Правила счета элементов бесконечного множества

- -
- 100%
- +
Как видим, метод полностью совпадает с рассмотренным выше, поэтому также ведет к неверному выводу. В его списке номер начинается, например, с цифры 0. Но это всего-навсего первый разряд бинарного числа бесконечной длины. Можно уверенно заявить, что вся монотонная бесконечная последовательность нулей и единиц в точности содержит половину начинающихся с нуля. Например, пятизначное двоичное число:

содержит всего 32 числа, первые 16 из которых начинаются с нуля. Следовательно, если номер первой комнаты начинается с нуля, то номер второй комнаты тоже будет начинаться с нуля. И так на бесконечном количестве дверей. Поэтому в блокноте вторая цифра, как и первая, так же будет единицей. И третья. И четвертая. И так до бесконечности. Счетной.
Но как же так?! Получается, что все комнаты будут иметь один и тот же нулевой номер?! Нет, разумеется. Просто длина последовательности нулей и единиц такова, что прочитать последнюю цифру рассказчику не удастся никогда. Вернее, за бесконечное (счетное) количество времени.
"… стало ясно, что какое бы счетное множество вариантов ни взять, всегда найдется вариант, не вошедший в это множество… А это и значит, что множество всех вариантов заполнения гостиницы несчетно…" [3, с.70-71].
Как видим, вывод о несчетности вариантов явно ошибочен. Похоже, что этого не заметили и программисты или математики в тресте космических гостиниц, которые обязаны были предостеречь руководство от такого тривиального, бессмысленного задания. Бесконечное (счетное) число вариантов бинарных чисел даёт весь натуральный бинарный ряд чисел. Без пропусков и повторов. Каждый дежурный по этажу должен был составить список всех вариантов (то есть, номеров комнат) из бесконечной последовательности бинарных чисел. Неважно, что дежурных много, а гостиниц – вообще бесконечное (счетное) количество. Каждый из дежурных предоставит в точности один и тот же список вариантов (номеров).
По поводу "отсутствующего" номера комнаты добавим – этот номер в списке есть, но находится среди номеров второй половины бесконечного их количества. Заметим, что при таком способе "нахождения" не проходит и хитрость с отбрасыванием ведущих нулей, то есть:

поскольку в этом случае у второй комнаты в номере отсутствует вторая цифра, у третьей – третья, у четвертой – четвертая и так далее.
Разрядность и количество чисел в массиве
Легко показать, что причина ошибки заключается в том, что при поиске отсутствующего числа по непонятной причине количество разрядов чисел (записей в блокноте) приравнивалось общему количеству всех чисел. В сущности, это очевидное и даже тривиальное некорректное допущение, и почему оно оказалось незамеченным, непонятно. Действительно, общее количество чисел, их основание и разрядность связаны простым соотношением

где
k – количество чисел разрядности n и основанием m;
m – основание чисел: десятичные, двоичные и т.д.;
n – разрядность чисел, числового ряда.
Например, общее количество чисел с основанием 10 (десятичные) и разрядностью 5 равно 100 000, то есть, от 00000 до 99 999. А количество чисел с основанием 2 (бинарных) и числом разрядов 16, соответственно, равно 216 – или 65 536 чисел от 0000 0000 0000 0000 до 1111 1111 1111 1111. Точно такие же соотношения можно составить и для любых других оснований – шестнадцатеричного, восьмеричного и так далее.
Рассмотрим массив бинарных чисел, использованных в "блокнотном методе", и возможность метода определить число, номер, не использованный при нумерации комнат. Сначала вновь обратимся к примеру с массивом пятизначных чисел, теперь уже двоичных, бинарных.
Обобщённо в двоичном коде пятизначное число можно записать как nnnnn c диапазоном от 00000 до 11111. Количество этих чисел равно 25 = 32. Поскольку их относительно мало, можем записать все их в виде таблицы 4х8 – слева направо, сверху вниз:

Теперь можно воспользоваться "блокнотным методом". Рассказчик и его герой в рассказе, а также все их последователи искали пропущенное число поразрядно, то есть, переходя от двери к двери комнат отеля, добавляли к записи в блокноте всё новый и новый разряд, полагая, что тем самым они просмотрели все возможные числа, номера комнат. Но на самом деле, как видно из соотношения, они переберут только количество чисел, равное их разрядности.
Мы, согласно традиции метода, предполагаем, что кому-то удалось пересчитать и перенумеровать все 32 числа в этой таблице. Попробуем доказать, что счётчик всё-таки пропустил, по меньшей мере, одно число. Итак, смотрим на первое число. Его первый разряд равен нулю, поэтому записываем в блокнот единицу: 1nnnn. Остальные четыре цифры нам пока неизвестны. Теперь смотрим на второе число, двигаясь по таблице сверху вниз. Видим, что вторая цифра второго числа равна единице, поэтому записываем в блокнот цифру 0 вторым разрядом нашего числа: 10nnn. Смотрим третье число и видим, что третья цифра равна нулю. Делаем запись в блокнот: 101nn. Таким же образом записываем и четвёртую цифру 1 в блокнот, заметив, что четвёртая цифра четвёртого числа в таблице равна нулю: 1011n. Последнее, пятое число в таблице берём рядом с предыдущим: последнее число в следующей колонке. В результате получаем в блокноте окончательно число 10110. Согласно "блокнотному правилу" наше число отличается от первого первой цифрой, от второго – второй, от третьего – третьей и так далее. Следовательно, мы должны сделать вывод, что счётчик не пронумеровал это число в процессе подсчёта, ведь оно отличается первым разрядом от первого числа… и так далее. Однако… это явно не так. Реально мы просмотрели только 5 (пять) чисел в колонках, хотя общее количество чисел равно 32 – в 6 раз больше. И это, якобы пропущенное число, в этой таблице точно есть. Находится оно в третьей строке в седьмой колонке. Заметим, что порядок просмотра номеров в таблице значения не имеет, просто будут получены разные "пропущенные" номера.
Еще раз отметим, что метод просматривает совсем даже не все числа, а только их количество, равное разрядности числа. Но ведь по условиям рассказа об отелях номеров на этаже – бесконечное количество, то есть, разрядность каждого числа также равна бесконечности. Тем не менее, это ровным счетом ничего не меняет, в этом случае герой рассказа точно так же просмотрит не все числа, а только их часть, и найденное им якобы отсутствующее число обязательно будет присутствовать среди чисел, до которых он просто никогда не дойдёт.
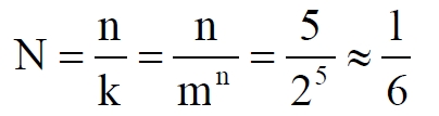
Как говорится, что-то пошло не так. А не так пошло использованное "блокнотное правило". Мы в рассматриваемом общем массиве чисел можем, имеем право просмотреть только 5 (пять!) чисел. Любое следующее число обязало бы нас приписать к "найденному" числу ещё один разряд, но в нашем массиве нет 6-разрядных чисел. Отношение разрядности чисел к их количеству (7) в массиве описывается простым уравнением:

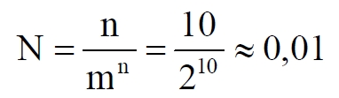
Здесь n – это основание массива: в нашем случае бинарных чисел m = 2. Для десятичных чисел основание m = 10, для шестнадцатиразрядных hex-чисел m = 16. Соответственно, n – это разрядность чисел, в нашем случае n = 5, следовательно, N ~ 1/6. Используя это уравнение, мы можем определить соотношение N и для других, например, для 10-разрядных бинарных чисел:

Замечаем, что при увеличении разрядности чисел отношение уменьшается. В пределе, какой рассматривается в задаче об отеле Гильберта, разрядность чисел – номеров комнат в отелях стремится к бесконечности.

Это означает, что при бесконечном количестве комнат счётчик может просмотреть хотя и бесконечное их количество, но в общем количестве комнат это просмотренное количество эквивалентно нулю.
Получается, что доля просмотренных героем рассказа чисел от общего их количества равна нулю, поэтому нет ничего удивительного, что любое найденное им число обязательно будет присутствовать в их полном наборе. Собственно говоря, это тривиальный, очевидный факт: всё бесконечное множество чисел бесконечной разрядности содержит все возможные числа, то есть, это тождественно весь натуральный ряд чисел, поэтому "отсутствующих" чисел в нём быть не может просто по определению.
Такой же результат будет получен, если рассматривать не разрядность, а общее количество чисел.

