Правила счета элементов бесконечного множества

- -
- 100%
- +

Связь математики и физики
Давно замечено интересное и важное свойство математики, которая позволяет делать верные, но изначально просто как бы выдуманные описания нашего мира, предсказания:
"Существует вопрос, давно волнующий людей, задумывающихся об основаниях математики: почему математика столь эффективна при описании нашего мира и столь хорошо описывает его эволюцию? … Почему эти правила так хорошо работают?" [6]
Однако вряд ли следует слишком уж сильно этому удивляться и вспоминать еще одно её такое же удивительное свойство: способность дать любой желаемый результат. Эта математика так хорошо работает просто потому, что мы и вывели её из прямых наблюдений за окружающей действительностью. Эффективно работает, значит, верно подсмотрели. Более того, в науке и, в частности, в физике уже давно замечена еще одна интересная закономерность: кажущиеся поначалу абстрактными математические выражения, уравнения вдруг оказываются описанием какого-нибудь вполне реального явления:
"… физики обнаруживают, что математические построения, необходимые им для описания нового класса явления, уже исследованы математиками по причинам, не имеющим ничего общего с обсуждаемыми явлениями" [2, с.264].
Однако даже при таком явно полезном подходе следует все-таки быть предельно осторожным при формулировке выводов и следствий из этих математических построений. Можно привести ряд примеров, когда такие выкладки приводят не просто к противоречиям со здравым смыслом, но к довольно заметным противоречиям с логикой, содержат логические ошибки. Например, одним из наиболее известных таких странных выводов при исследовании бесконечных множеств элементов являются доказательства Кантора о равенстве числа точек на квадрате и линии, равной длине его ребра.
Приведённые в статье выкладки опубликованы в авторской книге [11].
Равномощные множества чисел
В литературе по космологии встречаются весьма любопытные рассуждения о тождественных бесконечностях. В частности делается очевидный ошибочный вывод о том, что в бесконечности часть может быть равна целому:
«множество натуральных чисел (ℕ) равномощно множествам целых чисел (ℤ), чётных натуральных чисел, всех рациональных чисел (ℚ), а отрезок числовой прямой (𝕀 = [0,1], континуум) оказывается в биективном соответствии со всей числовой прямой (ℝ), а также с n-мерным евклидовым пространством (ℝn)» [1].
Несомненно, это противоречит нашей интуиции. Ведь четные числа явно составляют лишь половину всех целых чисел. Это справедливо для любой конечной совокупности чисел, но, как утверждается в цитате, не соответствует бесконечным рядам, для которых получается, что их количества равны. А утверждение в отношении отрезка буквально означает, что всем точкам отрезка соответствуют все точки всей евклидовой бесконечной плоскости. Такие же странные выводы о соотношении целого и части делаются и в космологии [7, с.77; 2, с.282].
И эти противоречащие здравому смыслу и логике выводы преподносятся в научно-популярной литературе, в книгах, в документальных фильмах (BBC) как строго доказанные факты. Ошибочность подобных методов можно показать, если произвести подсчет количеств натуральных чисел при различных способах их группирования, приводящие к любому произвольному результату.
Для доказательства указанной равномощности точек отрезка и квадрата Кантор использует противоречивый, нелогичный метод. Конечно, можно предположить, что методология и доказательства Кантора и приведенные в цитате утверждения являются узкими теоретическими, частными проблемами. Однако они в явном виде использованы для того чтобы поставить под сомнение, например, одно из основных положений понятия многомерности:
"… параметрическое определение размерности (по крайней мере в форме: "Размерность пространства – это минимальное число параметров, которые необходимы, чтобы отличать точки пространства друг от друга") математически некорректно. Это стало ясно после построенного Георгом Кантором (1845—1918) знаменитого примера взаимно-однозначного соответствия между множествами точек квадрата и отрезка" [4, с.32].
Рассмотрим некоторые доказательства, которые позволят решительно отвергнуть аргументы Кантора.
Количества натуральных чисел в группах
Нумерация четных чисел. Например, в одном из вариантов для доказательства равномощности предлагается записать четные числа в виде бесконечного ряда, а под этим рядом написать их порядковые номера из натурального ряда чисел [7, с.78]:

Здесь каждому четному числу соответствует один порядковый номер из натурального ряда чисел и наоборот. Значит, утверждается, число четных чисел равно числу всех чисел натурального ряда.
Но это неверно. В частности, в данном примере четные числа не являются частью ряда натуральных чисел, это совершенно самостоятельный ряд, в котором вместо четных чисел могли быть любые символы.
Ошибка состоит в некорректном способе подсчета, в котором часть элементов исходного ряда просто игнорируется, исключается из процедуры подсчета. Произведём подсчет другим, правильным способом. Возьмем ряд всех натуральных чисел и будем их считать самым обычным, привычным способом. Для этого каждое натуральное число будем класть в соответствующий ящик, и при этом называть его значение: один, два, три и так далее. Одновременно, по мере того, как нам будут встречаться эти числа, мы будем с каждым четным числом класть такую же цифру во второй ящик. И, для наглядности, с каждым нечётным – в третий ящик. Ну, и для ещё большей наглядности – для каждого пятого числа – в четвертый ящик.
Через некоторое время посмотрим, что у нас в ящиках? Через тысячу шагов, очевидно, в первом ящике будет 1 000 чисел. Во втором и третьем – по 500, а в четвертом – только 200. Ну, или в виде соотношения 10:5:5:2.
Продолжим раскладывать числа и вновь проверим содержимое ящиков теперь уже через 10 000 шагов. И в этот раз мы обнаружим, что количества чисел в ящиках соотносятся как 10:5:5:2. Нужно ли доказывать, что и через миллион, и через миллиард, и через гугл шагов количества чисел в ящиках будут соотноситься как 10:5:5:2?
Если мы последовательно синхронно считаем количества чисел в натуральном ряду, то мы найдём истинное соотношение их количеств. Однако говорить, что бесконечное число всех натуральных чисел больше, чем число всех четных или нечетных чисел не совсем правильно. Эти числа образуют бесконечности, и следует говорить только об их мощности:
бесконечность всех натуральных чисел в два раза мощнее, чем бесконечности всех четных или нечетных чисел и в пять раз мощнее, чем бесконечность всех чисел, кратных пяти.
Утверждение, что часть может равняться целому ошибочно в самой формулировке. Мощность части бесконечности всегда меньше мощности всей бесконечности.
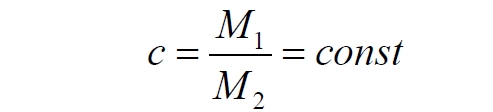
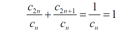
Рассмотрим приведённый выше пример в терминах мощностей. Примем без доказательства, что количество членов множества и его мощность – это разные, но схожие по смыслу понятия. Мы не можем сравнивать число членов множеств, по определению равных бесконечности, но мы можем сравнивать их мощности. Отношение мощностей М1 и М2 равномощных множеств всегда равно конечному числу:

В этом случае отношение множеств (1) для четных чисел запишется в виде:

Запишем также и отношение множеств для нечетных чисел:

Далее нам понадобится и такое тождественное отношение:

Это равенство очевидно, поскольку числитель равен знаменателю. Теперь просуммируем эти приведенные два отношения мощностей:

Очевидно, что последняя дробь содержит в числителе все целые натуральные числа:

поэтому они и равны тождественно единице.
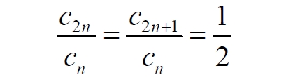
Это определённо означает, что мощности множеств всех натуральных чисел и суммы множеств всех четных и нечетных чисел равны. Но это также означает и тождественное равенство их бесконечного количества членов. Очевидно, что множества четных и нечетных чисел равномощны, поэтому, разделив полученное равенство на cn, получим:

Поэтому из равенства также следует, что каждая из мощностей четных и нечётных чисел в два раза «слабее» мощности всех натуральных чисел:

Отметим также без доказательств, что любые действия над каждым членом множества не изменяют мощности множества:

Из этого непосредственно следует, что решающее значение имеет способ, каким получено множество. Например, множество всех четных чисел может быть получено удалением из множества всех натуральных чисел нечётных или умножением на 2 каждого члена множества всех натуральных чисел:

Казалось бы, последнее выражение является точной копией множества всех четных чисел М(2, 4, 6, 8…). Но это ошибочно, поскольку любые действия над всеми (или отдельными) членами множества не изменяют их полного количества и, соответственно, мощности. Поэтому справедливо (знак множества M опускаем):

Хотя оба множества в числителях в обеих строках выглядят тождественно, на самом деле это разные множества, имеющие разную мощность.
Перестановки в рядах. Еще один вариант доказательства равномощности части и целого приведен в книге [2, с.282], где предлагается вести подсчет нечетных чисел, предварительно переставив их в ряду:
"В бесконечной вселенной коэффициент объема можно определить как долю, занятую областями данного типа. Но это определение приводит к неоднозначности. Чтобы проиллюстрировать природу проблемы, зададимся вопросом: какова доля нечетных чисел среди целых? Четные и нечетные числа чередуются в последовательности 1, 2, 3, 4, 5, и можно подумать, что ответом, очевидно, будет половина. Однако целые числа можно упорядочить другим способом. Например, так: 1, 2, 4, 3, 6, 8 … Эта последовательность по-прежнему включает все целые числа, но теперь за каждым нечетным числом следует два четных, и кажется, что только треть целых чисел являются нечетными"
Здесь нам отчетливо видна некорректность и противоречивость такой модификации числового ряда, которая строго последовательно и логично легко доводится до абсурда. Для этого все нечетные числа поместим в самый конец бесконечной последовательности. Теперь при поверхностном анализе последовательности мы обнаружим, что в ней нечетных чисел нет вообще. Конечно, мы догадываемся, что все они где-то дальше, но, как бы долго мы ни просматривали последовательность, мы никогда не встретим в ней ни одного нечетного числа. Однако итог явно абсурден: нечетные числа точно есть, но мы их почему-то не пересчитываем. Причина заключается просто в выборе метода подсчета: игнорирование длины ряда. Мы же сами каким-то образом перенесли нечетные числа в конец ряда? Ну, так и нумеровать тогда следует весь ряд. Это же относится и к предложенному выше методу упорядочивания. Каким-то образом эти числа перетасованы? Вплоть до последнего. Ну, так и считать следует соответственно – до последнего числа. Если же числа перетасовываются в процессе счета, тогда "временно вынутые из ряда нечетные числа" все время будут где-то скапливаться. Трудно будет не заметить это бесконечно большое хранилище нечетных чисел.
С другой стороны, мы можем проделать то же самое и с четными числами, например, получив в результате, что их в общем ряду только треть. Иначе говоря, один и тот же метод показывает, что среди целых чисел нечетных одновременно только половина и только две трети. Понятно, что методика, дающая два взаимоисключающих результата не вызывает доверия.
Группировка степеней. Такие методики пересчета, отождествления всегда содержат плохо скрытую подмену понятий. Например, с рядом натуральных чисел отождествляется ряд степеней 101, 102, 103 … 10n… и так далее. Таким же образом устанавливается взаимно однозначное соответствие и между множеством натуральных чисел и множеством всех квадратов натуральных чисел 12, 22, 32, … n2… и так далее. Но принять такое отождествление нет никаких оснований.
Нужно просто обратить внимание на то, что же именно отождествляется. В обоих приведенных примера сразу же можно заметить присутствие члена натурального ряда. Понятно, что отождествляются не значения членов ряда, а их порядковые номера, которые самым наглядным образом обозначены в каждом из членов рядов. До начала отождествления каждый член ряда уже имеет свой натуральный порядковый номер, а значение самого члена ряда не имеет никакого смысла. Это могут быть и летучие обезьяны с соответствующей биркой на шее, и протоны в бесконечной Вселенной, которые ещё только предстоит пометить соответствующим номером, и даже множество миров Эверетта.
Группировка в пары. Попробуем теперь просто пересчитать, перенумеровать все натуральные числа, предварительно соединив их в пары четное-нечетное число: (1,2), (3,4), (5,6), то есть, присваивая каждой паре последовательно номера 1, 2, 3, 4 и так далее. Очевидно, что каждой паре будет присвоен один номер, натуральное число. И мы получаем явное противоречие, поскольку это означает, что количество всех натуральных чисел, собранных в пары, в два раза больше количества всех натуральных чисел. Буквально, количество всех натуральных чисел в два раза больше количества всех натуральных чисел. Но натуральные числа можно группировать и тройками, пятерками, десятками и так далее.
Десять рядов. Еще более наглядно подмена понятий будет видна, если составить из натурального ряда десять новых рядов, каждый из которых содержит натуральные числа, оканчивающиеся на 0, 1, 2 и так далее до 9. Если теперь пересчитать их количества, то для каждого ряда, как и в случае (1) мы получим количество, совпадающее с количеством натуральных чисел. Теперь вновь соединим все эти ряды в единый. Очевидно, что в результате мы получим исходный ряд – натуральные числа. Получается, что количество членов просуммированного ряда в десять раз больше, чем в ряду натуральных чисел. Но ведь просуммированный ряд – это тот же самый натуральный ряд. Здесь совершается та же ошибка: подсчет без учета принадлежности чисел выделенных рядов исходному, натуральному ряду.
Квадратная таблица. Однако и это не предел. Можно, например, составить таблицу из n строк натуральных чисел, поэтому, соответственно, столбцов будет тоже n, где n – натуральное число. Теперь подсчитаем, перенумеруем диагональным процессом Кантора все числа этой таблицы. Очевидно, что каждое из чисел получит свой порядковый номер, которых, понятно, будет ровно n, стремящееся к бесконечности. Но таблица определенно содержит n2 элементов. Получается, что количество n2 элементов равно n, или, другими словами, количество всех натуральных чисел равно квадрату количества всех натуральных чисел. Конечно, сами натуральные числа к этому непричастны. Проблему создаёт выбор специфических способов подсчета, в основе которых явно лежат методы Кантора, позволяющие получить любой, произвольный результат. Поскольку один и тот же метод при корректном применении даёт разные результаты, такой метод не может быть верным.
О счетности континуума – точек на отрезке
Как утверждается со ссылкой на методологию счета Кантора, множество всех действительных чисел несчетно, то есть, невозможно их пересчитать, присвоив каждому из них некоторое натуральное число – номер, поскольку всегда останутся непронумерованные числа [3, с.73-74]. Вообще-то, на первый взгляд, интуитивно это выглядит вполне очевидно. Рассмотрим, например, следующую явно бесконечную последовательность действительных чисел:

В этих числах запятая просто занимает позицию n, представляющую натуральное число, поэтому чисел в указанной последовательности в точности равно числу строк, n, где n равно бесконечности. Поскольку все номера натуральных чисел использованы для нумерации этих действительных чисел, то очевидно, что остальное множество действительных чисел осталось без номеров, то есть их множество – несчетно. В связи с хитростями нумерации, как правило, вспоминают математика Кантора, который, как считается, доказал, что число точек на отрезке прямой сосчитать никаким способом нельзя. Утверждается, что их нельзя перенумеровать с помощью бесконечного ряда натуральных чисел, приписывая каждой точке свой номер, в каком бы порядке мы ни выбирали эти точки. Всегда останется хотя бы одна точка, на которую не хватит номера!
Перенумеровать или, тождественно, пересчитать бесконечное количество чего-либо, в том числе, сосчитать точки отрезка, действительно, невозможно физически. Однако приводимое затем доказательство, как правило, начинается со слов: «Представим, что вопреки нашему утверждению кому-то удалось перенумеровать точки этого отрезка», после чего приводятся хитрые комбинации с нумерацией. Но здесь следует напомнить фундаментальный принцип классической логики и классической математики, который постулирует полное отрицание актуальной бесконечности: «Infinitum Actu Non Datur» (Аристотель) – «актуальная бесконечность не существует». Принцип утверждает потенциальный, т.е. принципиально незавершаемый характер бесконечности множества. Актуальная, то есть, пересчитанная бесконечность лишена смысла. Бесконечностью может считаться лишь потенциальная бесконечность, завершить счет членов которой невозможно. Поэтому приводимое доказательство на этих словах можно и прервать – оно некорректно с самого начала. Впрочем, в этом вопросе особое мнение, которое следует признать некорректным, приписывается Давиду Гильберту. По мнению немецкого математика, одного из величайших умов своего времени, главное различие между актуальной и потенциальной бесконечностью заключается в следующем. Потенциально бесконечное есть всегда нечто возрастающее и имеющее пределом бесконечность, тогда как актуальная бесконечность – это завершённое целое, в действительности содержащее бесконечное число предметов [5].
В литературе можно встретить описание довольно интересного способа подсчета количества точек на отрезке линии. Нетрудно догадаться, что в этом примере использованная методика счета ошибочна и ведет к ошибочному выводу. Несложное доказательство несчетности содержит не очень сильно скрытую подмену понятий. Итак:
"Теперь уже несложно доказать, что множество всех точек на прямой линии несчетно. Вместо этого множества можно говорить о множестве всех действительных чисел, так как каждой точке прямой соответствует действительное число и обратно. Каждое действительное число можно записать в виде бесконечной десятичной дроби вида α,α1α2α3…αn…" [3, с.73-74].
Как видим, ряд знаков имеет бесконечное счетное количество знаков и, резонно предположим, что так же считает и автор доказательства. Сразу же заметим, что утверждения следует признать абсурдными. Любое конечное число всегда меньше бесконечности.
"Предположим, что нам удалось каким-то образом перенумеровать все действительные числа. Чтобы доказать, что это предположение неверно, достаточно построить хоть одно незанумерованное число. … поступим следующим образом. Сначала напишем нуль и поставим после него запятую. Потом возьмем число, получившее первый номер, и посмотрим на его первый десятичный знак после запятой (то есть на число десятых)" [там же].
Для определенности отметим, что поиск незанумерованного числа производится, как можно заметить, на отдельном интервале всех действительных чисел [0, 1]. Сначала как на неточность в этом рассуждении, как и в предыдущем доказательстве, сразу же укажем на очевидное, но, похоже, незамеченное обстоятельство: на самом деле при последовательном, возрастающем счёте у второго числа вторая цифра тоже будет 0. И у третьего. И у четвертого. И у числа, занимающего бесконечно большую позицию. На словах это, возможно, не совсем ясно, поэтому покажем это на "виновнике торжества" – на оцифрованном отрезке:

Рис.1. Оцифрованный отрезок, отдельный интервал всех действительных чисел
На рисунке видно, что первая цифра после нуля будет отличной от нуля, единица будет только после точки 0,1 отрезка. На интервале от 0 до 0,1 содержится счетное (пока оспариваемое) количество точек. Во всяком случае, это не одна, не миллион и даже не гугл точек, равный 10100, а в бесконечное число раз больше. У всех этих чисел первой цифрой после запятой будет ноль. Следовательно, искомое число пока находится вблизи нулевой точки, в самом начале отрезка [0, 1].
"Если эта цифра отлична от 1, то в числе, которое мы пишем, поставим после запятой 1, а если эта цифра равна 1, то поставим после запятой 2" [3, с.73-74].
Еще раз отметим, что отличная от единицы цифра в первой позиции после нуля первого числа будет нулем. Следовательно, в "искомом" числе после запятой первой будет 2. То есть, число будет 0,2. Сразу же на рисунке находим, что эта точка на отрезке есть – это точка 0,2.
"Затем перейдем к числу, получившему второй номер, и посмотрим на его вторую цифру после запятой. Снова если эта цифра отлична от единицы, то в числе, которое мы пишем, поставим на месте сотых цифру 1, если же эта цифра является единицей, то поставим цифру 2" [там же].
Как и в предыдущем случае, вторым знаком опять будет ноль, поскольку точки расположены рядом и их номера различаются лишь в очень далекой позиции после нуля. Следовательно, и вторая цифра искомого числа будет 2. То есть, это будет число 0,22. По рисунку видно, что и эта точка на отрезке имеется. Она находится правее точки 0,2 и отстоит от неё примерно на 1/5 отрезка от 0,2 до 0,3.
"Точно так же будем действовать и дальше, каждый раз обращая внимание лишь на n-ю цифру числа, получившего n-й номер. В результате мы выпишем некоторое число, например, N=0,1121211. . . [там же].
Но мы уже можем заметить, что такое число не получается. А получится число 0,22222…, в котором цифра 1 появится очень и очень не скоро. И эта цифра, единица также будет тиражироваться многократно. В конечном счете, формируемое число примет вид:

Кстати, можно догадаться по алгоритму, что число будет в основном состоять из двоек, поскольку из 10 цифр единица, которую помечаем двойкой, только одна.
"Ясно, что это число не получило никакого номера: в первом десятичном знаке оно отличается от числа с номером 1, во втором – от числа с номером 2, . . ., в n-м – от числа с номером n и т. д." [3, с.73-74].
Верно это только отчасти, поскольку в целом неверно. Указанные совпадения, действительно, на первом участке отрезка отсутствуют. Однако это найденное число совпадает в первом знаке с бесконечным множеством чисел, соответствующих другой точке отрезка – [0.2, 0.3]. Первым и вторым знаками оно соответствует множеству чисел следующих точек этого отрезка. Первым, вторым и третьим – следующему множеству точек отрезка. И так далее – до бесконечности! Проще говоря, "найденное" число будет находиться правее числа 0,222 и бесконечно близко к нему, никогда не достигая числа 0,223.
"Чтобы читателю стало яснее, как выписывается число, не получившее номера, предположим, что при выбранной нумерации первые пять чисел имеют следующий вид:





