Оптоэлектронные ИС: результаты макетирования, моделирования маломощных переключений элементов оптронов

- -
- 100%
- +

© Николай Проскурин, 2021
ISBN 978-5-0053-2101-5
Создано в интеллектуальной издательской системе Ridero
В память моих предков и замечательных родителей: отца – инженера, побудившего во мне интерес к науке, технике и матери – врачу, поддержавшей меня.
От автора: предисловие к книге 2.
Уважаемые читатели! Этот раздел издания является специализированным и основан на 2-й части адаптированных материалов диссертации автора1, проведенных им в 2001—2003гг. расчетов и исследований вместе с его коллегами. Оно является продолжением исследования и (как 1-я книга издания2) предназначено специалистам и разработчикам в области цифровой оптоэлектроники и ОВЧ, УВЧ полупроводниковых устройств, др. для ознакомления с ее положениями, подходами, методиками и полученными промежуточными его результатами, которое проведено по классической методике: идея (а что будет, если…), изучение публикаций и фактов, выбор элементов и базовой схемы, ее макетирование, моделирование, анализ, выводы. Возможно оно заинтересует экспертов, исследователей, конструкторов и технологов, работающих с «железом» (hard) в перспективной ее области: создания оптоэлектронных цифровых устройств, логических элементов, переключателей на основе микромощных оптронов УВЧ диапазона, интегральных и гибридных схем (ИС) с оптическими связями на их базе, решения и проекты которых уже созданы (в т. ч. на базе WDM технологий), становясь альтернативой цифровым ИС в 21 веке.
Также она может быть полезной для студентов, магистрантов, соискателей и аспирантов технических ВУЗов соответствующих специальностей, интересующихся способами и подходами при создании микромощных оптоэлектронных цифровых и аналоговых устройств. Автор признает, что часть исходных данных, уровень примененных им микронных технологий, инструментарий и методики исследования могли устареть и/или измениться за прошедшее время, однако наблюдаемые им тенденции (trends) остались прежними: подтверждением этого м. б. концепты «Silicon Photonic», «On-Board Optics», «Photonics in Aerospace», «Photonic integral circuits», etc.; он также будет признателен экспертам, специалистам и разработчикам, кто выскажет конструктивные замечания и/или предложения, уточняющие, дополняющие и раскрывающие потенциал указанного направления развития оптоэлектронных цифровых ИС, компьютерных систем и сетей на их базе.
1,2Проскурін М. П. Мікропотужні оптоелектронні логічні елементи цифрових інтегральних схем на твердотільних світловипромінюючих і фотоелектричних пристроях. Автореферат на здобуття наукового ступеня к.т.н: спец. 05.27.01 «Твердотільна електроніка» / М.П.Проскурін, Одеса, ОНПУ, 2007- 20с.
Проскурин Н. П. Электронные и оптоэлектронные ИС, их характеристики: обзор преимуществ и недостатков (книга1), Е – из-во ridero.ru, 06—2020, ISBN 978-5-0051-2225-4, 60с.
Примененный перечень сокращений, аббревиатур в тексте приведен в начале книги 1. Нумерация разделов, формул, рисунков, литературных, информационных источников для книг 1,2,3,4 – сквозная; последние добавляются по мере появления ссылок на них.
Аннотация (книга 2). Приведены результаты макетирования схем оптоэлектронных переключателей (модуляторов, вентилей, др.) и устройств на их основе, в маломощных режимах (значение токов СД оптронов на порядок меньше номинальных). Показано, что это открывает возможность использовать все типы исследуемых дискретных оптронов (иное название – оптопара; англ. optocouple): СД-ФР, СД-ФТр. и СД-ФД. Оптопары типа СД-ФР в составе маломощных схем ОЛЭ и ОЛУ могут обеспечить переключение логических элементов на частотах до 0,1кГц. Оптопары типа СД-ФТр. обеспечивают устойчивое переключение в указанных режимах, но на более высоких частотах – до нескольких единиц кГц. Перспективным прибором для применения в составе маломощных ОЛЭ КИПТ по частотным характеристикам оказались дискретные оптопары типа СД – p-i-n ФД (с ВЧ n-p-n транзистором). На макетах схем ОЛУ типа кольцевой «ГИ», «R-S» триггер при модуляции СД в составе маломощных схем ОЛЭ n ИЛИ-НЕ получены частоты переключения до 0,1…0,25МГц. Исследования схем ОЛЭ КИПТ (макетирование на оптопарах АОР124Б1, АОТ101БС и 3ОД120А-1 c ВЧ транзистором КТ3102Е и моделирование электрических схем на оптопаре К249КП1) показало, что оптопары с внутренним усилением типа СД-ФТр. или СД- p-i-n ФД (с ВЧ n-p-n транзистором) обладают возможностью функционирования в мало- и микромощных режимах (мощность и токи потребления снижены на 1…2 порядка по сравнению с номинальными, соответственно) и адаптивностью (подстройкой режима ФП к мощности входных оптических ЦС) за счет выбора положения рабочей точки базы ФТр. на его ВАХ (как вариант – ВЧ n-p-n транзистор в схеме с p-i-n ФД). Это позволяет в адаптивных схемах ОЛЭ (в некоторых пределах) регулировать значения выходного сигнала усилителя-формирователя (УФ), обеспечивает подстройку его выходного тока IК (повышения/снижения до требуемого уровня при снижении/повышении мощности входных оптических ЦС) для обеспечения устойчивости модуляции выходного СД в режиме «малого сигнала». Показано, что значение коэффициента передачи по току К оптопары (для таких схем ОЛЭ и ОЛУ) должно иметь величину более 1,1…1,5.
