Причина СТО – инвариантность скорости света

- -
- 100%
- +

Вывод СТО из принципа постоянства скорости света
Все выводы СТО – преобразования Лоренца и релятивистские соотношения получены как корректные математические выводы. Поэтому СТО по своей сути является теорией математической, имеет все её признаки: методология вывода, исходные постулаты. Хотя в основу СТО Эйнштейн положил два постулата (принципа), можно сказать, что СТО фактически базируется на единственном постулате: о неизменности скорости света во всех ИСО – принципе постоянства (инвариантности) скорости света. Покажем это – выведем преобразования Лоренца и основные следствия из них, используя для этого только одно предположение: скорость света "c" всегда одна и та же, независимо от того, движется ИСО или покоится. Иначе можно сказать, что скорость любого фотона равна скорости света, где бы она ни была измерена: в движущейся или в покоящейся ИСО. Это самое общее определение принципа постоянства скорости света. Оно не включает в себя упоминаний об источнике этого фотона и о состоянии движения источника (или приёмника), являющихся излишними. Заявление о предельности скорости света также является производным от принципа постоянства скорости света, его следствием: если скорость света неизменна во всех ИСО, то она автоматически становится максимально возможной скоростью. Назовём этот принцип постоянства скорости света основой теории, а все полученные с его использованием выражения – следствием этого принципа (постулата), следствиями, выводами теории.
Для вывода рассмотрим платформу длиной L, которую пересекает фотон, испущенный неизвестным источником и/или просто пролетающий мимо. Как принято в СТО будем рассматривать две инерциальные системы отсчета – неподвижную К и подвижную К'. Фотон для наблюдателей на платформе пролетит через неё за время t0 = L/c. Сохраним систему обозначений, близкую к принятой в СТО:
L' – длина платформы в инерциальной системе отсчета K';
L – длина платформы в инерциальной системе K;
t' – интервал времени (время), за которое фотон пролетает через платформу и возвращается обратно в системе K';
t – интервал времени (время), за которое фотон пролетает через платформу и возвращается обратно в системе K.
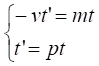
Наблюдатель в движущейся системе K' считает её покоящейся и вычисляет, что фотон преодолеет платформу за время (путь туда и обратно):

Напротив, внешний наблюдатель видит: свет в одном случае догоняет зеркало на противоположном конце платформы, а в другом летит навстречу мишени:

Рис.1 Полет фотона с точки зрения внешнего наблюдателя. Часы внешнего (неподвижного) наблюдателя покажут время t, а часы на платформе (подвижные) покажут время t'.
На рисунке видно, что для внешнего наблюдателя время движения фотона вдоль движущейся платформы туда и обратно составит:

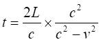
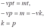
Преобразуем уравнение:

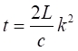
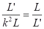
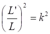
Выражение второй дроби выглядит как квадрат некоторой величины. Обозначим эту величину через k (очевидно, что эта величина больше единицы):

Мы получили показания двух часов: движущихся с платформой – t' и неподвижных, мимо которых движется платформа – t. Очевидно, эти показания различаются. Чтобы узнать, как изменилось "время в полёте" фотона через движущуюся платформу при рассмотрении его в разных ИСО, вычислим отношение этих показаний:

Отсюда после сокращений получаем:

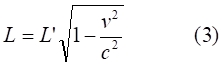
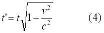
Время t' – это время (интервал времени) пролёта фотона через платформу для наблюдателя, находящегося на этой платформе, а L' – это длина платформы для этого наблюдателя. Очевидно, что наблюдатель ничего не заметил после разгона платформы, для него ничего не произошло, он, вообще говоря, мог и не знать, что платформа движется. Поэтому эти две величины – исходные, не сократившиеся, те, которые были известны до начала эксперимента. А что же за величины t и L? Наблюдателя, который видит движение платформы, мы считаем неподвижным. Следовательно, он видит платформу длиной L и время t, за которое фотон пролетел через платформу туда и обратно. Мы знаем, что на платформе часы стали идти медленнее, то есть время t', прошедшее на платформе, меньше времени, прошедшего в неподвижной системе отсчета t. Аналогично делаем вывод: в неподвижной системе длина платформы видится укороченной до величины L, против исходной длины L'. Однако, в соответствии с принятым постулатом о постоянстве скорости света, мы должны признать, что если путь для света изменился, то время в пути у фотона также изменилось. И изменилось оно в ту же сторону, что и длина платформы – уменьшилось, причём ровно во столько же, во сколько сократилась платформа, ведь эти три величины связаны формулой: t0 = L/с, то есть:

Подставляя (1) в (2), получаем:

Откуда после преобразований находим:

и, наконец:

Подставим значение величины k и преобразуем к привычному виду:

Таким образом, стержень, имеющий длину L' в той инерциальной системе, где он покоится, имеет длину 

Таким образом, движущиеся часы начинают отставать, ход их замедляется в отношении

Здесь наблюдательный читатель заметит "противоречие", известное как "парадокс штриха". Это надуманный, формальный парадокс, так сказать, парадокс буквы, но не духа. В нашем случае мы сами выбрали обозначения времён. Как обозначать так называемое "внутреннее время ИСО", является в достаточной мере произволом.
Из уравнений (3) и (4) явно следует предельность скорости света "с" – никакая ИСО не может двигаться со скоростью v > c, поскольку в этом случае подкоренное выражение становится отрицательным. Также в рассмотренной методике вывода приведённых уравнений просматривается принцип относительности: все выкладки мы могли вести, поменяв рассматриваемые ИСО местами, и получить точно такой же результат.
Выведем из провозглашенного выше постулата (принципа) остальные следствия рассматриваемой теории. Для этого нам необходимо показать явным образом две системы отсчета К и К':

Рис.2 В неподвижной инерциальной системе отсчета К часы имеют координату x, а в подвижной инерциальной системы отсчета К' по истечении времени t – координату x'.
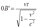
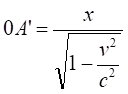
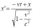
К инерциальной системе отсчета K привязаны координатные оси XYZ, а к подвижной системе K' – координатные оси X'Y'Z'. На рисунке оси Z и Z' не показаны. В начальный момент времени t=t'=0 начала координат неподвижной системы K и движущейся системы K' (положение I) совпадают. По прошествии времени t в неподвижной системе K подвижная система K' удалилась (положение II), и расстояние между началами координат двух систем отсчета стало vt. Произведём преобразование координат неподвижной системы K в координаты движущейся системы K'. Из рисунка видно, что координата часов с точки зрения системы K' равна:

,
где 0В' и 0А' – длины отрезков на оси 0X с точки зрения движущейся системы K' (с учетом их знаков, поскольку в системе K' часы движутся в отрицательном направлении). Очевидно, что длины этих отрезков с точки зрения подвижной системы K' укорочены по отношению к их реальным размерам в неподвижном состоянии в системе K. Следовательно, чтобы вычислить их длины в подвижной системе K', мы должны воспользоваться полученным выше соотношением (3) для отрезков:

соответственно, второй отрезок:

Подставляем эти величины в исходное уравнение и получаем:

Это уравнение показывает, какую координату в системе K' будут иметь неподвижные часы, имеющие координату x в неподвижной системе K через время t движения со скоростью v.
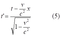
Рассмотрим, какое время будут показывать движущиеся часы. Нам известно, что при движении они отстают от неподвижных. Видимо, чем дольше и быстрее часы движутся, тем больше они отстают. Понятно, что при этом часы удаляются от неподвижных на какое-то расстояние. Интересно, на какое? Чтобы выяснить это, рассмотрим рисунок:

Рис.3 По истечении времени t движущиеся часы переместятся в точку с координатой x и будут показывать время t', которое будет меньше времени t в неподвижной системе отсчета К.
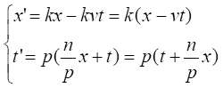
Движущаяся система K' переместилась из положения I в момент времени t = t' = 0 в положение II. Часы при этом показывают время t и t' соответственно, координата движущихся часов с точки зрения неподвижной системы K равна x. Преобразуем уравнение (4) следующим образом:

В последнем выражении составного равенства произведём очевидную замену vt = x:

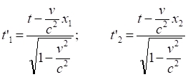
Таким образом, по прошествии времени t движущиеся со скоростью v часы удалятся на расстояние x и будут показывать время t', и мы получаем все классические уравнения преобразований Лоренца (два последних добавляем из очевидных соображений – движения только по оси X):

