменяется степень связанности жидкости. Используются более легкие и летучие жидкости.
На следующем этапе в жидкость добавляют газ (газированные жидкости). Количество газа в жидкости увеличивается, процентное содержание газа в жидкости становится больше, давление газа увеличивается, и затем переходят к аэрозолям (6).
Содержание газа в аэрозоле увеличивается, и таким образом происходит переход к газу (7). Постепенно используется все более легкий газ. Затем газ становится более разряженным, следующий шаг приводит к крайнему состоянию – образованию вакуума.
Последнее состояние в этой цепочке – использование поля (8), в частности это может быть и плазма.
Понятие поля в ТРИЗ рассматривается более широко, чем в физике – это любое действие или взаимодействие.
На новом витке развития система вновь становится монолитной. На рисунке это показано в виде петли обратной связи.
Промежуточное состояние в каждом из указанных переходов может занимать «пена» (9) в твердом, жидком, газообразном и прочих видах (рис. 5.44). Под пеной понимается вкрапление (проникновение) одного вещества в другое.
Пена (условное название) – это проникновение вещества в одном состоянии в другое. Состояния представлены на рис. 5.44. Рассмотрим некоторые виды пены, как комбинации твердого, жидкого и газообразного состояний:
– твердое вещество, включающее газообразные полости;
– твердое вещество, включающее жидкие полости;
– твердое вещество, включающее газообразные и жидкие полости;
– жидкое вещество, включающее твердые включения;
– жидкое вещество, включающее газообразные пузыри;
– жидкое вещество, включающее твердые и газообразные включения;
– газообразное вещество, включающее твердые включения;
– газообразное вещество, включающее жидкие полости;
– газообразное вещество, включающее твердые и жидкие включения.
Мы рассматриваем пену как промежуточное состояние между состояниями, указанными на рис. 5.44.
Кроме того, возможна комбинация (10) из указанных состояний в любом сочетании.
С целью повышения эффективности могут быть использованы эффекты (11), характерные для данного состояния.

Рис. 5.44. Схема тенденции увеличения степени дробления
Под эффектами (11) в ТРИЗ понимаются: физические, химические, биологические и геометрические эффекты.
На этапе 1 широко применяются геометрические и некоторые физические эффекты. Сочетание этих эффектов часто встречается в строительстве при использовании предварительно напряженных конструкций. На дальнейших этапах меньше применяются геометрические эффекты и больше используются физические, химические и биологические эффекты.
Полная схема дробления приведена на рис. 5.45. В нее дополнительно введены переходы от состояния (1) к состоянию (2), от (2) к (3) и переходы от состояний (1) и (2) к капиллярно-пористым материалам (КПМ).

Рис. 5.45. Полная схема тенденции увеличения степени дробления
Переход от твердого к гибкому состоянию
Переход от монолитной (твердой) системы (1) к гибкой (2) происходит по определенной линии, показанной на рис. 5.46. Рассмотрим ее.

