Диаграммы Пенроуза – что это такое?

- -
- 100%
- +

Диаграмма как система координат
В физике и математике практически невозможно обойтись без систем координат, которые всегда присутствуют в том или ином, явном или неявном виде. В литературе для наглядности во многих случаях используются их различные графические отображения. Несомненно, каждый, интересующийся этими науками, хорошо знаком, как минимум, с декартовыми координатами. Однако в процессе исследований часто появляется необходимость создания различных модификаций координатных систем, поскольку многие явления становятся более наглядными в своих собственных, специфических системах координат. Например, для величин, изменяющихся в широких диапазонах, были разработаны логарифмические системы координат, в которых по оси величина отображалась в виде её логарифма. Двойная логарифмическая координатная сетка, в частности, используется для демонстрации процесса расширения Вселенной после Большого Взрыва. Миллиардные величины расстояний в световых годах и времени в годах заменяются в этом случае шкалами в 15-20 единиц.
Некоторые другие процессы требуют еще более длительных интервалов, поэтому для них разработаны ещё более компактные шкалы. Например, в диаграммах Крускала-Шекереса, в которых применен "часовой принцип" отображения времени, напоминающего часовую стрелку, бесконечный интервал времени сжат в пределах прямого угла. Для этого угловая шкала сделана неравномерной: на её границах равномерные деления времени стремятся к бесконечно малым углам.
При описании космологических явлений, гипотез или решения тех или иных задач общей теории относительности, как можно заметить, чаще всего используются конформные диаграммы, разработанные одним из ведущих математиков и физиков – Роджером Пенроузом. Иногда в литературе указывается двойное авторство диаграмм – диаграммы Картера-Пенроуза. Конформным отображением является такое непрерывное отображение, преобразование координат, при котором сохраняются углы между кривыми и, соответственно, сохраняется форма бесконечно малых фигур.
В этих диаграммах использован все тот же принцип деформации координат. Они отображают пространственно- и времениподобные бесконечности на конечные расстояния, другим словами, отображают бесконечное пространство-время на квадрат конечных размеров.
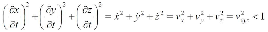
Собственно говоря, это и является главным достоинством таких диаграмм – бесконечный диапазон изменения координат и изотропный характер светоподобных геодезических. Как в исходной диаграмме Минковского, так и на конформной диаграмме светоподобные геодезические имеют угол наклона ±45° и обозначают радиальные изотропные геодезические [1, с.139]. Это позволяет строить на диаграмме световые конусы и отслеживать поведение всех геодезических, выделяя среди них как времениподобные (вещественные тела), так и пространственноподобные (тахионы).
Следует отметить, что световые конусы на диаграммах на самом деле являются световыми треугольниками. На плоских диаграммах конус как таковой изобразить нельзя, а диаграммы с двумя пространственными координатами практически не рассматриваются. В случае светового треугольника все времениподобные геодезические в обязательном порядке должны находиться между сторонами треугольника, образованными двумя световыми лучами, и пересекать его основание t = const. Если же рассматривать трёхмерное пространство, то говорить также следовало бы не о световых конусах, а о световых сферах. В основе всех этих световых ограничителей лежит времениподобное уравнение интервала

