Уравнения движения в расширяющейся Вселенной

- -
- 100%
- +

1. Закон Хаббла в формализме ОТО
В предыдущих разделах мы использовали уравнения движения сверхновых и других объектов в расширяющейся Вселенной, из которых выводятся уравнения закона Хаббла. Уравнениями движения мы называем зависимость удалённости некоторого объекта от наблюдателя и его скорость в расширяющейся Вселенной.
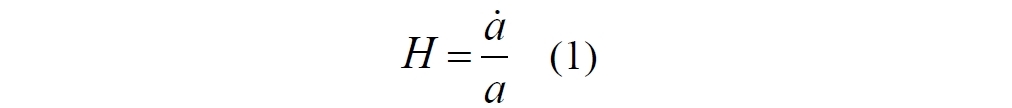
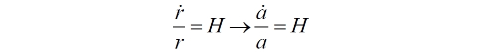
Можно сказать, что закон Хаббла и эти уравнения взаимосвязаны, то есть, буквально выводятся друг из друга. Изначально закон Хаббла выводится в общей теории относительности из базового уравнения для масштабного фактора и параметра Хаббла:

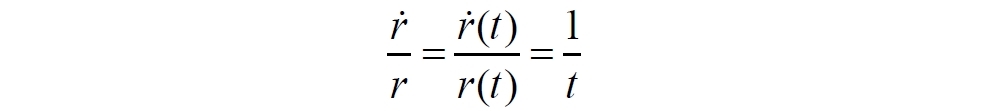
Сначала принимаем, что параметр Хаббла является константой, которая ранее так и называлась – постоянная Хаббла. Известно соотношение между современным значением постоянной Хаббла H0 и возрастом нашей Вселенной T14:

Считается, что гипотеза о Большом Взрыве возникла после того, как было обнаружено расширение Вселенной. Обратив этот процесс в обратном направлении времени, учёные обнаружили, что примерно 13,7 млрд. лет назад все объекты Вселенной находились в одной точке. Однако это не совсем верно. Закон Хаббла, который выводится из приведённого выше уравнения ОТО, приводит к несколько иным выводам. Действительно, приведём это уравнение к виду обычного дифференциального уравнения:

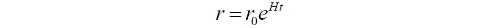
Для H = const это уравнение имеет простое решение, которое можно назвать стандартным законом Хаббла общей теории относительности для расширения пространства-времени и которое имеет следующий вид

Величина постоянного множителя a0 определяется по значению масштабного фактора в начальный момент времени t = 0:

Для проверки подставим в исходное уравнение найденный масштабный фактор и его производную:

Всё верно. Далее из уравнения для масштабного фактора дифференцированием по времени можно вывести версию стандартного закона Хаббла с масштабными факторами:

Строго говоря, масштабный фактор является довольно абстрактной величиной, размерность которой явно не просматривается, хотя производный от него параметр Хаббла определённо имеет размерность, обратную времени. Считая для определённости масштабный фактор безразмерным, придадим уравнению (2) принудительно вид современного закона Хаббла, с помощью дополнительного множителя χ, которому присвоим значение, например, 1 метр. Смысл этой манипуляции достаточно прост. Абстрактный масштабный фактор имеет смысл отношения пространственных интервалов в разные эпохи к некоторому исходному интервалу. Иными словами, этот параметр – масштабный фактор – относится ко всей Вселенной целиком. Поскольку сопоставляемые интервалы явно не обозначены, то об их размерности говорить вряд ли уместно. Но эти отношения абстрактных "масштабных интервалов" можно перевести в реальные физические отрезки, имеющие реальную размерность – метры, километры, например, используя переводной множитель – χ.
Подставив в уравнение (2) этот множитель, мы получаем уравнение движения с реальными метрическими дистанциями:

В этом варианте константа r0 также определена из начальных условий для t = 0. Из него теперь уже мы выводим стандартный закон Хаббла для реальных физических скоростей между объектами в расширяющейся Вселенной:

В этих уравнениях мы фактически задали, постулировали, что масштабный фактор – это количество единичных интервалов, пропорциональное масштабному фактору, то есть метрическое расстояние между объектами в некоторый момент времени, в зависимости от начального. Как видим, в начальный момент времени оно определённо не равно нулю и не может быть равным нулю в принципе, поскольку тогда никакого последующего удаления быть не может. Это не совсем соответствует гипотезе о Большом Взрыве из бесконечно малой точки. То есть, в начальный момент времени, в момент начала хаббловского расширения Вселенная, вообще говоря, уже имела бесконечно большие размеры.
Таким образом, мы можем записать окончательно три уравнения: два уравнения движения для объекта, удаляющегося от наблюдателя в расширяющейся Вселенной: для удалённости и для скорости удаления, и закон Хаббла:

где:
H = H0 – параметр Хаббла, равный современному значению;
r0 – расстояние в момент начала расширения до объекта, удаляющегося от наблюдателя, либо расстояние между точкой пространства, где в будущем появится наблюдатель, Земля, и точкой пространства, где в будущем появится удаляющийся объекта – некоторая звезда, сверхновая.
Заметим, что решение уравнения (1) мы получили, исходя из неизменного, постоянного значения параметра H. Из этого же условия можно получить решение и в более общем, но несколько завуалированном виде для переменного значения параметра.
Для этого мы подменим величину Ht в экспоненте другой, интегральной величиной:

Правильность уравнения контролируем по размерности величин: слева и справа – они тождественно безразмерные. Величина t1 слева обязательно равна верхнему пределу интегрирования. Смысл интеграла состоит в том, что на каждом интервале времени dt новое расширение испытывает пространство, уже расширившееся на предыдущих этапах.
Математически здесь произведение Ht, как и раньше, является константой для наблюдаемого (!) момента (интервала) времени – t1. Величина этой безразмерной константы определяется, по существу, интегральным значением реального параметра Хаббла, изменяющегося на интервале времени от начального t0 до конечного t1. В частности, для всего времени существования Вселенной, то есть, принимая t0 = 0, t14 = 14, и современного постоянного значения параметра H0 = 1/t14, мы получим:

Подставляем в уравнение (3) и находим, что удалённость всех галактик во Вселенной за время её существования возросла примерно в 3 раза:

Это уравнение относится к любой единичной галактике во Вселенной. Например, галактика, находившаяся в начале расширения на удалении ~ 14 млрд. световых лет от Земли, сегодня находится на удалении ~ 42 млрд. световых лет.
Есть и ещё один подход к записи уравнения движения (4) (в терминах масштабного фактора):

В этом случае параметр H(x) не является чётко выраженной функцией времени, а значение интеграла после его вычисления просто обозначается, именуется в дальнейшем как функция H(t). Вид функции H(t) отличается от вида функции H(x), именовать которую параметром Хаббла вряд ли уместно.
В космологии вместо реальных, физических скорости и удалённости используются соответствующие наблюдательные параметры – яркость удаленной галактики и её красное смещение. Яркость является математически тождественной величиной для удалённости. Определяя яркость стандартной свечи – сверхновой типа Ia, получают точное значение её удалённости. Чем ярче звезда, тем она ближе к нам. Второй параметр – красное смещение в точности соответствует скорости, с какой галактика удаляется от нас: чем больше смещение, тем выше скорость удаления. Иначе говоря, фактически в законе Хаббла присутствуют не скорости и расстояния, а красные смещения и яркости. Главным основанием для утверждений об ускоренном расширении Вселенной как раз и стал тот факт, что яркость дальних сверхновых типа Ia оказалась ниже, чем это должно следовать из закона Хаббла.
2. Закон Хаббла в физике Ньютона
Следует отметить, что закон Хаббла, полученный в формализме общей теории относительности, может быть выведен и средствами физики Ньютона. В интернете и в литературе нередко приводится условная иллюстрация расширения пространства на примере резинового шара с наклеенными на него монетками-галактиками. Раздувание шара приводит к тому, что расстояние между монетами возрастает, причём каждая из них может считать себя центром, от которого удаляются все остальные.
Используем эту аллегорию для получения закона Хаббла без использования уравнений общей теории относительности. Действительно, резиновый шар – вполне реальный физический объект, к которому применимы все положения физики Ньютона.
Вырежем из этого шара достаточно большого размера, диаметра узкую полосу, шнур с монетами-галактиками. Закрепим один конец полосы, то есть, формально перейдём в систему отсчёта галактики, находящейся на этом конце шнура. Галактику на противоположном конце начнём оттягивать, растягивая полосу. Запишем уравнение для постоянной или средней скорости этой движущейся галактики следующим образом:

Или инверсно:

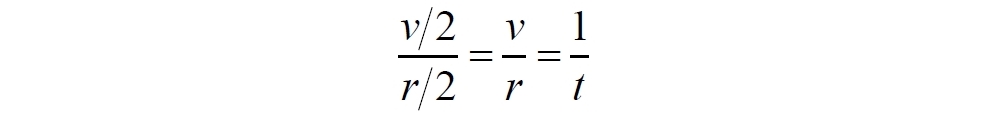
Замечаем, что эти уравнения описывают также и скорость движения каждой точки шнура, галактики. Если, например, галактика-монета находится ровно посредине шнура, то и её скорость также будет в 2 раза меньше, чем у галактики на его конце. Следовательно, уравнение будет иметь такой же вид:

Уравнение можно переписать в более общем виде, тогда они будут верны и для мгновенной скорости, изменяющейся во времени:

Теперь все переменные в уравнении являются функциями от времени. В таком виде уравнение означает, что в любой момент времени t скорость тела на расстоянии r от начальной, неподвижной точки равна v. Если обозначить величину справа через H, то получим уравнение для дистанций, тождественное уравнению ОТО (1):

Преобразуем полученное уравнение Ньютона в обычное дифференциальное уравнение, как это сделали для уравнения ОТО:

Это уравнение Ньютона имеет такое же простое решение, которое в точности совпадает со стандартным законом Хаббла для расстояний:

То есть, известный релятивистский закон Хаббла является одновременно и рядовым законом физики Ньютона для найденного закона увеличения расстояний между объектами, закреплёнными на растягиваемом резиновом шнуре:

С учётом этого можно дать этому закону другое, более общее название – закон Ньютона-Хаббла. В физике Ньютона этот закон можно назвать законом растяжения резинового жгута или пружины. Если край жгута вытягивается с некоторой, в частности, переменной скоростью, то величина скорости каждой точки жгута пропорционально её удалённости от неподвижной точки, точки крепления. В традиционном законе Хаббла роль жгута исполняет пространство-время.
3. Закон Хаббла в философии
Анализируя релятивистский и ньютоновский законы Хаббла, можно обнаружить более фундаментальное описание истории расширяющейся Вселенной в рамках философии диалектического материализма, формирующее непротиворечивый механизм расширения пространства.
Здесь мы обязаны вспомнить довольно спорное высказывание одного известного физика примерно такого вида: там, где начинается философия, физика заканчивается. Однако то, что во фразе названо физикой, по мнению одного из интернет-авторов является "мифофизикой". Другой великий астрофизик пошёл ещё дальше, заявив, что философия мертва. Однако отказ от философского надзора неизбежно ведёт к таким открытиям, как кротовые норы, нелокальность, переходы между измерениями, Большой Взрыв и машины времени, которые мы однозначно относим к мистическим, или, в лучшем случае, к загадочному промыслу Творца.
В этой физико-философской модели Основой, первоосновой всего Сущего, Бытия является одна единственная субстанция: вечная и бесконечная Материя. Хотя "материя" и переводится как "вещество" мы рассматриваем их как две разные субстанции, категории.
Материя несотворима и неуничтожима, безгранична и бесконечна, при этом она сплошная, неразрывная, не дискретная, поскольку иначе следовало бы допустить существование чего-то ещё, заполняющего промежутки между дискретами Материи. Из этого сразу же следует вывод, что ни пространство, ни время как таковые, как некие субстанции изначально не существуют.
Только Материя обладает фундаментальным качеством – существовать. Всё прочее является её свойствами, характеристиками, атрибутами. Существование Материи проявляется в её способности изменяться или, тождественно, двигаться, взаимодействовать.
На одном из этапов своего развития, изменения Материя перешла в одну из своих бесчисленных форм – вещественную, что и проявилось как наша Вселенная. Непрерывные изменения в этой её форме, вещественной, одной из её бесчисленных форм, мы воспринимаем как течение времени. С другой стороны изменчивость материи проявляется в её локальных неоднородностях, что, в свою очередь, воспринимается нами как пространство.
Материя в процессе, схожем, например, с конденсацией пара в камере Вильсона, сконденсировалась, веществолизировалась, образовав вещество Вселенной. Произошло это в некоторый момент времени, 14 млрд. лет назад по нашим часам, когда Материя в наблюдаемой области пространства как бы сконденсировалась, перешла в одну из своих бесчисленных форм – вещественную, веществолизировалась. Как произошел именно этот, вещественный переход, неизвестно, но сейчас это для нас и не особо важно.
Процесс преобразования материи в вещество прошел не одномоментно, а на протяжении некоторого времени, обозначаемого ныне как время инфляции. В этот очень короткий, как считается, период образовалась основная масса вещества Вселенной в виде частиц и излучения. Возникшее вещество сформировало протяженное пространство. Пространство вещественное, пространство нашей реальности возможно только благодаря наличию вещественных объектов. Далее процесс конденсации замедлился и в свободных от вещества областях Материя продолжает создавать теперь уже только "атомы пространства", элементы физического вакуума.
Вероятно, что конденсация, веществолизация Материи могла начаться в какой-то определенной точке, что можно рассматривать как некое подобие известного космологического Большого Взрыва, когда по всему объёму Вселенной пробежала своеобразная волна, как при обычном взрыве. Этот процесс мог начаться так же и в нескольких, вплоть до бесконечного количества, точках её материального пространства. В этих процессах мог возникнуть соответствующий сферический (многомерный) фронт или множество пересекающихся фронтов веществолизации.
В конце этого процесса, очевидно, образовалась та самая ранняя сильно разогретая Вселенная, основная масса вещества Вселенной в виде частиц и излучения. В дальнейшем все процессы можно рассматривать в рамках существующих представлений: образование микроволнового фона, формирование молодых галактик и всего остального.
Возникшая таким образом Вселенная в этом случае может либо иметь убегающую границу, либо быть ничем не ограниченной и простираться до бесконечности, как бесконечна сама Материя.
Проблема её изотропии не возникает: состояние материи перед её веществолизацией полностью однородно, изотропно, поэтому нет никаких оснований производной от неё вещественной форме иметь разные свойства на бесконечных удалениях друг от друга. Это же объясняет и плоскостность Вселенной: бесконечно протяженное пространство, как принято считать, по определению – плоское, радиус кривизны равен бесконечности. Главное, что рассматриваемая гипотеза о веществолизации изгоняет из теории мистику сотворения.
Заметим, что в таком контексте конечность этой образовавшейся области (в метрах и граммах) и наличие у неё границы при её образовании по модели Большого Взрыва из некоторого центра являются логически непротиворечивыми. Так же логически непротиворечивым является и обратное – отсутствие у неё какой-либо границы и её протяжённость до бесконечности, как бесконечна сама Материя. Наличие границы и конечность следует понимать буквально: в духе лучника, выпустившего стрелу. Правда, стрела достигнет не стены, а абсолютной вещественной пустоты, за которой "чистая" материя. Но достичь этой границы не сможет никакая стрела, поскольку скорость удаления этой границы превышает даже скорость движения тахионов, бесконечно большую. Безграничность, в свою очередь, мы не рассматриваем как искривлённость, замкнутость "пространства" – это своеобразное подобие гегелевской дурной бесконечности.
