Правила счета элементов бесконечного множества

- -
- 100%
- +

Упрощаем выражение

Что и требовалось доказать.
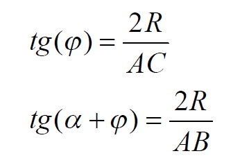
Согласно этой теореме, на рис.3 длина дуги окружности в пределах угла α равна 2αR, поскольку угловая величина дуги равна 2α. Длину линии проекции a в основании проекционного угла найдем как разницу сторон двух прямоугольных треугольников:

Отсюда находим величину а:

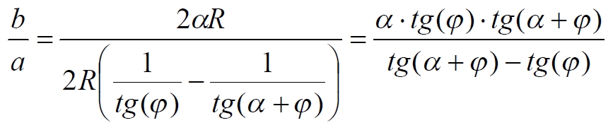
Как и выше, найдем отношение длины отсекаемой на окружности дуги к длине этого отрезка:

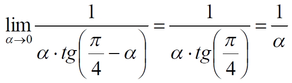
Найдем предел этой величины, когда каждый из углов стремится к нулю. В этом случае обе проекционные линии сблизятся до слияния, а их средняя линия будет стремиться к горизонтальному положению:

В общем случае мы получаем неопределенность, поскольку к нулю стремятся и числитель и знаменатель. Поэтому мы поступим следующим образом. Найдем эти пределы для нескольких конкретных значений среднего проекционного угла φ. В этом случае неопределенность не устраняется, но мы табличным методом построим соответствующие графики, которые визуально продемонстрируют наличие конечных пределов. Табличные значения сходятся удовлетворительно быстро, поэтому в пределах точности приложения Excel были получены следующие значения пределов для произвольно взятых значений угла φ:

Как видим, пределы существуют для любого значения проецирующей линии, угла проецирования. Поскольку вычисление предела функции неочевидно, приведём геометрический способ его вычисления для частного значения угла, рассмотренного на рис.3, значение которого определяется из геометрических соображений и равно 45о. Увеличим до бесконечности масштаб фрагмента рисунка в точке пересечения проецирующей прямой и окружности:

Рис.5. Увеличенный фрагмент рисунка 3
На рисунке угол φ =45о, а угол α→0. Как видим на рисунке, фрагмент проецируемой окружности выглядит вертикальной прямой, а две проецирующие прямые – параллельны. Следовательно, отрезки b – на окружности и параллельный проецирующей плоскости оказываются перпендикулярными и образуют равносторонний прямоугольный треугольник. Отсюда и следует значение предела lim = 0,5 в третьей строке таблицы пределов и в выражении (9). Очевидно, что геометрическое вычисление предела несложно сделать и для других углов проецирующего луча. Напротив, определить это значение аналитически, вычислением предела выражения:

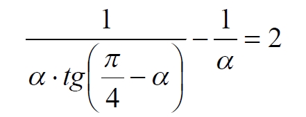
довольно сложно. Подставим значение угла φ

Как видим, под знаком предела находится разность двух бесконечно больших величин, причем это не просто равномощные бесконечности, они тождественны. Действительно, в пределе α→0 мы имеем:

Что и можно записать как тождество

Это довольно интересное обстоятельство: две бесконечности равны, однако, тем не менее, дают разность 2. В общем-то, это свойство не уникально. Его легко показать на другом примере: n +2 = n, если n→∞. Здесь также две равные бесконечности, но при вычитании одной из другой мы получаем конечное число. Значение предела (10) нам известно, он равен 2, то есть при α→0 мы имеем

Получается, что тангенс в знаменателе, меньший единицы на бесконечно малую величину, вносит в значение бесконечно большой величины весьма существенный вклад, увеличивая её ровно на 2. Прямое вычисление выражения (10) в приложении Excel при уменьшении угла α до величины 10–9 дало устойчивое стремление значения предела к 2 с погрешностью 10–8. Дальнейшее уменьшение угла не имеет смысла ввиду ограниченной точности вычисления функций приложением.
Таким образом, можно достаточно уверенно заявить, что стереографическое проецирование, преобразование фактически отождествляет точку и линию. И только единственная – вертикальная – проекция отождествляет точку на сфере с точкой на плоскости – это точка их касания. Верхняя точка, полюс проецируется фактически в линию бесконечной длины.
Здесь мы рассматривали проецирование круга. Очевидно, что точка сферы проецируется не в отрезок, а в плоскую фигуру. В этом случае явно напрашивается предположение о форме самого проецирующего луча, который теперь уже формально может и даже обязан иметь некое сечение: круглое, квадратное, в форме звезды и так далее.
Вместе с тем, вполне ожидаемо может возникнуть возражение: а почему, собственно, мы рассматривали две проецирующие линии? В традиционном варианте линия всегда одна, поэтому, казалось бы, проекцией каждой точки может быть только точка. Сразу же можно заметить, что это весомый довод в пользу формализма Кантора, который весьма схожим способом отождествил множество точек линии с множеством точек плоской фигуры – квадрата.
Ответ достаточно простой. Рассмотренный способ показывает, что любые две смежные бесконечно близкие точки окружности (сферы) на проекционной плоскости позволяют поместить между ними некоторое количество, вплоть до бесконечности, таких же точек. Если рассматривать дискретное пространство, вплоть до планковских размеров, то появление на проекции дополнительных элементов практически неразрешимая проблема. Единичный проекционный луч просто делает эту проблему незаметной.
С другой стороны, стремление к нулю угла между рассмотренными проецирующими лучами отождествляет их, превращает в одну линию, единый луч. И в этом случае возникает важный встречный вопрос: что же тогда означают вычисленные пределы? Какой математический, физический и даже философский смысл имеют эти величины? Ответ очевиден: это скрытное канторовское отождествление точки и линии, того, что не имеет частей, с тем, что может делиться на части.
Литература
1. Бесконечность, Википедия, URL: https://ru.wikipedia.org/wiki/Бесконечность
2. Виленкин А., Мир многих миров: Физики в поисках параллельных вселенных Алекс Виленкин, пер. с англ. А. Сергеева. – М.: ACT: Астрель : CORPUS, 2010. – 303, [1] с. – (ЭЛЕМЕНТЫ)
3. Виленкин Н.Я., В поисках бесконечности.– М.: Наука, 1983. 160 с.
4. Горелик Г.Е., Почему пространство трехмерно? М.: Наука, 1982, 168 с.
5. Крейг У., Самое начало. Происхождение Вселенной и существование Бога, URL: http://www.otkrovenie.de/beta/xml/other/samoeNachalo.xml
6. Линде А.Д., Инфляция, квантовая космология и антропный принцип. Перевод Карпова С., URL: https://arxiv.org/abs/hep-th/0211048
7. Новиков И. Д., Черные дыры и Вселенная. – М.: Мол. гвардия, 1985. – 190 с., ил.– (Эврика).
8. Парадокс Гильберта, URL: http://pikabu.ru/story/paradoks_gilberta_1962200 ,
http://www.yaplakal.com/forum3/topic782267.html
9. Парадокс Гильберта, URL: http://traditio-ru.org/wiki/Парадокс_Гильбертa
10. Парадокс Гильберта, Википедия, URL:
https://ru.wikipedia.org/wiki/Список_парадоксов
11. Путенихин П.В. Логика противоречий. – Саратов: "АМИРИТ", 2017. – 133 с., илл., URL:
https://www.elibrary.ru/item.asp?id=42733187
https://www.twirpx.org/file/3089642/
16.22.2017





