Радиус наблюдаемой Вселенной и горизонт Вселенной

- -
- 100%
- +

Одним из основных результатов астрономических наблюдений являются красное смещение и яркость различных объектов во Вселенной. По этим данным определяют расстояние до наблюдаемого объекта и скорость его удаления. В отношении этих наблюдений в литературе часто упоминается обстоятельство, которое обычно формулируется как "взгляд в прошлое". Если некоторая галактика, сверхновая находится на большом удалении, свет от неё движется до Земли какое-то достаточно большое время. В момент получения наблюдателем этого света галактика находится уже на другом, большем удалении, чем в момент вспышки. Возникает закономерный вопрос: что следует принять за "удалённость галактики"?
Очевидны три варианта. Первый вариант – удалённость сверхновой в момент вспышки. Эту удалённость и следует считать действительной, наблюдаемой её удалённостью, хотя и определённую с задержкой во времени. Вариант второй – удалённость галактики в момент получения света на Земле, то есть, удалённость после увеличения расстояния между сверхновой и Землёй. Наконец, третий вариант, это видимая, кажущаяся удалённость до точки вспышки в момент получения от неё света. Это весьма интересный вариант, поскольку он учитывает реальную скорость света, связанную с непрерывным расширением пространства. Пусть в момент получения света от сверхновой её реальная физическая удалённость возросла, например, в 2 раза по сравнению с исходной, в момент вспышки. Яркость этой вспышки будет видна на Земле такой, будто сверхновая находится немного ближе, чем эта реальная удалённость.
Самой большой удалённостью является вторая, поскольку за время света в пути пространство между звездой и Землёй все время возрастало. Третья удалённость учитывает время света в пути буквально, поэтому несколько условна, хотя и принимается, что видимая яркость галактики в точности соответствует её удалённости.
В пользу первого варианта удалённости сверхновой свидетельствует то, что фотоны, несущие информацию о ней, своеобразная фотография, удаляются от галактики сразу же после взрыва и становятся полностью независимыми от неё. Если, например, вспышка имеет синий цвет, а после неё, через какое-то время галактика становится красной или вообще гаснет, то на Земле будет получена именно "синяя" фотография. Именно этот поток фотонов и будет нести информацию об удалённости и скорости удаления галактики в момент вспышки. Это самая последняя информация о галактике на текущий момент времени, что особенно отчётливо видно, если галактика находится на горизонте видимости. В этом случае никакая новая информация о галактике после вспышки более не будет доступна.
Вместе с тем яркость вспышки непосредственно не является показателем удалённости галактики в момент её регистрации. Это связано с тем, что в процессе движения фотоны проходят путь меньший, чем окончательная дистанция между звездой и Землёй, в момент их регистрации. Собственно говоря, это довольно очевидно, поскольку в процессе их движения пространство непрерывно возрастает как между потоком фотонов и Землёй, так и между потоком и звездой. В результате и возникает это весьма интересное явление: фактический путь, пройденный фотоном от места вспышки до Земли, будет меньше, чем удалённость галактики от Земли в момент его регистрации. Яркость вспышки сверхновой определяется дистанцией, которую фотоны прошли реально. Эта дистанция, путь является фактически наблюдаемой удалённостью, поэтому на самом деле яркость вспышки с Земли будет видна несколько большей, чем она была бы в случае стационарной Вселенной.
Движение по вытягивающейся трассе
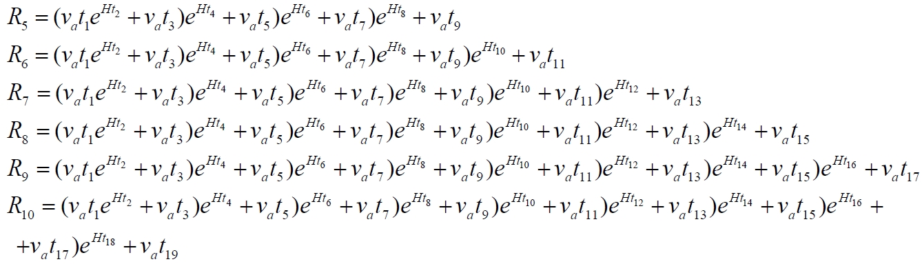
Рассмотрим это явление подробнее. Для наглядности и упрощения вычислений вместо сверхновой и расширяющегося пространства Вселенной рассмотрим автомобиль, движущийся по непрерывно вытягивающейся трассе (рис.10.1). Пусть авто движется со скоростью vа по резиновой дорожке, которая растягивается, увеличиваясь за каждый фиксированный интервал времени Δt = t в еHt раз, где H – некоторая постоянная. В начальный момент времени авто находится на удалении S0 от конечной точки, от финиша. Условно принимаем, что движение авто и расширение дорожки происходят поочерёдно. Находим, что за первый интервал времени авто переместится от начальной точки на расстояние