Однако на этом процесс преобразования материи не завершился. Возникшее вещество, обладая свойством количественности (буквально, в штуках), формирует протяженное пространство. Пространство вещественное, пространство нашей реальности возможно только благодаря наличию вещественных объектов. Нет и быть не может чистого, пустого, пространства без вещества в том или ином виде, например, в виде атомов, плазмы, полей.
Следовательно, рождение пространства напрямую связано с процессом образования вещества из Материи. Соответственно, чем больше вещества, тем более протяжённо пространство.
Почему в этой модели Бытия мы наблюдаем расширение пространства Вселенной? Очевидно увеличение пространства, его последующее после возникновения расширение следует рассматривать как результат появления дополнительного вещества, видимо, в форме физического вакуума. Иначе говоря, процесс веществолизации материи завершился только в основной форме, поэтому новое "пространственное" вещество – физический вакуум – качественно отличается от привычных для нас атомов, излучения, плазмы, полей и тому подобного.
Эта особая субстанция – физический вакуум рассматривается как специфическая форма изгнанного из физики эфира. Его можно рассматривать как своеобразные "атомы пространства" [5; 1], элементы вещественного физического вакуума. В настоящее время процесс веществолизации Материи заключается исключительно в возникновении этих дополнительных атомов, физического вакуума.
Гипотеза Хойла
Следует отметить, что представленная гипотеза о веществолизации материи в значительной степени похожа на теорию стационарной Вселенной группы астрофизиков под руководством Фреда Хойла:
"Главная идея этой теории заключается в следующем: по мере того как галактики удаляются друг от друга при хаббловском расширении, в увеличивающемся пространстве между ними образуется новая материя" [6].
На самом деле сходство всё-таки весьма ограниченное. Теория стационарной Вселенной Хойла постулировала несколько иной и явно ошибочный процесс. Образовавшаяся новая материя, а правильнее сказать, вещество по этой теории:
"… со временем самоорганизуется в галактики, которые, в свою очередь, будут удаляться друг от друга, высвобождая пространство для образования новой материи. Таким образом, наблюдаемое расширение было согласовано с понятием "стационарной" Вселенной, сохраняющей свою общую плотность и не имеющей единственной точки образования (наличие которой предполагает теория Большого взрыва)" [6].
Это положение довольно скоро было отвергнуто: в точных лабораторных опытах не удалось воспроизвести образование вещества, а микроволновой фон не нашёл в ней приемлемого объяснения. В этой связи можно предположить, что знаменитая формула Эйнштейна E = mc2 на макроуровне однонаправленна: вещество легко переходит в энергию, но возникновение вещества из чистой энергии, из физического вакуума не наблюдается.
Кроме того, из наблюдений выяснилось, что все наиболее удалённые галактики представляют собой молодые, ещё не сформировавшиеся системы, что противоречило теории стационарности, но хорошо согласовывалось с теорией Большого взрыва.
Гипотеза о веществолизации материи от этих недостатков теории стационарной Вселенной Хойла свободна. При веществолизации материи и последующем расширении Вселенной образуются новые "атомы пространства", и прямо ничего не утверждается о возможности их перехода в вещество с последующей самоорганизацией в галактики. Более того, эта гипотеза прямо объясняет механизм расширения Вселенной, чего нет ни в теории Большого взрыва, ни в общей теории относительности, ни в решениях её уравнений, включая тёмную энергию. Там, как известно, лишь объявляется процесс изменения масштабного фактора, который сам по себе не является физическим объектом и никак не объясняет, не описывает процесса своего собственно изменения, сущности процесса удаления галактик друг от друга. Вместе с тем, следует отметить, что гипотеза о веществолизации не имеет чётко сформулированного математического аппарата, поэтому она является гипотезой скорее философской, нежели физической.
Гипотеза об инфляции
С другой стороны, механизм веществолизации материи имеет некоторое сходство и с гипотезой об инфляции вещества Вселенной из первичной сингулярности, которая предполагает, что по истечении срока инфляционного расширения Вселенной (примерно через 10-35 секунд после Большого взрыва) во Вселенной:
"Произошел фазовый переход вещества из одного состояния в другое в масштабах Вселенной – явление, подобное превращению воды в лед. И как при замерзании воды ее беспорядочно движущиеся молекулы вдруг "схватываются" и образуют строгую кристаллическую структуру, так под влиянием выделившихся сильных взаимодействий произошла мгновенная перестройка, своеобразная "кристаллизация" вещества во Вселенной" [2].
Как видим, процесс фазового перехода в процессе инфляции практически полностью совпадает с описанием процесса веществолизации материи. Принципиальное различие заключается в том, что инфляция связана с механическим расширением плотно сжатого вещества до разреженного состояния, а веществолизация рассматривается как некое подобие "кристаллизации" по всему исходному объему, но не вещества, а материи. При веществолизации материи образуется вещество изначально в разреженном, "постинфляционном" состоянии. Поэтому все сопутствующие окончанию инфляции признаки присущи и окончанию процесса веществолизации: наличие микроволнового фона и процессы образования галактик.
Если есть такое совпадение, то чем веществолизация лучше инфляции? Её основное преимущество в том, что при веществолизации материи отсутствует как таковое Сотворение Мира. При ней ни Большой взрыв, ни сингулярность не возникают из Ничего. Из ничего может возникнуть только ничто. Веществолизация – это чисто физический процесс с реально существующими физическими субстанциями. Допускается, что Вселенная при веществолизации имеет бесконечные размеры или размеры, увеличивающиеся с невообразимо большой скоростью (скорость фронта волны веществолизации). Это увеличение не связано с текущим, современным расширением пространства во Вселенной, это предшествующий ему процесс. Следовательно, любая доступная в будущем информация об удалённых галактиках (в виде света от них) старше 13,7 миллиарда лет будет информацией о состоянии Вселенной на момент её возникновения: не существует излучения от галактик, испущенного раньше этого срока – 13,7 миллиарда лет назад.