Указанное позволяет сделать вывод о возможности применения оптопар такого типа (с уменьшенными линейными размерами их ППС СД и ФП более чем на порядок и без изменения их физических свойств) в качестве рабочих устройств и узлов на основе мало- и микромощных адаптивных схем ОЛЭ, ОЛУ при обработке потоков оптических ЦС с частотой до 3…8МГц. Также полученные результаты указывают направление исследований, разработок микромощных оптопар для схем ОЛЭ КИПТ ОВЧ, УВЧ диапазонов с одновременным снижением их мощности потребления.
ОГЛАВЛЕНИЕ
2. МЕТОДИКА, ИНСТРУМЕНТАРИЙ И РЕЗУЛЬТАТЫ ИССЛЕДОВАНИЯ МАЛО- И МИКРОМОЩНОГО ПЕРЕКЛЮЧЕНИЯ ЭЛЕМЕНТОВ ОПТОПАР В СХЕМАХ ОПТОЭЛЕКТРОННЫХ ЛОГИЧЕСКИХ ВЕНТИЛЕЙ
2.1. Оценка предложенных схем оптоэлектронной логики nИЛИ-НЕ
2.2. Особенности программных сред моделирования электронных схем
2.3. Методы физикотопологического проектирования и моделирования полупроводниковых структур
2.4. Исходные данные и результаты исследования переключения светодиодов в маломощных режимах при макетировании схем логических вентилей.
2.4.1. Исследование процессов переключения светодиодов и отклика фотоприемников на макетах маломощных схем модуляторов – инверторов
2.4.2. Анализ результатов макетирования маломощных оптоэлектронных логических схем на дискретной оптопаре ЗОД120А-1
2.5. Моделирование схем оптоэлектронных логических вентилей
2.5.1. Результаты моделирования электрических схем маломощных оптоэлектронных логических вентилей и устройств на модели оптопары К249КП1
2.5.2. Результаты моделирования мало-, микромощных логических вентилей, устройств на их основе на элементах оптопар с виртуальными параметрами.
2.6. Выводы по разделу.
СПИСОК ИСПОЛЬЗОВАННЫХ ИСТОЧНИКОВ (к книгам 1 и 2)
Приложение Б.
Б.1. Методика расчета схемы маломощного оптоэлектронного инвертора (ОИ) в составе макета кольцевого «генератора импульсов».
Б.2. Погрешности измерительной аппаратуры.
Б.3.Описание моделей приборов и схем на языке МАЭС-П.
ЗАКЛЮЧЕНИЕ К КНИГЕ 2.
2. МЕТОДИКА, ИНСТРУМЕНТАРИЙ И РЕЗУЛЬТАТЫ ИССЛЕДОВАНИЯ МАЛО- И МИКРОМОЩНОГО ПЕРЕКЛЮЧЕНИЯ ЭЛЕМЕНТОВ ОПТОПАР В СХЕМАХ ОПТОЭЛЕКТРОННЫХ ЛОГИЧЕСКИХ ВЕНТИЛЕЙ
2.1. Оценка предложенных схем оптоэлектронной логики nИЛИ-НЕ
В подразделе 1.4 рассмотрены оптоэлектронные схемы логики КИПТ базиса nИЛИ-НЕ c несколькими типами ФП и излучателем в виде СД. Предложенная схема «Оптический инвертор» [46] (точнее оптоэлектронный инвертор – ОИ) реализует функцию НЕ (1ИЛИ-НЕ), структурно совпадает с ОЛЭ КИПТ, но отличается конструкцией излучателя по патенту Франции2) (оптический усилитель на многослойной ППС типа ИЛ или ЛД с оптическим возбуждением).
2 Патент 2503394 МКИ G02 F3/00 (Франция), 1982. Коммутирующий элемент оптической коммутирующей матрицы и матрица на таких элементах.
Особенностью этой ППС является то, что излучение на длине волны λ1 (мощности РВых.) происходит при наличии одновременно двух условий: наличия прямого тока IПр. через р-n переход (при значении ≥ 80% величины тока его полного включения ІВкл.) и вводе в ППС внешнего излучения мощностью РВх. (на длине волны λ1) опре-деленной малой мощности причем (РВых.>> РВх.), что служит энергетической добавкой – оптической «накачкой» ППС. При изменении величины тока ІВкл. на единицы процентов за счет его шунтирования, ППС прекращает излучать, что использовано в решении ОИ [46]. Преимуществом схемы является малое значение мощности внешнего сигнала, способное обеспечить гашение излучения ППС. Недостатками – наличие опорного когерентного излучателя, сложность организации сети подводящих световодов к каждой ППС, высокие требования к постоянству уровня тока ІВкл. и оптической мощности на входе ППС и параметрам ИП.
Для устранения их предложена схема ОЛЭ типа ОИ [47]. Ее отличие в том, что излучатель ОИ выполнен на основе СД, работающего в маломощном режиме, ФП – на ФР, ФТ, ФД с УФ на транзисторе и к нему может быть подключен маломощный дополнительный источник питания (ДИП) для усиления адаптивных свойств ФП (влияние ДИП на работу ОЛЭ заключается в задании напряжения смещения относительно общего провода одного из выводов ФП, см. подр. 2.2). Схема ОИ приведена на рис.2.1а с ФП на основе ФР, ее преимущества перед схемой ОИ [46] – излучатель на типовом СД, отсутствие жестких требований к значениям токов ІВкл. СД, возможность использования ФП разных типов и применение ДИП в их цепи. Схемы адаптивного типа PROS [48] (рис.2.1б), PROCOS [49] сочетают в себе схему n ИЛИ-НЕ (базис Пирса) с адаптивными ФП и имеют расширенные функциональные возможности.
Преимуществами схемы ОЛЭ PROS перед схемой ОИ [46] являются: функциональное – охват ею минимального логического базиса (универсальность); схемотехническое – использование в схемах ОЛЭ nИЛИ-НЕ базового вывода ФТр., двойного переменного резистора для обеспечения адаптивности по входам (заданием тока смещения Б транзистора) и выходам (изменением тока излучения выходных СД1, СД2); наличие неинверсного оптического выхода – СД1. Это позволяет влиять на выбор режима ФП, адаптировать (подстраивать) его к изменяющимся значениям входной оптической мощности ЦС и управлять значением выходной оптической мощности СД на логическом выходе схемы ОЛЭ.
Недостатками схем ОЛЭ КИПТ [15,48,49] является их усложнение (увеличение количества элементов, связей) – общее количество элементов в устройствах растет пропорционально n – числу входных переменных. В схеме ОЛЭ nИЛИ-НЕ типа SUPROSTD [50] на n оптических входов (соединенных между собой по схеме У – образного оптического ответвителя) использован один ФП (функция «монтажного»» оптического ИЛИ на n входов, см. рис.2.1в). Это схемотехническое решение применимо в некоторых схемах ОЛЭ, при этом количество логических входов схемы равно n, логических выходов – один, количество ФП – один, общее количество элементов – три. Мало- и микромощные схемы nИЛИ-НЕ [47—50] в интегральном исполнении могут быть основой при создании ИС с оптическими связями.

В следующем подразделе приведены характеристики программ моделирования – современного инструмента для изучения и разработки оптоэлектронных устройств.
