Правила счета элементов бесконечного множества

- -
- 100%
- +
4,27364…
–1,31226…
7,95471…
0,62419…
8,56280… " [там же].
Здесь очевидна небольшая неточность, поскольку автором, судя по всему, выбран интервал [0, 1], а на этом интервале таких чисел при выбранной нумерации не будет никогда. Однако эту неточность оставим без критики, просто заменив в них цифру перед запятой на ноль, поскольку пояснение вполне верно описывает принцип формирования искомого числа.
"Тогда число, не получившее номера, будет начинаться со следующих десятичных знаков: 0,12121 . . . Разумеется, не только это, но и многие другие числа не получили номеров (мы могли бы заменять все цифры, кроме 2, на 2, а цифру 2 на 7 или выбрать еще какое-нибудь правило). Но нам достаточно существования одного-единственного числа, не получившего номера, чтобы опровергнуть гипотезу о возможности нумерации всех действительных чисел" [3, с.73-74].
Еще раз отметим, что доказательство на самом деле рассматривает бесконечно малую часть всех действительных чисел – на интервале [0, 1]. Предложенный способ просмотра чисел некорректен. При таком способе все просматриваемые действительные числа на этом интервале будут сгруппированы возле нулевой точки. И ожидаемого числа 0,12121, приведенного в качестве примера, получено не будет никогда. А будет образовано указанное выше число N из бесконечного количества двоек.
Следовательно, в этом отношении доказательство не может достичь успеха, поскольку полученное число точно имеется на близлежащем интервале. Действительно, на интервале, например, от 0,222 до 0,223 присутствуют все возможные комбинации знаков после запятой, в том числе и знаков указанного числа N.
Конечно, в доказательстве явно не указана последовательность номеров чисел. Но под "нам удалось" тоже явно никто не указан. Эти самые "нам" могли перенумеровать числа интервала подряд: сначала все возле нуля, затем они дошли до 0,1 и так далее.
В рассмотренном выше примере с перестановкой запятой (2) такие пропущенные числа очевидны, например, в нем отсутствуют числа 1,111 и 2,222. Однако и традиционный метод нахождения пропущенного числа изначально содержит логическую ошибку, противоречие. Подбор такого числа дает результат, который изначально обязательно должен был быть подсчитанным, пронумерованным натуральным числом. Покажем эту очевидную логическую ошибку такого нахождения отсутствующего числа в более явном виде.
Предположим, что в процессе поиска получено новое число, скажем, 0,7182814159.... Однако это число не является новым, отсутствующим в пронумерованном множестве. Это странным образом не замеченное очевидное обстоятельство. Очевидно, что последовательности цифр после запятой всех действительных чисел являются полными, исчерпывающими, содержащими все без исключения их возможные комбинации. То есть, любая наперед заданная комбинация цифр, в том числе и у этого "найденного", обязательно присутствует в бесконечном множестве действительных чисел. Более того, любое число с конечным числом знаков как фрагмент, шаблон присутствует в этом ряду бесконечное число раз. Действительно, "найденных" чисел вида 0,718nnn… – бесконечное множество, как и чисел 0,7182814nnn…, где n – любая цифра, поэтому среди них обязательно имеется и "найденное". Следовательно, любое найденное подобным образом число, обязательно имеется среди подсчитанных, то есть, оно пронумеровано, как и любое другое из множества действительных чисел, что означает счетность всех действительных чисел.
Ошибочность доказательств многих тезисов Кантора вызвана выбором специфического метода подсчета числа элементов, неудачного способа записи последовательностей этих элементов, в результате чего отождествление элементов оказалось завуалированным.
Очевидно, что указанный метод доказательства несчетности множества действительных чисел, который можно назвать традиционным, содержит явную логическую ошибку и непригоден сам по себе. Этот метод опирается на недопустимое предположение "если кому-то удалось все их пересчитать, то можно найти пропущенное". Вместе с тем существует достаточно очевидный способ записи элементов континуума, наглядно доказывающий счетность всех мыслимых видов чисел, и позволяющий записать все их строго последовательно.
Покажем это на примере способа записи всех действительные числа, меньших нуля. Способ записи достаточно очевиден: нужно просто записывать после запятой все последовательные натуральные числа в обратном порядке, инверсно "задом наперед".
Например, под номером 12345678 будет записано действительное число 0,87654321, а инверсией последовательных натуральных чисел 996, 997, 998, 999, 1000 будет создан фрагмент последовательности действительных чисел:

Такая инверсная запись дробной части чисел, меньших единицы, позволяет записать всю их непрерывную, бесконечную последовательность. Инверсная запись, "задом наперед" используется для того, чтобы при возрастании номера сохранялись значащие нули, поскольку при обычной записи будут пропущены, например, действительные числа, имеющие нули сразу после запятой. Очевидно, что бесконечная последовательность содержит все без исключения действительные числа, меньшие нуля, в частности, полную дробную часть чисел π (3,14159…), числа Эйлера – е (2,71828…), основания натуральных логарифмов, константу пропорциональности Ландау – Рамануджана С (0,76422…) и постоянную тонкой структуры . Для удобства эти дробные числа с нулевой целой частью можно представить, например, записью следующего вида:

где индекс 0 означает, что все числа этого множества не превышают единицы, то есть, перед запятой у них записан 0, а n со стрелкой влево над ним – это обычное натуральное число, записанное после запятой в обратном порядке, "задом наперед", как дробная часть этого элемента множества. Очевидно, это число n является порядковым номером соответствующего элемента множества M0, точки линии.
Теперь возьмем отрезок, линию [0,1] и отождествим каждую точку этой линии с полученной числовой последовательностью (3). Очевидно, что каждая точка отрезка будет единственно отождествлена с единственным числом последовательности, парно. Ни одна точка или число не будут пропущены. Какое бы число мы ни взяли, на линии обязательно будет точка с таким же значением. Наоборот, какую бы мы не взяли точку на линии, этот номер обязательно будет в созданном массиве. Иначе говоря, рассмотренный отрезок числовой прямой [0, 1], континуум оказывается в биективном соответствии со всеми числами созданного множества.
Собственно процесс нумерации элементов массива или точек линии также достаточно очевиден. В этом процессе, как можно обнаружить, точки, элементы линии, числа сформированного ряда, матрицы оказываются расположенными не в виде монотонной последовательности, а "вперемешку".

Рис.2. Нумерация точек отрезка
На рисунке показан фрагмент последовательной нумерации точек, начиная с точки 0,5 и заканчивая на точке 0,31. Мы последовательно рассматриваем фрагмент, точки с натуральными порядковыми номерами 5, 6, 7, 8, 9, 10, 11, 12, 13, по которым из выражения (3) определяем значения этих точек: 0,5 (точка номер 5); 0,6 (точка номер 6); 0,7 (точка номер 7 и так далее); 0,8; 0,9; 0,01 (точка номер 10); 0,11; 0,21; 0,31 (точка номер 13). Как видим, порядковые номера точек равномерно возрастают, но сами точки при этом "скачут" по линии. Отметим главное: фактическое значение точки "возникает" в самом процессе нумерации. То есть, сначала мы выбираем некоторый или очередной, натуральный порядковый номер точки, а затем определяем её местоположение на линии и присваиваем этой точке выбранный номер.
Собственно говоря, нумерация элементов массива и означает присвоение конкретному элементу некоторого определенного номера, как бы навешивание на элемент таблички с номером. Поэтому выбрав элемент, мы можем увидеть его номер, а выбрав номер, узнать, какому элементу он принадлежит. В рассмотренном случае с нумерацией точек линии натуральный порядковый номер, например, 12 389 принадлежит точке на линии со значением 0,98321. Наоборот, точка линии со значением, например, 0,5612999 имеет в массиве порядковый номер 9 992 165.
Такой же алгоритм можно использовать и для нумерации точек плоских или объемных, многомерных объектов, например, точек куба. В случае многомерных объектов номер преобразуется к виду (3) по методу Кантора, созданного им для отождествления точек линии и квадрата [3, с.77].
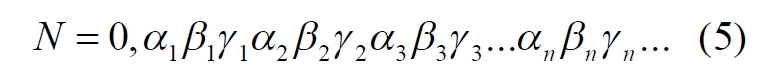
Предположим, некая точка куба имеет следующие координаты, в которых буквы α, β и γ обозначают любую цифру в этих числах:

Используя метод Кантора, формируем из этих чисел новое число:

Отсутствующие цифры для какого-либо индекса заменяем нулями. Дробную часть полученного комбинированного числа инвертируем, поворачиваем "задом наперед", согласно (3), и получаем натуральный порядковый номер рассмотренной точки куба. Например, точка куба с координатами p(x, y, z) = (0,123; 0,321; 0,9171) при комбинировании даст число N=139 221 317 001, что означает порядковый номер точки в бесконечном их массиве, равный 100 713 122 931. Понятно, что обратным преобразованием можно так же найти координаты любой точки по её номеру. Например, точка с порядковым номером 1 234 567 890 имеет в кубе координаты p(0,0741; 0,963; 0,852). Рассмотренный вариант относится к кубу с единичным ребром, но он может быть легко расширен на куб с любым размером ребра, а также на объекты вообще с любым числом измерений.
Наконец, метод позволяет перенумеровать и составные элементы: комплексные числа, кватернионы и тому подобные. Например, комплексное число можно представить в виде