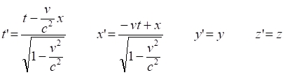
Последнее и самое загадочное из трёх известных основных следствий преобразований Лоренца – относительность одновременности выведем традиционным способом. Пусть на оси X в инерциальной системе K происходят два события в точках x1, x2 в один и тот же момент времени t. Отметим моменты совершения этих событий t'1, t'2 в системе K'. Согласно полученной формуле (5) находим:

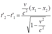
Мы видим, что t'1 не равно t'2, то есть, два события, одновременные относительно K, оказываются разновременными относительно K'. Это расхождение во времени тем больше, чем далее отстоят друг от друга с точки зрения системы K места, где они произошли:

Итак, получив уравнения, в точности совпадающие с уравнениями преобразований Лоренца в СТО, мы показали, что преобразования Лоренца и основные следствия из них можно вывести, используя единственное предположение: скорость света "c" всегда одна и та же, независимо от того, движется ИСО или покоится. Следовательно, это предположение, постулат является единственным необходимым и достаточным условием для появления преобразований Лоренца и всех следствий из них. Поэтому есть достаточные основания считать, что математика кинематического раздела СТО является элементарной математической задачей для школьников старших классов вида "Из пункта А в пункт Б выехал поезд…".
Вывод СТО из принципа относительности
Выше было показано, что для вывода всех лоренц-следствий СТО достаточно одного (второго) постулата – о постоянстве скорости света. Но существует и противоположный подход: для получения этих же следствий достаточно другого (первого) постулата – принципа относительности (равноправия всех ИСО). Причём утверждается, что принцип постоянства скорости света вообще является излишним. Однако, в процессе вывода СТО из принципа относительности неизбежно появляется параметр, который играет в уравнениях Лоренца ту же роль, что и скорость света. То есть, принципы постоянства скорости света и относительности являются всё-таки взаимосвязанными.
Покажем это, воспользовавшись в немалой степени методикой С.Степанова [1]. Запишем результирующие уравнения преобразований времени и координаты между двумя инерциальными системами отсчета в следующем виде:

Задачу будем рассматривать как чисто математическую, идеализированную. Поэтому примем, что эти преобразования координат и времени являются линейными функциями:

Коэффициенты k, m, n, p являются функциями, зависящими от относительной скорости систем отсчёта v.
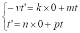
Будем считать, что в начальный момент времени t=t'=0 начала координат систем совпадают x=x'=0. Координата начала подвижной системы отсчета описывается уравнением x=vt. Подставляем x'=0 и x=vt в первое уравнение и получаем:

откуда находим:

Теперь подставляем x=0 и x'=vt в оба уравнения и получаем:

после упрощения:

и затем после подстановки из второго уравнения в первое и учетом (8) получаем:

Вставляем полученные соотношения в исходные уравнения (7):

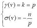
Введём обозначения (подстановки):

Введённые параметры (подстановки) являются функциями скорости, но в дальнейшем для краткости мы будем записывать их без признака функциональности – без скобок с аргументом v. С учетом этих упрощений преобразования между системами отсчёта принимают окончательный вид:

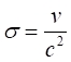
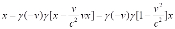
Для определения введённых параметров γ и σ, исходя из принципа относительности (первый постулат СТО) – равноправия всех инерциальных систем отсчета, рассмотрим три такие произвольные ИСО – K1, K2 и K3.
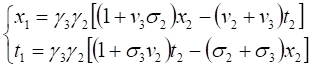
Установим, что система K2 движется относительно K1 со скоростью v1, система K3 – относительно K2 со скоростью v2 и система K1 – относительно K3 со скоростью v3=-(v1+ v2):

Рис.4 Три системы отсчета, движущиеся друг относительно друга.
Пометим координату x и время t цифровыми индексами, соответствующими номерам систем, к которым они относятся, и запишем преобразования для каждой из них:

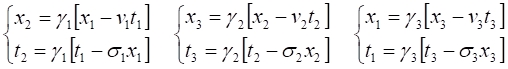
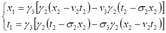
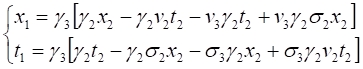
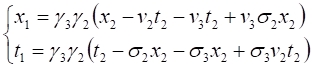
Подставим x3 и t3 из второй системы уравнений в третью:

Раскроем круглые скобки:

Вынесем за скобки общие множители:

и сгруппируем общие члены:

Полученные уравнения должны иметь (и имеют) такой же вид, что и уравнения системы (9). Это значит, что, как и в системе уравнений (9) в этой системе коэффициенты при первых слагаемых в уравнениях – один и тот же коэффициент:

После сокращения и элементарных преобразований получаем:

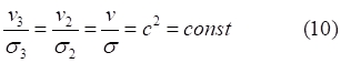
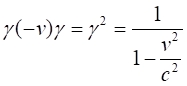
Из этого равенства следует, что следующие отношения имеют одно и то же значение для всех систем отсчёта, независимо от скорости их движения:

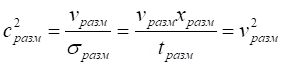
Это отношение мы обозначили квадратом величины (константы) "c" – по первой букве слова "const". Поясним, почему необходимо приравнять отношения именно квадрату. Из второго уравнения системы (9) следует, что все полученные отношения имеют размерность квадрата скорости. Чтобы убедиться в этом, анализируем размерности величин (индекс "разм" означает, что рассматривается не значение, а размерность величин):

Очевидно, что в скобках стоят величины с размерностью времени. Отсюда следует, что квадрат размерности константы "c" равен квадрату размерности скорости, а сама величина "с" имеет, соответственно, размерность скорости:

Это и означает, что все отношения (10) равны квадрату некоторой величины "с".
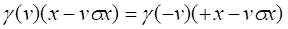
Уравнения (9) должны быть справедливы и для обратного преобразования, когда системы отсчёта "меняются местами". Относительная скорость при этом меняет свой знак:

Подставим в это уравнение значения штрихованных величин из исходной системы (9):

и окончательно:

Из соотношений (10) находим:

Подставляем это значение в (11) и получаем:

В результате преобразований получаем:

Функция γ(v) является четной. Это видно из следующих соображений. Если мы развернём оси двух систем отсчёта на 180о, то скорость также изменит свой знак. Это равнозначно тому, как если бы мы смотрели на эти системы через зеркало (зеркало заднего вида автомобиля): направления осей и движения развернутся. Следовательно, первое уравнение системы (9) будет иметь вид:

Сравнивая эти уравнение, получаем:

Раскрываем скобки:

и получаем признак четности функции:

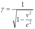
Подставляем полученное значение (13) в (12) и находим:

Теперь находим значение функции гамма:

и подставляем его в уравнения (9):

Имея два этих уравнения, можно легко вывести все остальные следствия преобразований Лоренца, как это было показано в предыдущем разделе.
Анализ принципов СТО
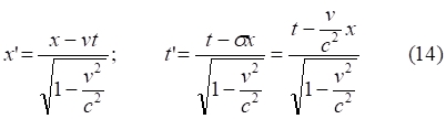
Итак, мы вывели явный вид уравнений (6) преобразования между двумя инерциальными системами отсчёта и получили уравнения Лоренца (14), в которые мы были вынуждены ввести некую константу с, значение которой нам, строго говоря, неизвестно. Дотошный читатель, наверное, уже давно держит в голове мысль: когда же, наконец, и каким образом автор статьи объявит эту константу скоростью света. По мнению ряда авторов, вопрос этот не простой. Например, С.Степанов считает (у него эта константа α является обратной величиной к нашей константе – с), что "функциональная форма преобразования между наблюдателями двух инерциальных систем отсчёта полностью определяется с точностью до константы α. Выяснение её значения и знака – это уже вопрос экспериментальный. Фундаментальная константа α могла оказаться и нулевой, однако в нашем Мире она больше нуля" [2].
На сайте библиотеки Физического факультета СПбГУ С.Н.Манида (у него величина g также является обратной величиной к нашей константе с): "вводит некоторую постоянную величину, размерность которой – обратный квадрат скорости. Эта величина одинакова во всех системах отсчета, и ее численное значение не может быть выведено из каких-либо общих принципов. Экспериментальное значение этой величины g=c-2 , где c – скорость света в вакууме" [1].
"мы вывели соотношения из принципа относительности и получили следствием постоянство скорости c во всех инерциальных системах отсчета. Важно отметить принципиальное отличие данного подхода к выводу преобразований Лоренца от общепринятого. Постоянство скорости света во всех инерциальных системах отсчета – это экспериментальный факт, установленный с определенной степенью точности. Приведенный выше вывод не опирается на этот факт, из него следует только существование скорости, одинаковой во всех инерциальных системах отсчета" [1].