После тривиальных преобразований получаем

Уравнение означает, что скорость события всегда меньше скорости света c = 1. Графически уравнение тождественно поверхности (линии) касательных к геодезическим событий. Количество слагаемых в уравнении выбирается равным размерности пространства (не считая времени). Уравнение отражает обобщённое понятие светового конуса, то есть, и треугольника, и конуса, и сферы, и относится к геодезическим произвольной формы, к событиям, движущимся с ускорением.
Наименее очевидным является понятие световой сферы, относящейся к наиболее сложному случаю движения событий – одновременно по трём пространственным координатам. На трёхмерной диаграмме время, четвёртую координату непосредственно показать невозможно. Ситуацию позволяют разрешить динамические диаграммы. Это просто набор диаграмм, каждая из которых соответствует определённому моменту времени. Собственно координата времени в явном виде отсутствует и на такой диаграмме, анимации, но вместо неё можно показать световую сферу. В исследуемую точку траектории события помещается центр световой сферы и вектор скорости. Очевидно, направление его совпадает с траекторией, а длина равна скорости в этой точке. Световая сфера имеет радиус c = 1, поэтому вектор скорости не должен выходить за её пределы. Световая сфера охватывает все возможные направления движения события в данной точке, поэтому векторы скорости не являются мировыми линиями.
Следует отметить, что световой конус (треугольник) на диаграммах выполняет главным образом контрольную функцию. Он позволяет визуально определить времениподобный характер геодезических. Правда, непосредственно это относится к инерциальному движению. В случае ускоренного движения световой конус неявно относится не к самой геодезической, а к мысленно проведённой к ней касательной в исследуемой точке. Формально все световые ограничители можно заменить на обобщённый – световой вектор. Именно с ним и должен сравниваться вектор скорости события. На традиционных диаграммах Пенроуза мы мысленно, и, видимо, чаще всего неосознанно проводим единичную касательную к мировой линии события и также мысленно рассматриваем её проекцию на нулевую геодезическую. Если в этой исследуемой точке касательная совпадает с нулевой геодезической, то скорость события равна скорости света.
Можно заметить, что диаграмма Пенроуза-Картера чем-то похожа на диаграмму Крускала-Шекереса (Секереша) и для шварцшильдовской черной дыры не дает никакой принципиально новой информации.
В научных и научно-популярных статьях по физике, космологии можно заметить, что авторы часто при иллюстрации своих выкладок, доводов используют не совсем корректный приём. На приводимые иллюстрации они не наносят обозначения, поясняющие назначение или смысл изображенных на них элементов.
В науке по молчаливому или редко озвучиваемому соглашению принято каждый член приводимых уравнений расшифровывать сразу же после уравнения, если, конечно, эта расшифровка не была сделана недалеко выше. Или же смысл этого члена уравнения, его обозначение не является новым или редко встречающимся, а является общепринятым и полностью соответствует контексту уравнения. Понятно, что для автора всё и так ясно и "общепринято". Но при публикации автор, очевидно, рассчитывает, что его книгу, статью будут читать не только равные ему по уровню подготовки, но и те, кто только приступил к изучению нового материала.
Очевидно, что такое же молчаливое соглашение должно существовать и при оформлении иллюстраций. Тем не менее, и в научной и научно-популярной литературе нередко это "соглашение" нарушается. Поэтому при чтении возникает множество вопросов по ним: то ли иллюстрация что-то поясняет, то ли пытается затемнить, затуманить ситуацию. Под видом глубокомысленного изложения иной раз прячутся сомнительные моменты. Никаких пояснений к изображению, кроме названия, не приводится, и читатель может на свой вкус трактовать его смысл. Более вероятно, что эти трактовки будут отличаться от трактовок автора изображения. Примерно такое же "утаивание" можно разглядеть и в некоторых иллюстрациях в научных работах. При рассмотрении диаграмм Пенроуза, приводимых им, Хокингом и другими авторами в своих статьях, книгах, нередко можно встретить подобные элементы, чрезмерно опирающиеся на догадливость читателя. Но, в сущности, не это главное. Главное состоит в том, что "на догадку" зачастую отправляются довольно сомнительные идеи. Идеи, которые при внимательном рассмотрении оказываются недостаточно обоснованными, а то и ошибочными.
Одно из основных, исходных изображений диаграмм Пенроуза можно найти в его работе, в которой конформная структура бесконечности представлена как диаграмма плоскости (t', r') – рис.1. Помимо равнобедренного прямоугольного треугольника, поставленного на диагональ (гипотенузу), диаграммы Пенроуза нередко имеют и вид ромба ("бриллиант" Пенроуза), поставленного на диагональ квадрата. По сути, диаграммы являются обычной системой координат, и в этом качестве принципиально не отличаются от традиционной декартовой (квадрат) или полярной системы координат (треугольник). Имеющиеся отличия специфичны, но не принципиальны, в них нет антагонизмов. Чаще всего используется полярный вид диаграмм рис.1, на которых из уравнения интервала Шварцшильда присутствует лишь линейная координата, а вращательные, угловые, как это обычно называется, подавлены. Вторая особенность – это конформное преобразование координат с помощью функции арктангенса, вследствие чего всё бесконечное пространство-время вмещается в треугольную или квадратную диаграмму.