Пусть авто движется со скоростью vа по резиновой дорожке, которая растягивается, увеличиваясь за каждый фиксированный интервал времени Δt = t в еHt раз, где H – некоторая постоянная. В начальный момент времени авто находится на удалении S0 от конечной точки, от финиша.

Рис.10.1
Условно принимаем, что движение авто и расширение дорожки происходят поочерёдно. Находим, что за первый интервал времени авто переместится от начальной точки на расстояние

После этого отрезок R0, путь, пройденный по дорожке, испытывает указанное расширение. Таким образом, за следующие два интервала времени удалённость авто от начальной точки увеличивается до нового значения

За четвёртый и пятый интервалы времени расстояние позади авто вновь возрастает, теперь уже до величины

Далее этот новый формально пройденный интервал R3, длина дорожки "позади" за следующую пару интервалов времени возросла до следующего нового значения

Здесь и в дальнейшем открывающие скобки в левой части уравнения мы не будем дублировать, чтобы не перегружать уравнение, просто помним, что число крайних левых скобок равно числу правых скобок.

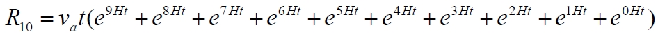
Для удобства, наглядности ограничимся на этом этапе десятью слагаемыми. Теперь для ещё большей наглядности уравнения последовательно раскроем скобки:

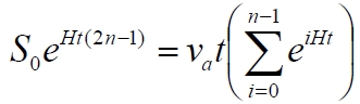
Число слагаемых, как мы и рассчитывали, равно 10, но число интервалов времени больше – 19. Понятно, что общее время движения T равно сумме всех интервалов Δt = t, поэтому можно записать T = (2n-1)t. Здесь мы учитываем, что все интервалы времени равны. Выносим общий множитель за скобки, а последнее слагаемое преобразуем в однотипную форму, добавив ему эквивалентный множитель, равный единице:

Для лучей видимости закономерности меняем последовательность слагаемых на противоположную:

Закономерность очевидна, поэтому можем записать уравнение в общем виде для любого количества интервалов времени и числа слагаемых:

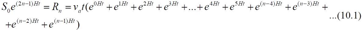
Рассмотрим особый случай: авто достигает конечной точки, финиша. Это значит, что рассматриваемое уравнение, сумма ряда будет равна увеличившейся по указанному закону исходной дистанции, растягивающейся трассы. Поскольку начальная удалённость финиша была S0, то через время T она увеличится до значения:

Рассматриваемое условие запишем в виде:

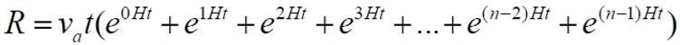
Перепишем правое равенство немного короче, в одну строку:

Для графических построений удобнее немного иная форма записи правой части уравнения, в виде, напоминающем исходное уравнение со множеством скобок. Для краткости оставим справа только слагаемые в скобках:

Теперь выделим последовательно множители в правой части

Замечаем закономерность и записываем окончательно:

С множителем vat внутри скобок это уравнение имеет вид:

Для исключения ошибок, для проверки точности уравнения выполняем обратное действие, раскрываем скобки:

То же самое для уравнения с множителем vat внутри скобок:

Видим, что последовательности явно ведут к верному результату. Однако для большей уверенности рассмотрим, как и выше, вариант с числом слагаемых n = 10:

Вновь, заметив закономерность, записываем для n=10:

Проверяем ряд, как и ранее, раскрывая скобки:

Сравниваем этот прямо и обратно преобразованный ряд с исходным рядом слагаемых (10.2):

Видим, что эти ряды для n = 10 совпали, поэтому переписываем правую часть уравнения (10.2) в общем виде:

Или в полном виде:

Здесь число слагаемых (с учётом единичного слагаемого) равно 10. Для произвольного числа слагаемых уравнение (10.1) закономерно можно записать в следующем виде:

То же самое с множителем, внесённым в скобки:

Мы рассматривали движение авто на вытягивающейся дорожке. Однако все приведённые рассуждения полностью соответствуют и движению фотона от некоторой сверхновой к Земле в расширяющемся пространстве Вселенной. Поэтому в итоговых уравнениях мы можем просто заменить скорость авто скоростью света:

Уравнение (10.3) показывает действительную величину удалённости фотонов от сверхновой, равенство (10.4) отражает равенство этой удалённости и конечной удалённости Земли от сверхновой. Это условие мы заложили в постановке задачи. Но из них следует и провозглашённый в задаче вывод. Всё движение, и авто и фотонов, происходило в течение времени T, что соответствует, в свою очередь, длине пройденного пути с точки зрения движущегося объекта – авто или фотонов. Действительно, на спидометре авто за это время при заданной скорости будет показан вполне определённый пройденный им путь:

Соответственно, и по условному "спидометру" фотонов или с точки зрения некоторого не менее условного внешнего наблюдателя в их системе отсчёта, фотоны пройдут путь:

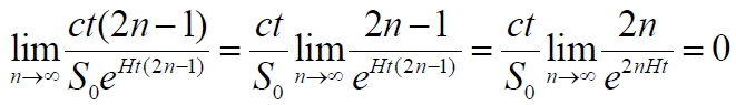
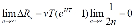
Это и есть наблюдаемая удалённость сверхновой. Из этого уравнения следуют два вывода. С увеличением времени движения отношение наблюдаемой удалённости сверхновой к её действительной удалённости на момент измерения стремится к нулю:

Наблюдаемая удалённость сверхновой численно равна времени от её взрыва до момента её наблюдения (при с = 1).
Анализ погрешностей алгоритма
Приведённый алгоритм является пошаговым, точность вычислений которого, очевидно, зависит от дискретности этих шагов. Чем меньше интервал времени шага, тем, видимо, точнее результат вычислений. Кроме того, рассмотренное вычисление пути возможно в двух вариантах первого шага, что, возможно, также влияет на итог вычисления, и, фактически, на его точность. Рассмотрим эти два варианта для оценки их точности.
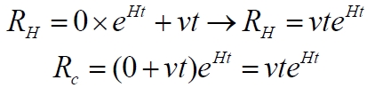
Пусть, как и выше, скорость авто равна va, а общее время в пути ограничим временем T = 2 = 2t. Также примем удлинение "резиновой" трассы по экспоненте – увеличение в eHt раз за каждую единицу времени.
Вариант 1. От начальной дистанции r0 за время t = 1 сначала прошёл свой путь авто. И только после этого за следующий интервал времени t = 1 этот путь экспоненциально удлинился:

Вариант 2. За первый интервал времени t = 1 сначала экспоненциально удлинилась исходная дистанция, и только затем свой путь прошёл авто за оставшееся время t = 1:

В первом варианте авто прошёл большее расстояние:

Теперь рассмотрим следующие два интервала времени, то есть, увеличим общее время в пути до T = 4. Начальным, исходным путём на этих дополнительных интервалах являются, соответственно, Rc и RH.

Преобразуем, раскрывая скобки и сокращая:

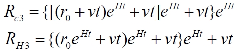
Здесь уже просматривается закономерность. Проверим ещё один этап движения, третий с общим временем, увеличенным до T = 6. В роли r0 теперь выступают Rc2 и RH2.

Вновь вычисляем разницу:

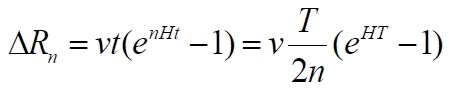
Теперь закономерность видна явно. Очевидно, что для общего времени движения T = 2nt, то есть, через n-пар интервалов времени разница будет:

При уменьшении длительности интервалов, то есть, при увеличении их числа, разница стремится к величине:

При фиксированном значении времени T пределом является ноль, то есть, варианты эквивалентны:

Заметим, что это можно обнаружить изначально. В случае r0 = 0, то есть, если движение начинается из начала координат, второй вариант сразу же переходит в первый:

Следует признать, что алгоритм вычислений несколько условный, приближённый, поскольку подразумевает всё-таки поочерёдное удлинение пройденного интервала и прироста интервала за счёт движения авто. Вместе с тем, оба уравнения при большом значении числа интервалов n и при некотором фиксированном значении общего времени T движения дают одинаковый результат. Последовательность приростов дистанции не влияет на результат, что следует рассматривать как корректность алгоритма вычислений и его приемлемую точность.
Радиус наблюдаемой Вселенной
В литературе зачастую приводятся довольно спорные определения радиуса наблюдаемой Вселенной. Предлагаем такой вариант: радиусом наблюдаемой Вселенной следует считать расстояние на момент начала расширения пространства, расстояние до самой дальней галактики, которую мы в принципе можем наблюдать (или наблюдаем) сегодня. Ключевые условия – начало и сегодня. Это означает, что в каждую эпоху этот радиус различный, а сверхдальние галактики, которые мы сегодня пока наблюдать не можем, в более позднее время всё-таки станут для нас видимыми. Принципиальное отличие нашего определения от традиционного (горизонт частиц), как видим, состоит в том, что это исходная удалённость объекта, а не та, на которой он находится в наши дни. Здесь важным является то, что называть наблюдаемой нынешнюю удалённость этого самого удалённого объекта неверно: как он выглядит сегодня, нам не только неизвестно, но и в общем случае не может быть определено никогда.
Для того чтобы вычислить величину радиуса наблюдаемой Вселенной, сформулируем задачу в следующем виде: какой должна быть удалённость сверхновой, чтобы за время существования Вселенной свет от неё достиг Земли. Найти исходную удалённость самой дальней сверхновой, которая может быть видна в наши дни, мы сможем, используя выведенное уравнение (10.4). Для этого сначала вычисляем путь, пройденный светом за время существования Вселенной, затем по этому времени определяем и исходную удалённость сверхновой.
На следующей диаграмме, в системе отсчёта сверхновой показаны графики движения, удаления Земли от галактики, скорость её удаления и графики реального движения фотонов (красная линия) и видимого с Земли света (красная штриховая линия) – рис.10.2.
График движения света от начала расширения пространства, света, испущенный сверхновой показан на рисунке красной линией R_exp. Экспоненциальная форма графика движения фотонов вызвана тем, что к скорости фотона постоянно добавляется скорость "носителя света" – расширяющегося пространства.
Как видим, на момент получения света на Земле галактика будет находиться от неё на удалении в 24 млрд. световых лет. Начальную удалённость галактики от Земли, при которой в процессе расширения пространства она удалится на это же расстояние, определим обратным вычислением по уравнению движения, показанного синим графиком R. Находим, что это 8,85 млрд. световых лет. Галактика, находившаяся в начале расширения пространства именно на этом удалении от Земли, удалится от неё на 24 млрд. световых лет, на такое же расстояние, на какое фотоны вспышки удалились от неё.