Рис. 5.46. Линия перехода от твердого состояния к гибкому
Первоначально объект разбивается на части, вплотную присоединенные друг к другу (1.1). Это соединение может быть неразъемным и разъемным.
К разъемным соединениям могут относиться и соединения, осуществляемые с помощью различных полей, например, магнитного или электрического; соединения, использующие эффект обратимой памяти формы и т. д. Такие соединения осуществляются с помощь «включения» соответствующего поля и его «выключения». При этом могут использоваться соответствующие эффекты, например, эффект точки Кюри.
Разъемные соединения могут осуществляться и с помощью, разрушения части соединения, но не разрушающих контактирующие части. Например, растворение клеевых соединений, нагревом легкоплавких веществ (парафин, воск и т. п.; легкоплавкие металлы: олово, свинец и т. д.) и т. п.
Сначала монолит разбивается на две части (на рис. 5.46 – 1.1а). Дальнейшее разбиение приводит к увеличению количества частей в системе (1.1b, c, d).
На следующем этапе 1.2 соединение частей осуществляется с помощью посредника. Сначала, посредник, осуществляющий соединение, делают жестким – этап 1.2а, затем число связей-посредников увеличивается – этап 1.2b, связи становятся более гибкими (шарнирными, пружинными, другими гибкими частями и т. п.) – этап 1.2c.
Примером этапов 1.2а—1.2b могут служить конструкции типа штанги, фермы и т. д. Они так же, как и в случае 1.1, могут быть разборные и неразборные.
И, в конце концов, происходит переход к полностью гибкому объекту (2).
Переход от гибкого к порошкообразному состоянию
Последовательность, подобная рис. 5.46, характерна и для перехода от эластичного вещества (2) к порошкообразному (3). Она изображена на рис. 5.47.
Первоначально гибкий объект разбивается на части, вплотную присоединенные друг к другу (2.1а). Это соединение может быть разъемным и неразъемным. Дальнейшее разбиение приводит к увеличению количества частей в системе (2.1b, c, d). Для повышения эффективности конструкций используются физические эффекты, например, предварительно напряженные, вантовые, надувные и гидравлические конструкции.
На следующем этапе гибкие конструкции соединяются гибкими связями (2.2a, b, c). Необходимо учесть, что постепенно число частей увеличивается, а связи между ними становятся все более гибкими.
Далее объект разбивается ни отдельные не связанные между собой части (3.1). Части измельчаются вплоть до микрочастиц, микросфер, порошка.

Рис. 5.47. Линия перехода от гибкого состояния к порошкообразному
Гели (от лат. gelo – застываю), дисперсные системы с жидкой или газообразной дисперсионной средой, обладающие некоторыми свойствами твердых тел: способностью сохранять форму, прочностью, упругостью, пластичностью. Эти свойства гелей обусловлены существованием у них структурной сетки (каркаса), образованной частицами дисперсной фазы, которые связаны между собой молекулярными силами различной природы54.
В гелях происходит переход от густых гелей к менее плотным вплоть до густых жидкостей.
Увеличения степени дробления в жидкости происходит от использования очень вязких жидкостей вплоть до летучих жидкостей.
Аэрозоли (от аэро, aerо – воздух и золи, solucio – раствор), дисперсные системы, состоящие из мелких твердых или жидких частиц, взвешенных в газообразной среде (обычно в воздухе)55.
Увеличения степени дробления в аэрозолях происходит к все большему содержания газа и уменьшению количества жидкости.
Практически аэрозоль представляет собой одно из состояний, которое мы назвали «пена» – этап 9.
Увеличения степени дробления в газах происходит от использования тяжелых газов вплоть до самого легкого – водорода.
Тенденция уменьшения степени дробления
Эта тенденция противоположна (анти-тенденция) тенденции увеличения степени дробления.
Тенденция уменьшения степени дробления – это постепенный переход от поля к газообразному, жидкому и твердому состоянию.
Рассмотрим более детально последовательность уменьшения степени дробления. Она представлена на рис. 5.48.
Эта последовательность характеризуется переходом от поля (1) к газообразному состоянию (2), далее переходу к аэрозолям (3), к жидкостям (4), к гелю (5), к порошкообразному состоянию (6), к гибкому (8) и к твердому монолитному состоянию (9).

Рис. 5.48. Схема тенденции уменьшения степени дробления
Тенденция перехода к капиллярно-пористым материалам (КПМ)
Тенденция перехода к капиллярно-пористым материалам (КПМ) – это постепенный переход от сплошного вещества к веществу с полостью, к веществу со многими полостями, к капиллярно-пористому веществу, к капиллярно-пористому веществу на микроуровне.
Графически тенденция перехода к капиллярно-пористым материалам (КПМ) представлена на рис. 5.49.
1. Сплошное вещество, твердое (1) или эластичное (2).
2. Вещество с одной полостью – полость с оболочкой (A).
3. Вещество со многими полостями (ячейками), перфорированное вещество или полость, разделенная перегородками (B).
4. Капиллярно-пористое вещество – КПМ (C).
5. КПМ на микроуровне (D) – на схеме обозначены как µКПМ.

Рис. 5.49. Переход к капиллярно-пористым материалам (КПМ)