Следовательно, каким бы большим ни был найденный им номер комнаты, якобы не получившей порядкового номера, номера всех комнат используют все без исключения числа от нуля до бесконечности, то есть, содержать все возможные порядковые номера, среди которых обязательно присутствует и "пропущенный" номер.
Таким образом, вывод о несчетности вариантов, номеров комнат является ошибочным. Похоже, что и в управлении космических гостиниц тоже не нашлось грамотного программиста или математика, которые могли бы объяснить директору ошибочность вывода о неполноте списка, и что пари выиграл именно он, директор.
Счетность всех мыслимых видов чисел
Теперь еще раз обратимся к утверждению о несчетности континуума. Действительные числа являются лишь частью ряда возможных чисел, включающих в себя вещественные, комплексные, кватернионы, гиперкомплексные, поличисла (коммутативно-ассоциативные гиперкомплексные числа), разнообразные многомерные и любые иные виды чисел. Здесь нас не должны интересовать алгебры этих чисел и их свойства. Единственное не обязательное условие – это конечная длина записи числа. То есть, запись числа в виде бесконечного ряда коэффициентов мы пока оставим без внимания, указав, что задача решается так же – предельным переходом.
Все мыслимые числа в общем виде можно записать, например, в следующем виде

где
α – любое вещественное число;
С – любой индекс, например, мнимая единица i.
Например, число может иметь вид a = 2,71828… –действительное число, или a = 3+2i – комплексное число, или a = 5+2i+3j+8k – кватернион. Правильно организованный способ подсчета этих чисел позволяет показать счетность всего их ряда. Вообще-то, такой результат является простым следствием принятого способа подсчета. На классический вопрос "сколько будет дважды два?" известен шутливый ответ: а сколько надо? По большому счету, всё сводится к спору о том, какой способ подсчета лучше или правильнее. Рассмотрим следующий способ записи всех действительных чисел: запишем после запятой все последовательные натуральные числа "задом наперед", а до запятой – в каждом ряду возрастающие натуральные числа на всём числовом диапазоне. Возникает, например, такой фрагмент последовательности действительных чисел:

Последовательность чисел в таблице будет содержать все без исключения числа. Собственно правило формирования чисел имеет простое аналитическое выражение, подобное (3) или (6). Возьмем два натуральных числа m и n, изменяющиеся от 0 до бесконечности. Запишем с их помощью некоторое число в виде

Здесь запись {0,m} означает число, меньшее единицы, дробной частью которого является натуральное число m. Фактически при табличной записи чисел n является номером строки в таблице, а m – номером колонки. Например, в ячейке (n=3; m=5) будет находиться число:

а в ячейке (n=10; m=2021) будет находиться число

Для составления таблицы начнем перебирать, подсчитывать все получившиеся числа. Строки чисел будут иметь вид:

Знаки плюс в таблице означают не суммирование, а используются как разделитель между числами. В связи с повторами, поскольку числа вида 0,1+0,10+0,100+0,1000 в использованном алгоритме считаются разными, общее количество чисел, видимо, окажется больше примерно на 10%. Конечно, мы можем повторяющиеся числа пропускать, не считать, но 10% погоды не делают. Если изобразить расположение чисел на графике, то график будет иметь вид пилы.
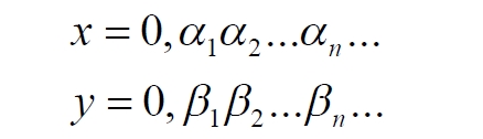
Для большей общности можно добавить еще одно условие: четные числа n будем делить на 2 и полученное число записывать согласно выбранному виду. Для следующего нечетного числа n запишем то же самое число, только со знаком минус. Очевидно, что в такой ряд легко включить и все вещественные и действительные, комплексные числа и даже кватернионы. Нумерация сформированных чисел соответствует нумерации членов любого числового ряда, то есть, каждое число из таблицы получит свой индивидуальный натуральный порядковый номер, будет пронумеровано при подсчёте. Каким бы ни было количество всех действительных чисел, наше движение по ряду не пропустит ни одного из них, и каждое из них получит свой индивидуальный натуральный номер. Таким образом, можно сделать вывод: континуум является счетным. Используя обратный метод индексации Кантора [3, с.77], мы можем корректно включить в этот континуум все мыслимые виды чисел. Как известно, метод Кантора формирует новое число из двух следующим образом:

У двух рациональных чисел x и y берутся цифры после запятой и поочередно вписываются после запятой третьего числа z. Мы проделаем обратную операцию, сформируем из одного числа несколько коэффициентов, например, для кватерниона. Возьмем из полученного ряда какое-либо число z и будем рассматривать его как составное, отбросив ноль и запятую:

Очевидно, что все составляющие число цифры гарантируют любую комбинацию, поскольку ряд чисел z бесконечен. Теперь составим из одноименных цифр новое число, кватернион:

Здесь в каждом коэффициенте показаны только четыре цифры, но, очевидно, их может быть любое количество. Также очевидно, что и самих коэффициентов может быть любое число: один коэффициент даёт действительное или вещественное число, два коэффициента дают комплексное число и так далее.
Понятно, что полученный ряд всех возможных чисел является счетным, каждое из исходных чисел имеет свой индивидуальный натуральный порядковый номер. Среди этих чисел обязательно окажутся и число е (2,71828…), и π (3,14159…), и константа пропорциональности С (0,76422…) Ландау – Рамануджана, и постоянная тонкой структуры . Счетность ряда обеспечивается использованием метода квадратов, предложенного математиком-филателистом из рассказа об отелях с бесконечным числом номеров [3, с.57] являющегося эквивалентом диагонального процесса Кантора:

Метод мы будем использовать в точности, как в рассказе, поэтому числа из приведенной выше таблицы расположатся друг за другом и получат соответствующие номера примерно в следующей последовательности:

Здесь знак плюс между числами также является простым разделителем, вместо пробела или запятой. Мы приводим только положительные числа, но, как отмечено выше, таблица содержит все вещественные, действительные и прочие числа. Порядок их подсчета соответствует правилу нумерации членов ряда, то есть, каждое число из таблицы получит свой индивидуальный порядковый номер, то есть, будет пронумеровано.
О равномощности отрезка и квадрата
К таким же ошибочным выкладкам следует отнести и известное доказательство Кантора равной мощности точек в прямом отрезке и квадрата со стороной, равной этому отрезку. На самом деле мощность множества точек квадрата на отрезке имеет более высокий порядок, чем мощность множества точек отрезка. То есть, больше в бесконечное, счетное число раз.
Есть наглядный и предельно простой способ показать это: нужно отрезок просто наложить на квадрат. Под отрезком окажутся все тождественные ему точки квадрата. Остальные точки квадрата образуют отдельное бесконечное множество точек, очевидно, большей мощности. Если же отрезок длиннее стороны квадрата, то, казалось бы, можно найти такой квадрат, который будет содержать меньше точек, чем эта линия:
"Разумеется, можно разломать прямую линию на отрезки, длина которых равна стороне квадрата, и после этого каждый отрезок поместить в квадрат так, чтобы они не пересекались друг с другом" [3, с.59].
Это верно, но ломать линию совсем не обязательно. В доказательстве Кантора длина линии равна стороне квадрата. Однако, может быть, разлом линии в цитате предложен для того, чтобы завуалировать, спрятать фактическое опровержение этого доказательства? Действительно, если наложить отрезок на квадрат, то их точки будут отождествлены, причем, вопреки Кантору, у квадрата точек окажется несопоставимо больше, чем у линии. Как бы то ни было, в цитате отчетливо просматривается мысль, что линия содержит меньше точек, чем квадрат. По аналогии с таким разбиением возникло и обратное предположение:
"Но вдруг и квадрат можно как-то разбить на части, а потом эти части положить на прямую, чтобы они не задевали друг друга?" [3, с.59].
Алгебраически с учетом равной метрики, как показано выше, это возможно: вытянуть квадрат в линию. Такой способ совмещения, алгебраический сразу же высвечивает противоречивость решения Кантора. К сожалению, автор цитаты не стал развивать эту идею дальше.
Для сравнения двух множеств точек следует попытаться установить однозначное соответствие между этими точками, то есть, показать, что точки обоих этих множеств можно объединить, скажем, в пары (a, b), такие, что каждый элемент, каждая точка a принадлежит линии, а каждый элемент, точка b – квадрату, причем каждый из элементов a и b попал только в одну пару [3, с.59].
Согласно Кантору два бесконечных множества – точки линии и квадрата – имеют одинаковое количество элементов, если между этими элементами можно установить указанное однозначное соответствие. В математике обычно говорят о мощности множества, подразумевая под нею количество его элементов. Следовательно, отрезок и квадрат, построенный на нем, по Кантору имеют одинаковую мощность. Для доказательства этого он использует следующий метод. В системе координат x0y простроен квадрат ABCD, причем точка A совпала с началом координат, а точка B лежит на оси x. Не всякий способ позволяет установить взаимное однозначное соответствие между точками квадрата и отрезка:
"Проектирование точек квадрата на отрезок АВ здесь не помогает, ведь при проектировании в одну точку отрезка перейдет бесконечное множество точек квадрата (например, в точку А – все точки отрезка DA)" [3, с.77].
Однако такое обоснование нас, разумеется, устроить не может, поскольку это решение верное, но оно все-таки отбрасывается. Координаты каждой точки квадрата можно представить в мнемоническом виде:

В этих записях каждый символ α, β представляет собой какую-либо цифру из 0…9. То есть, x и y – это просто два дробных числа, меньшие единицы. Здесь следует, кстати, выразить недоумение по поводу отождествления чисел вида 0,50000… и 0,499999....
"…например, 0,500000… и 0,49999999…– это одно и то же число. Для определенности будем пользоваться записью с нулями" [3, с.73].
В частности, вопрос: отождествляются только такие числа? А, например, числа 0,550000… и 0,549999… не отождествляются по такому же принципу? Это правило, собственно говоря, не выдумка. Например, его использует офисная программа MS Excel, правда, с противоположной "определенностью". Там любое целое число в одном из представлений так и записывается: с множеством девяток в конце. Но в нашем случае мы рассматриваем числа в их абсолютном смысле. Поэтому число 0,5000…1 и число 0,5, число 0,4999999… или даже 0,4999…9998 – это совершенно разные числа. Если же вводить указанное правило (округление), то следовало бы и здесь дать веские обоснования, почему такой участи избежали числа 0,549999… или 0,22229999..... Чем они кардинально отличаются? Если же правило распространить и на них, то сразу же образуется счетная бесконечность чисел, отброшенных в результате безосновательного округления.
Итак, после тривиального преобразования координат точки квадрата в мнемоническую запись, с ними производится манипуляция, которая также не имеет веско аргументированного, рационального смысла. Перетасовыванием знаков двух чисел формируется новое число:

Обратим внимание на следующее интересное замечание и на приведенный далее способ отождествления:
"для простоты мы не берем точки квадрата, лежащие на его сторонах, а берем лишь внутренние точки… Нам надо теперь найти точку Q отрезка АВ, соответствующего точке Т" [3, с.78].
Для "простоты" – это, прямо скажем, – лукавство. Этим упрощением отбрасывается неразрешимое противоречие совпадения линии и стороны квадрата.
Точка T – это точка в квадрате с указанными координатами x и y. Координата точки отрезка выбирается по принципу Q = z. Далее делается ожидаемый вывод: точке T квадрата поставлена в соответствие точка Q отрезка [0, 1]. Следовательно, всем различным точкам квадрата соответствуют разные точки отрезка и тем самым установлено взаимно однозначное соответствие между точками квадрата и точками отрезка. Из этого также делается вывод, что множество точек квадрата имеет такую же мощность (количество), что и множество точек отрезка (их количество).
Такие выводы противоречат не только здравому смыслу, но и логике, поскольку налицо подмена понятий. Сначала обратим внимание на то, что же отождествляется. А отождествляется координата точки отрезка и некоторое комбинационное число, которое вообще-то координатой не является. Действительно, координатой чего мы можем признать сборку – число z? Какое отношение эта комбинация знаков имеет к координатам x, y точки квадрата? Координаты – это два числа (так сказать, две штуки), а z – это одно число (одна штука). По существу, число z является для координат x, y своеобразным индексом. Иными словами, мы здесь отождествили не две точки, а точку и некий индекс. Но индекс чего? Квадрат – это плоская фигура, следовательно, каждая его часть изначально должна рассматриваться как такая же плоская фигура, фигура с площадью. И мы фактически отождествили не две точки, а точку и площадку, бесконечно малый квадрат. Размеры точек на линии и точек, площадок на квадрате разные, хотя и те и те бесконечно малы.
Конечно, для отождествления это не является противоречием. Мы можем, например, отождествить 10 яблок и 10 уток. Или 200 кресел в кинотеатре и 200 зрителей. Но при этом следует помнить, что равны не они сами по себе, а их количества. В доказательстве Кантора, вроде бы, так и говорится, что равны мощности, равны количества. Однако преподносится это так, что создается впечатление, будто эти сравниваемые множества равны не только по своим количествам, мощности, но и равны буквально – точка на линии тождественно равна точке на квадрате. При таком подходе можно отождествить любые бесконечности, просто отбросив их качество и оставив лишь безликое количество. Все зависит только от искусства отождествителя. Приведём простой пример.





