- -
- 100%
- +

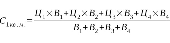
Отличие максимального значения стоимости Аналога от минимального значения стоимости Аналога после всех корректировок не может превышать 20%.
Документы необходимые для оформления сделки с объектами недвижимости
Так как законодательные акты Российской Федерации можно описывать разными словами, но закон не меняется, я решил выбрать описание юридических вопросов, которое мне понравилось. Я решил, что навряд ли напишу, как дипломированный юрист и поэтому ниже представлен текст автором, которого является Дмитрий Бачурин «Операции с недвижимостью. Как правильно купить, продать, сдать в аренду».
Конец ознакомительного фрагмента.
Текст предоставлен ООО «ЛитРес».
Прочитайте эту книгу целиком, купив полную легальную версию на ЛитРес.
Безопасно оплатить книгу можно банковской картой Visa, MasterCard, Maestro, со счета мобильного телефона, с платежного терминала, в салоне МТС или Связной, через PayPal, WebMoney, Яндекс.Деньги, QIWI Кошелек, бонусными картами или другим удобным Вам способом.