В этой записи буквами α и γ обозначены целая часть числа реальной и мнимой части, а буквами β и δ, соответственно, их дробные части. Например:

Количество цифр α, β, γ и δ в записях может быть любым. Теперь, используя метод комбинации, можно получить число N, инверсная запись которого и будет обозначать натуральный порядковый номер этого числа в их бесконечном массиве. Например, приведенное выше комплексное число будет иметь в бесконечном массиве всех возможных комплексных чисел натуральный порядковый номер 200 123 021 325. Кстати, можно заметить, что в таком массиве первые 10 чисел (0…9) являются реальными, а число i (комплексная единица) находится на позиции 100 и имеет порядковый номер 10. Также заметим, что при таком подходе основой всех чисел являются вещественные числа, а различные комплексные и им подобные – это простая комбинация этих базовых чисел. Условно говоря – все эти комбинационные числа являются своеобразной тенью, миражом чисел реальных.
Нетрудно заметить, что нумерация комплексных чисел тождественна нумерации точек квадрата. В этих частных случаях можно легко применить для их нумерации традиционный диагональный процесс Кантора.
Далее, если составить множество строк, подобных выражению (3), в каждой из которых вместо нуля теперь уже будут записываться последовательные натуральные числа, то образуется квадратная таблица, матрица, содержащая все без исключения положительные действительные числа. То есть, запись (3) будет иметь следующую расширенную форму:

где x, y – это обычные натуральные числа, которые, как и выше, записаны в обратном порядке, "задом наперед", что обозначено обратными стрелками над ними. Нетрудно догадаться, что эти числа могут обозначать соответствующие координаты точек квадрата.
Дублирование строк со знаком минус добавит в таблицу и все отрицательные действительные числа. Если теперь записать матрицу координат его точек по выражению (5) для их подсчета диагональным процессом Кантора [3, с.70], то полученная запись будет иметь вид:

Нетрудно заметить, что такая запись содержит весь бесконечный ряд действительных чисел, причем слева (столбцом) и справа от запятой записаны независимые ряды в диапазонах значений от 0 до 1. Понятно, что ряд слева от запятой нужно читать справа налево, добавив в начале него 0 и запятую.
Такая трактовка этих последовательных числовых рядов позволяет присвоить значения их членов координатам точек квадрата, присвоить каждую пару этих чисел x,y каждой из точек квадрата со стороной 1 – без взаимных пропусков, то есть, обеспечить их полное биективное соответствие. Действительно, каждая точка квадрата на его некоторой, например, горизонтальной линии может быть пронумерована, как и точки линии, дробной частью x чисел представленного квадратного массива. Соответственно, каждой линии по вертикали так же может быть присвоен номер y, записанный инверсно, "задом наперед", то есть, и всё бесконечное множество горизонтальных линий квадрата будет пронумеровано всем рядом действительных чисел, меньших единицы. Теперь все точки квадрата в созданной матрице можно пересчитать диагональным процессом Кантора. Причем, отчетливо видно, что в представленной матрице первая строка номеров точек квадрата тождественна строке номеров точек линии (3) при y = 0. А это означает, что количество точек на линии в бесконечное число раз меньше количества точек на квадрате.
Следует признать, что нумерация точек квадрата диагональным процессом менее удобна, чем способ конвертации номеров (6). При конвертации мы легко можем по натуральному порядковому номеру N точки p(x,y) определить её координаты x, y и наоборот. Использование же в этих целях выражения (5) связано с заметными вычислительными трудностями.
Таким образом, приведенные рассуждения позволяют подвести итог и сделать однозначный вывод:
Вся бесконечная последовательность действительных чисел, континуум любого числа измерений являются счётными, все они могут быть пронумерованы натуральными числами.
Задача об "Отеле Гильберта"
Судя по всему, вопросы бесконечных множеств сложны не только для рядовых математиков. Иной раз в слабом их понимании можно заподозрить и величайших специалистов в этой области. Рассмотрим рассказ, который, как считается, предложил Гильберт где-то в третьем десятилетии 20 века [9, 8, 10; 3, с.70-71].
Представим себе гостиницу с бесконечным числом комнат. Комнаты пронумерованы натуральными числами от 1 до ∞. Однажды в гостиницу вошел человек и попросил снять комнату. К сожалению, для нового гостя не нашлось комнаты, так как отель был полностью заполнен бесконечным числом гостей, и не было ни одного свободного номера. Как предоставить новому гостю свободную комнату, не выселяя никого из постояльцев?
Несмотря на то, что по условиям задачи все номера заняты, утверждается, что, тем не менее, существует возможность выделить сколько угодно свободных комнат. Для этого необходимо переселить постояльца из первой комнату во вторую, постояльца из второй комнаты в третью и так далее. То есть, каждого постояльца из комнаты с номером n необходимо переселить в комнату с номером n+1, n→n+1. В результате этого освобождается комната с номером один, и в неё можно поселить нового гостя. Здесь неявно подразумевается, что переселение выселением не является.
Но это решение ошибочно. По условиям задачи определённо сказано, что свободных номеров нет! Следовательно, данный «парадокс» Гильберта является псевдо парадоксом [9], поскольку вместо подселения производится выселение. В предложенном решении производится подмена понятий. Состояние, стационарное, неизменное – заполненность всех номеров жильцами – подменяется процессом, динамическим, движением – переселением постояльцев из одного номера в другой.
Во-первых, этот процесс будет длиться вечно, во-вторых, в случае даже одного нового гостя, на всём протяжении процесса переселений один из постояльцев всегда будет без гостиничного номера, то есть, будет сидеть в коридоре, что является нарушением условий решения задачи. Иначе говоря, все постояльцы просто поделились своим временем проживания с новым жильцом как в пословице "с миру – по нитке".
Собственно математическая ошибка состоит в том, что за большим числом постояльцев как-то незаметно прячется суть задачи. Математической процедурой, манипуляцией с бесконечностями подменяется само содержание исходного тезиса: подселение в заполненный отель дополнительных постояльцев. Показать эту подмену можно, если взять противоположный предельный вариант: в отеле всего один номер, и он занят. Для того чтобы поселить нового, прежнего постояльца временно выселяют буквально в коридор под предлогом переселения. Здесь, как видим, и обнаруживается скрытая подмена понятий переселения и выселения. Вновь пришедшего гостя селят в освободившийся номер. Но прежнего постояльца тоже надо куда-то поместить. Поэтому вновь заселенного гостя опять выселяют, а на его место селят прежнего постояльца. И так по кругу. В конечном счете, каждый из них в номере проживает только половину времени, а вторую – на стуле в коридоре.
В таком варианте задача принципиально ничем не отличается от задачи с бесконечным числом комнат. Добавим ещё одну комнату и будем по кругу переселять теперь уже троих постояльцев. Можно добавить и четверную комнату и производить всё ту же процедуру "переселения-выселения". Дойдя до бесконечности, мы и получим парадокс отеля в исходном варианте. Однако в его минимальной конфигурации мы явно обнаруживаем: постояльцы, по сути, часть времени проводят на стуле возле комнаты. При бесконечном числе комнат и конечном числе новых постояльцев это время стремится к нулю. Отличие только в этом. Если же число постояльцев растет, как предлагается в расширенных версиях парадокса, то и время "на стуле около комнаты" также будет расти вплоть до той же исходной величины – половины времени проживания. Рассмотренные решения «парадоксов» нарушают главный принцип отелей: постоялец должен вселиться и жить в нем, пока сам не решит его покинуть.