2.2. Особенности программных сред для моделирования электронных схем
Автоматизированные системы управления технологическим проектированием устройств электронной техники получили широкое распространение [51—60]. Их применение связано с возможностями математически описать физические процессы (проходящие в схемах и устройствах на их основе) любой сложности на языке математических зависимостей, что позволяет с достаточной точностью проектировать и проводить исследование моделей. Преимуществами программных сред (ПС) схемотехнического моделирования типа Micro-CapV, Electronics Work Bench-5.12 (EWB) [54,55] являются: адаптированный многооконный интерфейс пользователя, библиотека моделей (БМ) аналоговых и цифровых устройств (совместима с РSpice), интерфейс со стандартными приложениями (Windows). Программа EWB характеризуется дополнительной возможностью изменения параметров компонентов схем, отличается управлением точностью расчета, созданием отчетов моделирования, встраиваемые виртуальные приборы (для визуализации процессов – определения значений токов, напряжений, получения осциллограмм в узлах схем, др.). Это позволяет реализовать систему типа «рабочий стол» с качественным и количественным анализом ряда электронных схем при приемлемой точности моделирования. Указанные ПС применяются в качестве инструмента построения, моделирования (эмулирования) и демонстрации поведения несложных электронных схем, измерения и оценки полученных параметров в процессе обучения студентов электронных специальностей, что является их преимуществом. Недостатком их является невозможность ввода аналоговых, цифровых компонентов (диодов, транзисторов, оптопар, ИС, др.), отсутствующих в БМ – например, с расчетными параметрами.
Наибольшее развитие для разработки электронной аппаратуры на ПК в странах СНГ (наряду с отечественными разработками) получили ПС типа P-CAD, РSpice [56]. Они предназначены для решения следующих задач: графический ввод принципиальных схем, моделирование цифровых и аналоговых устройств, проектирование программируемых логических ИС, разработка печатных плат (размещение компонентов и трассировка печатных проводников) и др.. В 2001г. выпущена версия OrCAD 9.2, которая объединила ПС моделирования цифровых, аналоговых устройств и обеспечила их оптимизацию с графическим схемным редак-тором. В состав версии OrCAD 9.2 входят 10 программных модулей, информация о которых представлена в источнике [57]. Популярность ПС связана с развитыми функциями сервиса для проектирования, моделирования электронных схем, составления технической и проектной документации, развитием средств Internet для пополнения и информационной поддержки десятков тысяч математических моделей цифровых, аналоговых электронных устройств, входивших в базовый комплект. Каталоги БМ и корпусов компонентов пополняются моделями элементов, приборов, схем фирмами производителями (Analog Devices, Linear Technology, Siemens, Texas Instruments, др.), что обеспечивает выбор элементной базы, но связывает разработ-чика только с существующими моделями, а через них – с конкретными производителями электронных изделий. Недостатком указанных ПС являются закрытость внутренних параметров моделей, ограничение возможностей создания новых приборов на их основе, отсутствие инструмента моделирования электронных компонентов с расчетными параметрами [57]. Вопрос ввода расчетных параметров новых устройств в модель после их формализации (например, ввода характеристик ППС – СД и ФП микромощной оптопары ОВЧ диапазона) не решается на основе таких ПС. Причина – жесткая их связь с существующими БМ и закрытыми для пользователя описаниями в них моделей электронных элементов (в виде «черного ящика»), которые разрабатывает и пополняет за плату производитель электронного изделия.
Анализ имеющихся ПС указал на оригинальную отечественную разработку – ПС Моделирование Аналоговых Электронных Схем – МАЭС-П [58—61], особенности построения и применения которой позволяют: моделировать электрические схемы ОЛЭ, ОЛУ на основе модели оптопары К249КП1 (СД-ФТр.) из ее БМ, вводить в нее виртуальные и расчетные параметры их ППС. ПС МАЭС-П (см. п.2.5) предназначена для автоматизированного проектирования на IBM-PC устройств электронной техники, имеет БМ с десятками типов электронных приборов производства СНГ.
В следующем подразделе приведена оценка методов физикотопологического проектирования – инструмента для расчета ППС, указаны их достоинства и недостатки.
2.3. Методы физикотопологического проектирования и моделирования полупроводниковых структур
В настоящем пункте проведен анализ и выбор методов решения основных дифференциальных уравнений, описывающих процессы переноса НЗ в ППС [35—38] применительно к задаче расчета элементов ОВЧ оптопары.