Рис.10.2
Понятно, что это самая дальняя галактика на момент начала расширения пространства, свет от которой смог достичь Земли за 14 млрд. лет (время отмечено вертикальной штриховой линией T14). Это так, поскольку мы рассмотрели именно самое большое расстояние, какое смог пройти свет за это время. При этом видна галактика будет так, будто она находится не на расстоянии 8,85 или 24, а на расстоянии 14 млрд. световых лет (кратко – Гсл – Гига-световых лет). Об этом свидетельствует тонкая красная штриховая линия Rco – график кажущегося движения света, то есть, без учёта космологического расширения пространства, согласно (10.3). Это означает, что время движения света определяется не по теоретической (8,85 Гсл) или конечной (24 Гсл), а по наблюдаемой удалённости его источника, определяемой в свою очередь по его яркости.
Графики на диаграмме создают впечатление, будто фотоны прошли более длинный путь R_exp, поскольку график его движения, красная линия R_exp завершена в точке с удалённостью в 24 млрд. световых лет, а штриховая Rco – учитываемая, наблюдаемая удалённость источника фотонов – в точке 14 млрд. световых лет. Однако выше мы вывели уравнение движения фотонов вспышки и пришли к выводу, что реально фотоны прошли всё-таки меньший путь (здесь – 14), чем конечная удалённость (24) сверхновой от Земли. На самом деле в этом нет противоречия, поскольку меньший путь, который мы вычислили, и есть путь Rco, показанный штриховой линией. Красная линия R_exp является реальным графиком движения фотонов со сверхсветовой скоростью, указывающим их удалённость во времени от точки взрыва сверхновой. В наши дни график завершается в точке наблюдения на Земле, в 24 млрд. световых лет. Однако за это же время в 14 млрд. лет по собственным часам фотонов, они прошли путь, изображённый штриховой линией Rco – это фактически пройденный фотонами путь – 14 млрд. световых лет. Иначе говоря, для фотонов вся трасса как бы делится на две части: одна впереди, перед ними, а другая – позади них. Первую трассу, впереди фотоны проходили уже после того, как она испытала экспоненциальное удлинение. Вторая часть трассы, позади них расширялась уже после того, как фотоны ушли вперёд. Поэтому общая длина трассы R_exp оказывается больше пути фотонов Rco на величину удлинения за время движения после того, как фотоны сместились вперёд. Буквально это означает, что фотоны удалились на 24 млрд. световых лет, пройдя при этом путь только в 14 млрд. световых лет. Можно интерпретировать это и так, будто сферический фронт света не просто расширяется в пространстве, а ещё и переносится вперёд, перемещается "в замороженном виде" к наблюдателю.

Рис.10.3
Пересечение синей линии R, графика удаления Земли от сверхновой, с красной R_exp, графика удаления фотонов от сверхновой, означает, что Земля и фотоны находятся на одном и том же удалении от сверхновой, в одной и той же точке пространства, то есть, фотоны достигли наблюдателей на Земле.
Жёлтая линия v – это скорость Земли относительно сверхновой: видно, что эта скорость удаления в наши дни уже превысила 1,7 скоростей света (график показан в масштабе с 10-кратным увеличением).
Если сверхновая находится в начальный момент времени t = 0 на большем удалении, чем 8,85 млрд. световых лет, но меньшем, чем горизонт видимости Вселенной, то с Земли она будет видна только в будущем, в более позднее время. Например, свет от галактики, находившейся на удалении около 9 млрд. световых лет, Земли пока не достиг. На рисунке видно, что линии удалённости галактики (синяя) и светового потока от взрыва сверхновой (красная) явно пересекутся, но не в наши дни – 14 млрд. лет, а позднее.

Рис.10.4
Отметим, что расстояние R_exp между фотонами вспышки и наблюдателем на Земле R постоянно уменьшается. Если в начальный момент расстояние между звездой, фотонами её вспышки и Землёй было 9 млрд. световых лет, то через 5 млрд. лет оно уменьшилось до ~ 6,8 млрд. световых лет, а через 10 млрд. лет – до ~ 4 млрд. световых лет.

Рис.10.5
Если же в момент вспышки сверхновая находилась на меньшем удалении, чем 8,85 млрд. световых лет, то есть, ближе радиуса наблюдаемой Вселенной, то свет от неё уже был получен в прошлом. Например, на рисунке 10.5 показана звезда, которая в начальный момент находилась от Земли на удалении в 1 млрд. световых лет. Наблюдателем на Земле получен свет от вспышки этой сверхновой, произошедшей 4 млрд. лет назад. Также в прошлом был получен и свет от вспышки, примерно 2 млрд. лет назад.