Рис.1. Диаграмма Пенроуза для пространства-времени Минковского [2, с.53].
Диаграмма на рис.1 не содержит никаких событий, это чистая или пустая диаграмма. Штриховой линией обозначен центр полярной системы координат, в который обычно помещается центр коллапсирующей нейтронной звезды или Чёрной дыры. Величина радиус-вектора r обозначает в этом случае удалённость событий от этого центра.
Каждая точка диаграммы рассматривается как сфера S2, которая формально отождествляет всё множество точек, находящихся на некотором расстоянии от центра. Считается, что поведение всех точек на этой поверхности одинаково, то есть, диаграммы Пенроуза описывают всё доступное пространство-время вокруг звезды. Принимается, что поведение точек сферы не зависит от значения угловых координат системы, которые могут быть подавлены, то есть считаться равными, например, нулю. На диаграмме радиус-вектор изменяется от нуля до бесконечности и обозначен поверхностями r = const.
В роли второй координаты выступает время, также изменяющееся на диаграмме в бесконечном диапазоне. Время на диаграмме обозначено поверхностями, линиями t = const. Как следствие, любая линия на диаграмме является мировой линией или геодезической, показывает изменение во времени положения отождествлённых точек 2‑сферы или объектов относительно центра системы координат.
Довольно скрупулёзный просмотр доступной литературы и источников в интернете показал, что описание собственно диаграмм зачастую весьма скромное, на что указывают и некоторые другие авторы. Рассматривая практические варианты использования диаграмм, читателю придётся о многом догадываться самому. На рис.2 в исходном, "пустом" виде приведен квадратный вариант диаграммы Пенроуза.

Рис.2. "Пустая" квадратная диаграмма Пенроуза
Использованы следующие обозначения: i+ и i– – времениподобные бесконечности будущего и прошлого; i0 – пространственноподобная бесконечность; J+ и J– светоподобная (или нулевая) бесконечность будущего и прошлого. Иначе говоря, точки i0 обозначают бесконечное удаление в пространстве, а точки i+, i- обозначают, соответственно, изображают области далёкого будущего и прошлого. Таким образом, на диаграмме в ограниченных рамках показано всё пространство-время. Во многих случаях рядом со сторонами квадрата пишут дополнительно обозначения вида r = ∞, как показано на рисунке.
Нетрудно заметить, что конформный принцип, способ сжатия, уплотнения координатной сетки, заложенный в диаграммы Пенроуза весьма похож на такой же принцип сжатия в логарифмических диаграммах, в которых оси обычной декартовой системы координат сжаты в логарифмическом масштабе. В этом случае логарифмическому диапазону системы координат, например, в 10 единиц соответствует такой же диапазон обычной декартовой системы координат в 1010 единиц. Но логарифмическая диаграмма, в отличие от диаграммы Пенроуза, не имеет ограничений в сторону возрастания. Как и на логарифмических диаграммах, на диаграммах Пенроуза шкалы осей сильно нелинейные.
На рис.2 линии равных расстояний r = const (горизонтальные дуги) и времени t = const (вертикальные дуги) изображены ярко-бирюзовым цветом. Делениям по осям присвоены единичные значения. Размерность единиц для оси расстояний может быть произвольной: метр, километр, парсек, световой год и тому подобное. В этом случае интервалы по оси времени имеют соответствующую размерность: время на прохождение одной единицы расстояния.
В результате такой дискретизации полей диаграммы выполняется вторая задача – конформное соответствие декартовым координатам. Это значит, что все изотропные (световые) углы в декартовых координатах соответствуют таким же углам на диаграмме Пенроуза в 45о с осями координат. Любая линия, изображенная на диаграмме Пенроуза под этим углом, является светоподобной (нулевой) геодезической, обозначающей луч света.
Повторим: система координат диаграмм Пенроуза отражает лишь одну пространственную координату – удалённость объекта от начала координат. Другими словами, все объекты на диаграмме движутся вдоль одной-единственной линии. Поэтому любые искривленные мировые линии на этой диаграмме означают всего лишь движение объектов (событий) с различными скоростями вдоль одной единственной прямой пространственной линии. Таким образом, любое пересечение линий означает столкновение событий или объектов, их представляющих. При этом каждая точка её помечена как 2‑сфера. Наглядно это можно изобразить в виде рис.3. На рисунке окружностями показаны те самые 2‑сферы, которые обозначаются точками на диаграмме Пенроуза. Фактически диаграммы Пенроуза, как и диаграммы Минковского, и полярные координаты для пары переменных t, r отображают одномерное пространство.
На рисунке ось t не показана, система рассматривается в некоторый момент времени t = 0. Здесь три окружности изображают три разные сферы, которые и называются 2‑сферами. Ни на диаграммах Пенроуза, ни в литературе в описаниях нет упоминаний о других координатах этой системы.