Аналитические модели ВАХ ППС (модели: Молла-Росса для низкого уровня инжекции; Гуммеля-Пуна для высокого уровня инжекции; Эберста-Молла для режимов высоких плотностей тока) содержат обычно упрощающие предположения, которые ограничивают область применения каждой конкретной формулы моделей [35,62—64]. Использование упрощенных одномерных моделей ППС Эберса-Молла и соответствующих уравнений при расчетах их параметров для ФД следует проводить только после учета ряда дополнительных эффектов: расширение базы (Б), Оже- рекомбинации и др.. В транзисторной модели внимание уделяется процессу снижения коэффициента усиления по току h с увеличением плотности тока за счет увеличения рекомбинации в его Б. Для этого необходимо ввести в модель прямой и инверсный коэффициенты усиления по току (ВЕТА, ВЕТАИ) и их зависимость от частоты. Конечные соотношения для токов зависят от суперпозиции двух токовых составляющих, одна из которых связана с эмиттерным (Э-Б), а другая с коллекторным (Б-К) переходами в приложении Б. Описание моделей транзистора Эберса-Молла и Гуммеля-Пуна приведены на основе источников [35,62], причем количество параметров в последней возрастает вдвое, что несколько повышает точность расчета. С другой стороны, большинство аналитических моделей, применяющихся в схемотехническом моделировании, не связаны непосредственно с геометрией элементов ППС, что не позволяет определить частотные зависимости в схемах от их размеров. Перечисленные модели в большинстве своем не учитывают эффекты: сужение эмиттера (Э), расширение Б, модуляции при распределенном сопротивлении Б. Физическими эффектами, определяющими, например, снижение коэффициентов инжекции являются: рекомбинация НЗ в толстых слоях структуры (например, Б), через глубокие уровни в ЗЗ и за счет Оже – процессов (в сильно-легированных структурах), электронно – дырочное рассеяние, изменение параметров Si в сильнолегированных слоях ППС. Их учет полезен для оценки влияния различных геометрических, физических параметров на характеристики ППС при создании конструкций СД, ФП, ВЧ транзистора. Конечные формулы ВАХ ППС получены в результате разложения общих решений уравнений непрерывности в ряд по малому параметру [62]. Для практических расчетов характеристик многослойных ППС (с высокими плотностями тока J, малыми топологическими размерами и глубинами переходов) такие подходы не всегда приемлемы по причине узости границ применимости формул аналитических моделей. В них игнорируются некоторые эффекты, например, связанные с высокими плотностями тока в сильнолегированных ППС. С другой стороны, в ППС на основе Si, работающих на повышенных плотностях тока, кроме эффектов, описываемых взаимодействием НЗ с примесями, решеткой кристалла, существенными становятся эффекты, определяемые взаимодействием НЗ друг с другом. В результате вступает в действие дополнительный канал рекомбинации (за счет Оже – процессов), возникает эффект взаимного увлечения НЗ, который изменяет коэффициенты переноса, приводит к возникновению дополнительных членов в выражениях для токов электронов и дырок в ППС. Существенное значение играет эффект туннелирования НЗ, который становится возможен при концентрациях примеси выше 1019см—3 и очень малой ширине (менее 0,2мкм) р-n перехода. Большинство указанных эффектов в аналитических моделях не учитываются [13,35], поэтому расчет ППС необходимо вести с помощью методов, включающих учет большей части известных эффектов. Высокому соответствию происходящих в ППС физических процессов, отвечают методы численного моделирования (ЧМ), учитывающие указанные эффекты и позволяющие работать в широких пределах концентраций, плотностей токов, глубин и геометрических размеров [62—64]. Основой ЧМ является замена производных (частных решений дифференциальных уравнений) отношениями конечных приращений; в результате система дифференциальное уравнений переходит в систему алгебраических уравнений (в случае линейного уравнения она оказывается линейной системой [65]), что позволяет получить числовые значения.
Моделирование ФП на основе Si также требует дополнительного учета оптических процессов (объемной скорости генерации – ОСГ, рекомбинации НЗ под действием излучения, учет типов поглощения, глубины проникновения, др.).
Моделирование приборов на основе GaAs является более сложной задачей (чем ППС на основе Si) из-за более сложной структуры и параметров материалов типа А3В5, их зависимости от способа изготовления [64]. Необходимо учитывать межзонную рекомбинацию, неравновесные и квантовые эффекты, связь между оптическими, оптоэлектронными процессами, процессами переноса НЗ.
Но аналитические методы не требуют специальных ПС, обеспечивают определенную точность расчета ППС с одним p-n переходом [13,17,31].
Исходя из анализа методов расчета ППС и с учетом приведенных рассуждений, расчет электрических параметров излучателя ОВЧ оптопары (СД ИК диапазона, один p-n переход) предложено проводить аналитическим методом. Дополнительно возможно составление аналитической модели для расчета оптических параметров излучения СД (по методикам, изложенным в работе [31]).