Вместе с тем, обнаруженное нарушение можно отнести к слабому опровержению решения задачи. Более важным выводом из неё является заявленное доказательство несчетности всех действительных чисел. Но ошибочно и это доказательство.
Несостоявшаяся перепись
Парадокс отеля оказался настолько интересным и показательным, что он получил дальнейшее развитие, которое описано, например, в виде шутливого научно-фантастического рассказа от имени вымышленного персонажа:
"Из треста космических гостиниц пришел приказ составить заранее все возможные варианты заполнения номеров. Эти варианты потребовали представить в виде таблицы, каждая строка которой изображала бы один из вариантов. При этом заполненные номера должны были изображаться единицами, а пустые нулями. Например, вариант 101010101010… означал, что все нечетные номера заняты, а все четные пустые, вариант 11111111111… означал заполнение всей гостиницы, а вариант 000000000000… означал полный финансовый крах – все номера пустовали" [9, с.70-71].
Этот фрагмент, цитата является продолжением рассказа об "Отеле Гильберта", для случая бесконечного числа отелей с бесконечным числом номеров и бесконечным множеством гостей. В продолжении рассмотрен еще один из вероятных парадоксов, возникающих в таком тресте отелей. Итак, форма отчета определена. Далее определяется способ его составления:
"Директор был перегружен работой и поэтому придумал простой выход из положения. Каждой дежурной по этажу было поручено составить столько вариантов заполнения, сколько номеров было в ее ведении. При этом были приняты меры, чтобы варианты не повторялись. Через несколько дней списки были представлены директору, и он объединил их в один список" [там же]
К сожалению, способ описан недостаточно четко, например, что представляют собой "принятые меры", поэтому с учетом предыдущей информации из книги проясним некоторые детали. Фраза определённо противоречива. Изначально под вариантом подразумевалось одно единственное двоичное число, каждый разряд которого относится только к одной комнате. Если же дежурный составляет много вариантов, то неясно, чем они могут отличаться друг от друга? Вернее, ясно, что все они – это один и тот же вариант, одно и то же число с битами – признаками занятости номеров. В дальнейшем же под вариантом явно подразумевается номер той или иной комнаты на этаже.
На каждом этаже у дежурной по определению должно быть бесконечное, счетное количество номеров. В противном случае вариантов в смысле номеров комнат у неё будет конечное количество, то есть, каждое двоичное число будет иметь вполне определенное число знаков. Например, 10165 нулей и единиц. В этом случае задача имеет однозначное решение при бесконечном количестве гостиниц и этажей, поскольку любая счетная (потенциальная) бесконечность перекрывает любое конечное число вариантов.
Но, с другой стороны, если на этаже счетное, то есть, бесконечное количество номеров, то и в этом случае будет получен список вариантов, содержащий все возможные комбинации из бесконечного (счетного) числа нулей и единиц. То есть, и в этом случае задача решается однозначно, то есть, список вариантов будет единственным и полным.
"– Могу ручаться, что список неполон. Я берусь указать вариант, который наверняка пропущен" [3, с.70-71].
Вполне ожидаема подмена понятий, но её следует показать непосредственно, явно.
"Мы заключили пари. Чтобы выиграть его, я предложил прибить каждый вариант на дверь того номера, которому он соответствовал…" [там же].
Сразу же возразим. Напомним читателю, что вариантов составлено столько, сколько номеров на этаже, а не в гостинице целиком. Список отсортирован по возрастанию, но это не имеет принципиального значения, поэтому просто отбросим варианты других этажей, поскольку и одного этажа окажется вполне достаточно.
"А потом я поступил очень просто. Подойдя к двери первого номера, я увидел, что соответствующий вариант начинается с цифры 0. Немедленно в блокноте появилась цифра 1; это и была первая цифра варианта, который мне хотелось составить" [там же].
Здесь заметна некоторая неопределенность. Гостиниц – бесконечное число (счетное). Можно также предположить, что, соответственно, этажей и комнат на каждом этаже также счетное (потенциально бесконечное) множество. В этом случае смысл первого номера становится неясен. Нумерация ведётся сквозная? Или в каждой гостинице есть свой первый номер? С этажами тоже не совсем ясно, хотя и проще, поскольку по принятой практике первая цифра номера комнаты равна номеру этажа. И вновь примем решение в пользу рассказчика: отбросим все номера кроме номеров на единственном этаже единственной гостиницы, а в номере комнаты отбросим цифры этажа. Следовательно, на каждом этаже каждой гостиницы будет комната с номером 0, причём под "вариантом", очевидно, подразумевается именно номер комнаты.
"Когда я подошел к двери второго номера, то первая цифра соответствующего варианта меня не интересовала, ведь первая цифра моего варианта была уже написана. Поэтому все внимание было обращено на вторую цифру. Увидев, что эта цифра 1, я записал в своем блокноте цифру 0. Точно так же, обнаружив, что третья цифра варианта, прибитого к двери третьего номера, тоже 1, я записал в блокноте цифру 0. Вообще, если я обнаруживал, что n-я цифра n-го варианта есть 0, то писал в своем блокноте на n-ом месте цифру 1, если же n-я цифра n-го варианта была 1, то я писал у себя 0. Когда я обошел все номера гостиницы, то в блокноте оказалась записанной последовательность нулей и единиц" [3, с.70-71].
Методика понятна и разумна, но верные ли выводы из неё делает рассказчик?
"– Вот, полюбуйтесь на пропущенный вариант.
– А откуда известно, что он пропущен?
– Он не может быть первым, так как отличается от него первой цифрой, не может быть вторым, так как отличается от него второй цифрой, третьим, так как отличается от него третьей цифрой, и вообще n-м, так как отличается от него n-й цифрой" [там же].