Рис.3. Эквивалентное изображение диаграмм Пенроуза с декартовой координатой. Если отбросить левую часть оси r, то получится эквивалентное изображение диаграммы Пенроуза в полярных координатах
Для трехмерного полярного пространства это две угловые координаты, обычно углы φ и θ. В свою очередь это означает, что все возможные направления радиус-вектора r отождествляются в одно направление. Эта единственная декартова ось изображена на рисунке. Если отбросить отрезок оси от минус ∞ до нуля, то мы получим единственное полярное направление. Другими словами, на декартовых диаграммах Пенроуза расстояния могут быть и положительными и отрицательными, а на полярных диаграммах – только положительными. В последнем случае отрицательная полусфера отождествляется с положительной по правилу "угол падения равен углу отражения". Время может быть положительным и отрицательным.
Отметим, что в литературе на всех диаграммах Пенроуза мировые линии условны, поскольку они отображают лишь последовательность положений в пространстве-времени точек (событий). Чаще всего диаграммы используют для отображения эволюции космологических объектов – Черных дыр или коллапсирующих нейтронных звёзд.
Такое описание в смысле 2‑сфер затеняет главный смысл диаграмм Пенроуза: они описывают поведение только отдельных точек тел, вещества только вдоль одной единственной оси. На рис.3 эти точки для полых 2‑сфер выделены. Принято, что поведение всех других точек таких сфер на поверхности, внутри нейтронной звезды или Черной дыры, вокруг них – считается тождественным поведению этой единственной точки данной сферической поверхности. То есть, все точки поверхности такой сферы отождествляются, поэтому более правильно называть эти точки на диаграмме не 2‑сферами, а точками 2‑сфер в одном направлении радиуса.
Конформное преобразование, как известно, сохраняет углы между линиями, изменяя их длины и форму. На диаграммах Пенроуза конформное преобразование координат имеет целью сохранить углы наклона нулевых геодезических. Действительно, и на диаграммах Минковского и на диаграммах Пенроуза эти линии имеет угол наклона 45 градусов в любой точке диаграммы. Как следствие, сохраняется форма световых конусов. Однако легко обнаружить, что при этом никакие другие углы не сохраняются, несмотря на конформность. Если изобразить мировые линии двух неподвижных в пространстве тел и пересекающую их световую линию, то на диаграмме Минковского эти две линии образуют с линией света один и тот же угол 45 градусов. На диаграмме Пенроуза эти линии будут иметь форму вертикальных дуговых линий, наподобие линий сетки r = const. Углы между ними и линией света – разные.
Классы диаграмм Пенроуза
Если рассмотреть различные варианты диаграмм Пенроуза в научной литературе, то по способу изображения горизонта событий их можно обобщенно, условно сгруппировать в четыре класса:
а) ромбовидные декартовы диаграммы, не содержащие горизонтов событий – рис.1 и рис.2. В литературе можно встретить их образное название – "бриллиант Пенроуза". Класс диаграмм этого вида следует рассматривать как основной, первичный, исходный, лежащий в основе всех остальных классов. Как разновидность, к этому классу следует отнести также полярные диаграммы, имеющие вид правой половины декартовых диаграмм;
б) диаграммы для вечной Черной дыры рис.14, обе левые грани которых являются горизонтами событий и присутствуют две сингулярности; на таких диаграммах возникает анизотропия времени;
в) диаграммы для коллапсирующей нейтронной звезды; верхняя часть такой треугольной диаграммы отсечена, имеет слева сверху горизонт событий 2М, а снизу слева – нулевую ось полярных координат, то есть, по существу, является комбинацией первых двух классов; такая диаграмма неизбежно приводит к разрыву геодезических;
г) многоэлементные, содержащие несколько соединенных друг с другом диаграмм остальных классов, например, пространство-время Райснера-Нордстрема.
Следует отметить, что при наличии некоторых технических, геометрических различий, все без исключения координатные диаграммы являются потомками декартовых координат, их своеобразными клонами. После декартовых координат революционным вариантом систем отсчета можно назвать диаграммы Минковского, используемые в математике теории относительности. Эти диаграммы наглядно демонстрируют фундаментальное положение теории относительности – принцип относительности, провозглашающий равенство всех инерциальных систем отсчета. При этом переходы между системами можно трактовать как поворот системы отсчета на некоторый угол.
Рассматриваемые далее диаграммы Пенроуза тоже не составляют исключения, являясь преемниками как диаграмм Минковского, так и декартовых координат. Главными специфическими чертами диаграмм Пенроуза, как указано, является сжатие бесконечно длинных осей времени и расстояния до конечных размеров. При этом для обеспечения преемственности с диаграммами Минковского это сжатие произведено путем конформного преобразования координат. Как мы уже отмечали, это проявляется в том, что светоподобные геодезические сохранили угол наклона в 45 градусов. Любая линия, изображенная в декартовых координатах или на диаграмме Минковского с наклоном в 45 градусов, будет точно такой же прямой, наклоненной под 45 градусов и на диаграммах Пенроуза.
Используя все те же средства, что и на традиционных диаграммах Минковского, мы можем изобразить те же самые мировые линии. Для этого нам нужно определить правила конформного преобразования, правила, по которым обычные, декартовы координаты преобразуются в координаты диаграммы Пенроуза. Очевидно, что прямые линии при этом искривляются, кроме светоподобных геодезических, линий распространения света.
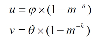
Для такого конформного преобразования координат используется преобразование осей координат с помощью уравнений:

где u, v – новые значения координат на диаграмме Пенроуза.
Таким образом, диаграмма Пенроуза – это, в сущности, обычная координатная система одномерного пространства. Не следует понимать буквально утверждения, что она отражает пространство 2‑сфер (двухмерных сфер), это отражение всего лишь искусственная экстраполяция. Оно ничего не может нам сказать о движении объекта в пространстве параллельно оси r или перпендикулярно к ней.
Можно задаться вопросом, а почему использованы именно эти сильно нелинейные тригонометрические функции? Дело в том, что из множества элементарных функций только тангенс изменяется в диапазоне от минус бесконечности до плюс бесконечности при изменении аргумента в фиксированном диапазоне (от -90 до +90 градусов). То есть, функционально демонстрирует связь между конечным и бесконечным диапазонами. Поэтому изменение бесконечных расстояния и времени, как аргументов, преобразуется в изменение новых аргументов в ограниченном диапазоне.
Заметим, что поместить бесконечное пространство-время на диаграмме конечных размеров, подобно диаграмме Пенроуза, можно также с помощью других функций, изменяющихся в конечных пределах при изменении аргумента на бесконечном диапазоне. Такими свойствами помимо арктангенса обладает, например, степенной ряд 2‑n (2 в степени минус n) и другие. Создать диаграмму, подобную квадратной диаграмме Пенроуза, можно, например, с помощью следующих показательных функций:

На рис.4a изображена диаграмма, построенная с использованием этих уравнений. Сразу же видим, что диаграмма визуально ничем не отличается от диаграммы с тангенциальным преобразованием рис.5. Для удобства коэффициент m выбран таким, что координатная сетка имеет более равномерное распределение, чем тангенциальная.

Рис.4. Диаграмма на основе показательной функции
Красная линия нанесена на диаграмму таким же способом, как и ранее: соединением диагоналей смежных координатных квадратов, то есть, эта линия для координат u-v является прямой линией. В данном случае координаты её последовательных точек описываются уравнением прямой (дуги) вида u + v = 11.
После построения полной координатной сетки из дуг, диаграмму следует повернуть на 45 градусов, вследствие чего дуги становятся координатными линиями r = const и t = const, а ставшие наклонными прямые линии становятся нулевыми геодезическими. Изображённая на рисунке рис.4b дуга в этом случае становится координатной линией.
Диаграмма в форме ромба (квадрата)
То, что диаграмма Пенроуза в форме ромба (квадрата) имеет сходство с декартовой системой координат наглядно показано на рис.5. На рисунке изображена обычная система координат Декарта, но оси подвергнуты преобразованию, во многом напоминающем логарифмическую сетку. Главное отличие состоит в том, что логарифмическая шкала имеет бесконечную протяжённость. Здесь же используется преобразование φ = arctg(x), θ = arctg(y). Соответственно, по координатам x и y откладываются не эти величины, а их арктангенсы. При изменении параметров x и y в пределах от минус до плюс бесконечности, каждый из параметров φ и θ изменяется в конечном диапазоне от –π/2 до +π/2.
На такой двухкоординатной диаграмме Декарта можно изобразить в виде плоскости всю бесконечную Вселенную. На рисунке рис.5a явно не видно, что диаграмма (система координат) является изотропной, поскольку на ней традиционные лучи света изображены кривыми линиями, дугами. Координаты лучей света описываются уравнениями y = ±x+C, то есть, единичному приращению координаты x соответствует такое же единичное приращение координаты y. На координатной сетке эти световые линии являются диагоналями единичных координатных квадратов.