Характеристики ФП (интегральная структура в виде многослойной ППС, состоящей из двух приборов: ФД и n-р-n транзистор, трех p-n переходов, см. рис.1.8б) предложено получить ЧМ в ПС «Исследование», применяемой для расчета ВЧ приборов по методикам, приведенным в работе [62]. Результат математического моделирования ППС p-i-n ФД и ВЧ n-р-n транзистора представляется в виде решения систем дифференциальных уравнений: Пуассона (описывает распределение потенциала) и непрерывности (описывающих поведение НЗ) и наборов статических, динамических ВАХ этих ППС. В источниках [13, 35—43, 62—64] приведены основные уравнения для расчета полупроводниковых приборов и методика их решения на примере расчета аналитической модели транзистора.
В следующем подразделе приведены исходные данные и результаты макетирования маломощных схем оптоэлектронных логических вентилей на оптопарах производства СНГ с тремя типами ФП.
2.4. Исходные данные и результаты исследования переключения светодиодов в маломощных режимах при макетировании схем логических вентилей
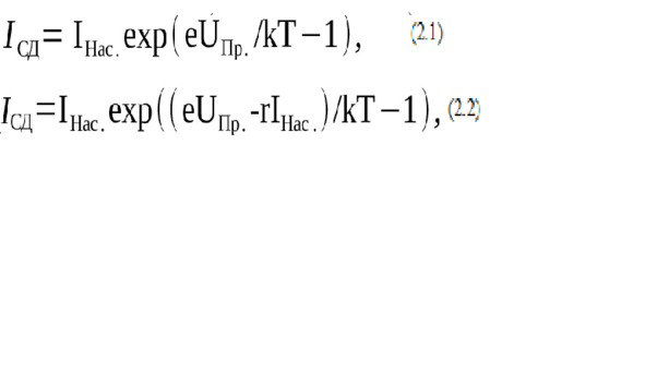
Задачами настоящего подраздела являются проверка функционирования схем ОЛЭ КИПТ типа ОИ, n ИЛИ-НЕ с узлами переключений СД, выполненными по схеме рис.1.10в (см. подр.1.5) на дискретных оптопарах типа СД-ФП и ОЛУ на их основе с возможностью использования маломощных режимов. Анализ узлов схем ОЛЭ показывает обязательное наличие в них элементов оптопар, разнесенных между входными, выходными логическими входами отдельно взятого ОЛЭ [15]. Схема ОЛУ состоит из нескольких ОЛЭ, соединенных между собой для реализации выходной функции Y (по аналогии со схемами цифровых устройств на известных типах логики [1—6]). Между собой две и более схемы ОЛЭ связаны оптически, что предполагает наличие одного излучателя и одного (или нескольких) ФП. Для подтверждения их работоспособности применим в электрических схемах ОЛЭ серийные оптопары (например, ИК диапазона) с несколькими типами ФП так, что выходной СД (являясь излучателем предыдущей схемы ОЛЭ) был оптически связан с логическим входом ФП последующей схемы ОЛЭ (см. рис. 1.10д,е, книга1). Оценим режимы работы СД по параметрам: величина тока ІСД (напряжения UСД), мощность потребления РСД, частота переключения fСД и характеристики модуляции с учетом того, какая часть его ВАХ используется. ВАХ СД представлена на рис.1.8в, она соответствует ВАХ идеальных СД ИК диапазона и описывается выражением 2.1 [10, с.70], а с учетом падения напряжения на слаболегированной области базы СД, обладающей повышенным сопротивлением r (для реального СД) оно несколько меняется и имеет вид 2.2:

где: IНас., IСД – токи насыщения обратной ВАХ и текущего в СД;
е – заряд электрона, UПр. – напряжение прямого смещения СД;
k – постоянная Больцмана;
T – температура в градусах Кельвина;
r – сопротивление слаболегированной области базы СД.
Характерными особенностями ВАХ СД является две области, которые можно условно обозначить: 1 – значения тока ІСД близкие к нулю (область большого значения дифференциального сопротивления RДиф. СД= ΔU/ΔІ); 2 – линейной зависимости ІСД от UСД (область малого значения дифференциального сопротивления RДиф. СД). Абсцисса перехода зон 1 в 2 соответствует значению порогового напряжения UПор., при котором возможно его свечение. При анализе работы оптоэлектронной схемы ОИ (на оптопаре СД-ФП), используется упрощенное представление ВАХ СД – путем аппроксимации исходной ВАХ кусочно-линейной функцией [13, с.152], имеющей два участка а и б:



